参加高考的同学和家长们注意了~
上海市教育考试院发布2023年上海市普通高等学校秋季招生本科各批次录取控制分数线! 本科录取控制分数线405分,特殊类型招生控制分数线:504分。艺术类、体育类本科文化控制分数线也同步公布。(鲁申君注:上海2023年高考本科成绩满分为660分)
本科录取控制分数线:405分, 本科上线40830人;
特殊类型招生控制分数线:504分,上线 14254人 。
上海高考成绩分布表显示总人数: 51560人。
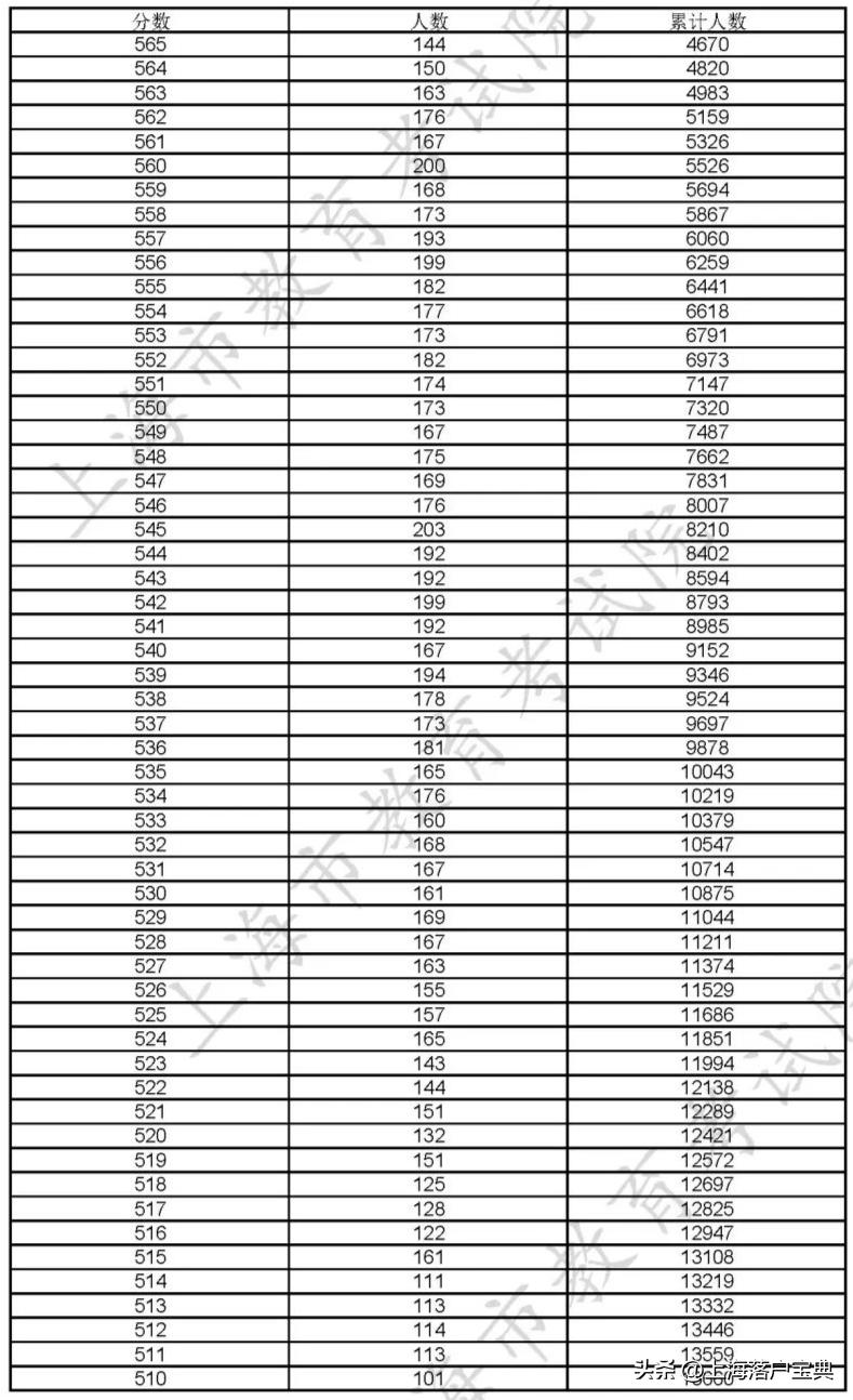
上海考大学难度怎么样?看2023上海高考“成绩分布表”和“本科分数线”就知道了,详情请看下文。

综合评价批次入围考生成绩分布表
下列考生成绩分布表仅供已获得综合评价批次各招生院校入围资格且高考成绩达到“特殊类型招生控制分数线”的考生参考。
综合评价批次各招生院校名单:复旦大学、上海交通大学、同济大学、华东师范大学、华东理工大学、东华大学、上海财经大学、上海外国语大学、上海大学、上海交通大学医学院、复旦大学医学院、上海中医药大学、浙江大学
综合评价批次志愿可填报4个平行的院校专业组志愿,并按1:1.5的投档比例由高分到低分向招生院校投档。建议考生关注各校招生计划并综合考虑自身情况合理填报志愿。
综合评价批次入围考生成绩分布表



部分高校参加上海综合评价批次录取。恭喜以上同学,你们有机会被复旦大学、上海交通大学、同济大学、华东师范大学、华东理工大学、东华大学、上海财经大学、上海外国语大学、上海大学、复旦大学医学院、上海交通大学医学院、上海中医药大学、浙江大学等高校录取。如果按单科满分100分算,504/660=0.7636,单科平均成绩达到76.36,有机会读以上高校的本科。
//
上海市教育考试院提示,为便于考生考后填报志愿,现公布如下成绩分布信息,供参考↓





40830位考生满足上海的本科分数线要求,如果按单科满分100分算,405/660=0.613636,单科平均成绩达到61.36分,可以读本科。



注:2023年选考(思想政治、历史、地理、物理、化学、生命科学)科目考生高考成绩分布表,考生可登录“ 2023年高考志愿辅助填报系统 ”查询。
2023年艺术类、体育类考生成绩分布情况请登录“ 上海招考热线 ”网站查询。 资料:市教育考试院、上海发布、上海教育编辑:鲁申君(上海高新技术企业工程师、经济师,理工科硕士学位,积分、落户过来人,上海政策咨询师,擅长解答上海落户、积分、上学、买房等问题;善总结,乐分享,为企业和个人提供靠谱的信息咨询服务)