19世纪末洛伦兹的工作奠定了狭义相对论的基础,其后庞加莱与洛伦兹的互动和相互启发,直接催生了狭义相对论的诞生。1902年庞加莱明确指出,洛伦兹的理论意味了同时性的相对性;1904年洛伦兹发现了我们今天以他名字命名的时空变换;1905年庞加莱一锤定音地确立了狭义相对论的赝欧几何结构。事实上,早在1881年庞加莱就发现了2+1维赝欧几何的数学结构;1891年他又意识到,这是独立于欧几里得、罗巴切夫斯基和黎曼几何的第四种几何学。因为闵可夫斯基在狭义相对论上的最早工作是在1907年11月哥廷根数学学会上的报告,所以四维时空所构成的空间,在任何意义上都应该被称为庞加莱空间,而不是闵可夫斯基空间。
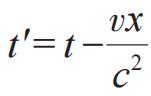
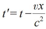
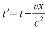
在前三篇《庞加莱的狭义相对论》文章中,我们比较详细地介绍了庞加莱在1905年之前对于空间与几何、绝对运动与相对运动、时间的定义与测量、以太是否真的存在、物理学理论与原理的兼容性等关键问题的思考。通过这些思考,(1)他最先提出了物理定律的相对性原理,主张不存在所谓绝对空间和绝对运动,而只存在物体间的相对运动。(2)他最先提出光速不变公设,认为这是谈论两段时间相等以及异地同时性的基础。(3)他最先提出以太是否真实存在,那只是形而上学家的事情,终有一天会被认为是没用的东西而遭抛弃。(4)他最先通过光信号对异地时钟进行同步的方法,得到了一级近似下的动系和静系时间变换公式: t '= t - vx / c 2。(5)他最先意识到,一束电磁辐射等价于惯性为 m = E / c 2的一种假想流体(fictitious fluid)。
正是因为对于惯性系间相互运动和动体电动力学有如此系统而清晰的物理图像,所以在受到洛伦兹1904年最新研究成果的启发后,他才能在1905年水到渠成地建立起完整的狭义相对论,向人们清楚揭示:我们所处的时空世界具有赝欧几何的数学结构,并满足洛伦兹群的对称性。公平地说,假如没有爱因斯坦的出现,狭义相对论也已经完全建立,并没有什么需要补充的了;至于物理学家什么时候才能弄明白庞加莱1905年的文章并接受它,那完全是另一回事了。这就是为什么英国皇家科学院院士、剑桥大学三一学院的著名数学家Edmund Whittaker教授,在他1953年名著 A History of the Theories of Aether and Electricity (The Modern Theories 1900—1926)中,极具争议地将狭义相对论这一章的标题就直接称为“庞加莱和洛伦兹的相对论”(The Relativity Theory of Poincare and Lorentz)。
现在,我们想进一步考察1905年前后,庞加莱与洛伦兹、爱因斯坦和闵可夫斯基的互动和相互影响,试图梳理一下狭义相对论产生的时代背景,以便尽可能地还原历史的本来面目。因为这部分内容比原先想象的要丰富许多,如果全部放在一起讲述会使文章的篇幅过长,所以笔者不得不临时改变计划,将它一分为二;本文先谈庞加莱与洛伦兹和闵可夫斯基,下一篇再谈庞加莱与爱因斯坦。
1 洛伦兹在19世纪末的奠基性工作
麦克斯韦发表于1856年的《论法拉第的力线》、1861年的《论物理力线》和1865年的《电磁场的动力学理论》这三篇划时代的光辉著作,奠定了电磁学和光学的现代理论,但也留下不少尚待解决的问题,其中最醒目的当然是如何理解运动物体的电磁现象和光学现象,即动体的电动力学问题。它成为十九世纪末物理学研究的主流。毫无疑问,洛伦兹是整场轰轰烈烈的智力探索中那颗最耀眼的明星。
正是生长在英国、德国和法国三大文化包围中的小国荷兰,洛伦兹天生练就了博览众长的过人本领。他的电子论正是这样一个扬弃各种前人理论的成功范例。由麦克斯韦建立,并由Heaviside和赫兹完善的麦克斯韦—赫兹方程组,将电荷和电流看作是场的衍生物,因此它是一元论的,完全不同于我们今天的电磁学和电动力学教科书上的图像。但是,法国和德国的传统恰好相反,他们发展的是基于电荷和电流的超距相互作用理论,其中场是衍生的,因此也是一元论的。而洛伦兹的电子论是一个二元论的图像,其中,他将正负点电荷和除此之外的真空(或以太)中的电磁场看作同等重要的两种实体;电流就是电荷的流动,而场的变换也可产生位移电流,由此建立了麦克斯韦—洛伦兹方程组,或称微观麦克斯韦方程组,它才是我们今天电磁学和电动力学教科书上的图像[1]。
将他的微观方程组应用在物体上,并作宏观平均后,洛伦兹得到了色散的第一个电磁理论。1892年,对以整体速度 v 在以太中运动的物体,他开展了类似的计算;他发现将入射波与运动点电荷发射的波叠加,可以成功解释菲涅尔的the partial ether drag系数

