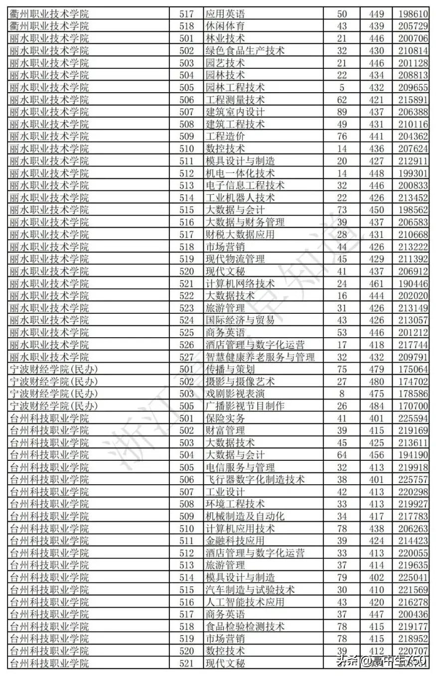
2019各院校在浙江省一段线投档线 (2021浙江高考一段平行志愿投档线)

2021浙江省内高校一段投档分数线完整版

(点击图片可放大)

2019各院校在浙江省一段线投档线,2021年浙江一段投档线

2019各院校在浙江省一段线投档线,2021年浙江一段投档线

2019各院校在浙江省一段线投档线,2021年浙江一段投档线

2019各院校在浙江省一段线投档线,2021年浙江一段投档线

2019各院校在浙江省一段线投档线,2021年浙江一段投档线

2019各院校在浙江省一段线投档线,2021年浙江一段投档线

2019各院校在浙江省一段线投档线,2021年浙江一段投档线

2019各院校在浙江省一段线投档线,2021年浙江一段投档线

2019各院校在浙江省一段线投档线,2021年浙江一段投档线

2019各院校在浙江省一段线投档线,2021年浙江一段投档线

2019各院校在浙江省一段线投档线,2021年浙江一段投档线

2019各院校在浙江省一段线投档线,2021年浙江一段投档线

2019各院校在浙江省一段线投档线,2021年浙江一段投档线

2019各院校在浙江省一段线投档线,2021年浙江一段投档线

2019各院校在浙江省一段线投档线,2021年浙江一段投档线

2019各院校在浙江省一段线投档线,2021年浙江一段投档线

2019各院校在浙江省一段线投档线,2021年浙江一段投档线

2019各院校在浙江省一段线投档线,2021年浙江一段投档线

2019各院校在浙江省一段线投档线,2021年浙江一段投档线

2019各院校在浙江省一段线投档线,2021年浙江一段投档线

2019各院校在浙江省一段线投档线,2021年浙江一段投档线

2019各院校在浙江省一段线投档线,2021年浙江一段投档线

2019各院校在浙江省一段线投档线,2021年浙江一段投档线

2019各院校在浙江省一段线投档线,2021年浙江一段投档线

2019各院校在浙江省一段线投档线,2021年浙江一段投档线

2019各院校在浙江省一段线投档线,2021年浙江一段投档线

2019各院校在浙江省一段线投档线,2021年浙江一段投档线

2019各院校在浙江省一段线投档线,2021年浙江一段投档线

2019各院校在浙江省一段线投档线,2021年浙江一段投档线

2019各院校在浙江省一段线投档线,2021年浙江一段投档线

2019各院校在浙江省一段线投档线,2021年浙江一段投档线

2019各院校在浙江省一段线投档线,2021年浙江一段投档线

2019各院校在浙江省一段线投档线,2021年浙江一段投档线

2019各院校在浙江省一段线投档线,2021年浙江一段投档线

2019各院校在浙江省一段线投档线,2021年浙江一段投档线

2019各院校在浙江省一段线投档线,2021年浙江一段投档线

2019各院校在浙江省一段线投档线,2021年浙江一段投档线

2019各院校在浙江省一段线投档线,2021年浙江一段投档线

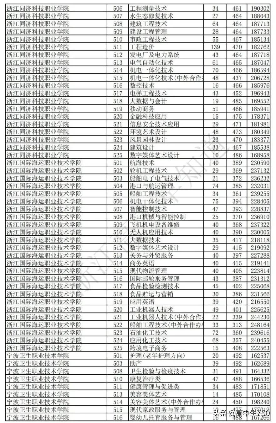
2021浙江省内高校二段投档分数线完整版

(点击图片可放大)

2019各院校在浙江省一段线投档线,2021年浙江一段投档线

2019各院校在浙江省一段线投档线,2021年浙江一段投档线

2019各院校在浙江省一段线投档线,2021年浙江一段投档线

2019各院校在浙江省一段线投档线,2021年浙江一段投档线

2019各院校在浙江省一段线投档线,2021年浙江一段投档线

2019各院校在浙江省一段线投档线,2021年浙江一段投档线

2019各院校在浙江省一段线投档线,2021年浙江一段投档线

2019各院校在浙江省一段线投档线,2021年浙江一段投档线

2019各院校在浙江省一段线投档线,2021年浙江一段投档线

2019各院校在浙江省一段线投档线,2021年浙江一段投档线

2019各院校在浙江省一段线投档线,2021年浙江一段投档线

2019各院校在浙江省一段线投档线,2021年浙江一段投档线

2019各院校在浙江省一段线投档线,2021年浙江一段投档线

2019各院校在浙江省一段线投档线,2021年浙江一段投档线

2019各院校在浙江省一段线投档线,2021年浙江一段投档线

2019各院校在浙江省一段线投档线,2021年浙江一段投档线

2019各院校在浙江省一段线投档线,2021年浙江一段投档线

2019各院校在浙江省一段线投档线,2021年浙江一段投档线

2019各院校在浙江省一段线投档线,2021年浙江一段投档线

2019各院校在浙江省一段线投档线,2021年浙江一段投档线