,其中 n 是物体的折射率。
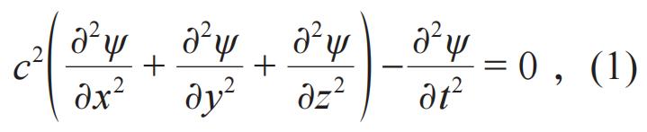
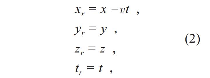
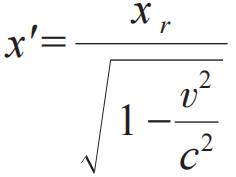
多年后被称作洛伦兹变换式的最初想法就诞生于这一年。他考虑到一个在以太参照系( x , y , z , t )中光的波动方程:

经伽利略变换

之后,在运动参照系( xr , yr , zr , tr )中的形式会变得非常复杂,为了求解方便,他引入了新的坐标变量:

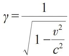
其中,

。这样一来,在( x ', y ', z ', t ')参照系下,波动方程变为

求解这个方程,马上就能得到 ψ ( x ', y ', z ', t '),然后再由(3)最终求得 ψ ( xr , yr , zr , t )。因此,在洛伦兹的观念里,引进 x ', y ', z ', t ',纯粹是一个数学技巧,并没有物理含义,而真正有物理意义的是以太的静系( x , y , z , t ),和经伽利略变换后的动系( xr , yr , zr , tr )。另外,从他最后的结果(4)式来看,洛伦兹也确实完全没有相对性原理的概念,否则其中的光速不可能会是

,而应该与(1)式一样都为 c ,这显然是因为(3)式中的时间变换做错了。顺便提一下,如果我们将(2)式的 xr = x - vt 代入(3)式的第1式,立刻可知,洛伦兹在1892年就已将空间的变换做对了。
几个月后,洛伦兹在《论运动物体对光的反射》一文中意识到,在一级近似下,略去( v / c )2项的(3)式将变成:

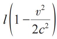
另外,洛伦兹又在1892年的《地球与以太的相对运动》一文中,为了解释1887年的迈克尔逊—莫雷实验,提出了著名的洛伦兹收缩的假设(当时他不知道FitzGerald已经提出过),即在以太系看来,相比静止的杆子长度 l ,沿地球运动方向放置的杆子,其长度会收缩至

。
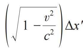
1895年,洛伦兹系统地整理了他之前的一系列工作,写成了综述性长文《动体电学和光学理论的尝试》,这篇文章随即成为狭义相对论诞生之前的经典之作。在这篇文章中,洛伦兹明确提出,解释一级近似下动体的光学现象(略去( v / c )2项),只要有上面的(5)式就够了。在这里,他首次将 t '称作“局域时间”,因为它依赖于空间位置 xr ,而且它与真实时间 tr 完全不同;它们通过(5)式的最后一个公式相互联系起来。然而,对于解释迈克尔逊—莫雷实验,因为要考虑至( v / c )2项,所以他认为还必须引进沿运动方向的长度收缩假定。此时,相比1892年的收缩假定

,他意识到,长度收缩的严格比例已经包含在

中了,也就是Δ xr =

。很显然,若保留至( v / c )2项,它就是之前的结果。
2 庞加莱与洛伦兹在1900—1904年间的互动
庞加莱于1885年开始担任巴黎大学“物理与实验力学”教授,1886年转任“数学物理与概率论”教授。他于1888年春天开设了一门有关麦克斯韦电磁理论的课程,之后又于1889年、1892年、1899年分别开设了电动力学课程,系统地介绍了亥姆霍兹、赫兹、拉莫和洛伦兹的工作,并以他独特的敏锐眼光得出结论:洛伦兹的理论最有希望,因为它包含了最多的真关系(rapports vrais,笔者注:指不依赖于模型和解释的结果,见参考文献[2]第140页)。然而,在庞加莱的眼中,洛伦兹的理论远非完美,甚至还存在着比较严重的问题。
1900年,庞加莱分别在巴黎召开的国际物理大会和在莱顿的庆祝洛伦兹获得博士学位25周年学术会议上,对洛伦兹的理论提出了批评(后一篇文章的题目为《洛伦兹理论和反作用原理》,详见《文三》);这两篇文章分别刊登在这两个会议的论文集中,前者也收入在庞加莱1902年的名著《科学与假设》第九和第十章中。
(1)庞加莱对于洛伦兹理论的第一个尖锐批评,是他认为洛伦兹通过假设的堆积(accumulation of hypotheses)来解释为什么实验上观察不到地球相对于以太的运动,因此,相对性原理在洛伦兹理论中只是近似而不是严格满足的。但庞加莱是相对性原理的笃信者,他这样说:
“以太是否真的存在没有什么关系,那是形而上学家的事情。对我们而言重要的是,一切事情发生就像它存在那样,这个假定(hypothesis)只是为了解释现象的方便。说到底,我们有其他理由相信实物(material objects)的存在吗?那也只是一个方便的假定,不过这个假定会永远存在,但毫无疑问,总有一天以太会被认为是无用的东西而遭抛弃。”……
“我们的以太真的存在吗?我们知道相信以太的原因。如果光从很远的星球发向我们,其中的几年时间它既不在那个星球上,也还没有到达地球,它一定要在中间的某个地方,由某种物质支撑着。
同样的想法也可以用比较数学和比较抽象的方式来表达。……在普通的力学中,一个系统的状态仅仅依赖于最邻近的前个时刻的状态,因此系统满足微分方程。如果相反,假如我们不相信以太,那么这个物质世界的状态将不仅依赖于最近邻的前个时刻的状态,而且还会依赖于时间早得多的那些状态;这样系统将会满足差分方程。正是为了规避这种对力学一般定律的背离,我们发明了以太。
假如我们发现光学和电学现象受到地球运动的影响,我们将会得出结论,即这些现象向我们揭示了不仅仅是物体间的相对运动,而且似乎还有它们的绝对运动。若此,以太就是必须的,这些所谓绝对运动不是相对于虚空(void space)的位移,而是相对于某种实在东西的位移。
我们将会得到这个结果吗(笔者注:指绝对运动)?我不存希望。……我相信这样的希望是一种幻觉(illusory); 我必须解释一下,事实上,虽然洛伦兹相信,但我为什么不相信更精确的实验能够得到除物体间相对位移之外的任何其他结果。展现一级效应(笔者注:指保留到 v / c )的实验已做,结果全是否定的;这会不会是碰巧?没人这么认为,因此大家寻找一般的解释,洛伦兹找到了;他已经展示为什么在一级效应中各项必须相互抵消,但二级效应不会相互抵消(笔者注:指保留到( v / c )2项);然后,更精确的实验做了(笔者注:指迈克尔逊实验),它们仍然是否定的;这也不会是碰巧,必须有一个解释,解释找到了(笔者注:指洛伦兹提出的长度收缩); 解释总能找到,假设是永远不缺的(of hypotheses there is never lack) 。
但这还不够:谁会不觉得这仍然给巧合留了太大的角色?会不会那仍然是一种碰巧,某种奇异巧合使得某种情况恰好在关键时候消掉了一级项,而另一种情况,出于完全不同的原因,恰好又消掉了二级项? 不,我们必须找到一种解释,它既能解释一级效应也能解释二级效应,并且所有的一切都导致我们思考,这个解释对更高级的效应同样有效,并且这些项的相互抵消是严格和绝对的。”[2]
(2)庞加莱对于洛伦兹理论的第二个尖锐批评,是他认为在洛伦兹理论中,作用与反作用力原理(笔者注:即动量守恒原理)不再成立,至少把该原理仅用在物体(material objects)上是如此。事实上,洛伦兹自己在1895年也已经注意到这件事,但他显然不觉得这是什么大问题:“就我看来,没有什么强迫我们把这个原理提升到一个任何情况都有效的基本定律”;恰恰相反,庞加莱却觉得这是一个极其令人不安的严重问题。因为他发现,相对性原理和作用与反作用力原理存在密切的相互关联,要么同时成立,要么同时不成立,所以如果后者不成立,那就意味者前者也不成立,这对庞加莱当然是不可接受的。
除了上面两点批评之外,他们在对待动体电动力学看法还存在着一个明显的分歧。正如《文一》中洛伦兹自己所说,他认为在动系 S '中引入的局域时间、空间坐标及场量等只是一种数学技巧,不存在真正的物理意义,而只有在重新转换成静系 S 中的对应量才是真实的;恰恰相反,因为庞加莱不相信以太、不相信绝对运动、同时又笃信相对性原理,所以他很自然地将洛伦兹的局域时间、空间坐标和对应态,解释成 S '中观察者所看到的真实体系的表观状态(apparent states)。特别是,庞加莱还用光信号校准时钟的方法,直接导出了一级近似下洛伦兹用ad hoc方式得到的 S '中的“局域时间”与S中的“真实时间”的关系

。
在《文三》中,讲到此处,我们提了一句:“事实上,有了此式(

),同时性的相对性就已经有了,而不必非要严格的洛伦兹变换式不可”。或许,敏感的读者会对这个说法有所保留,这会不会是笔者事后诸葛亮式的过度解读?因为不知从何时起,同时性的相对性似乎已成了狭义相对论一个最重要的标志,所以一般人很难想象,在1905年之前庞加莱怎么可能会有这样的概念。或许还有人会引经据典加以反对。比如,杨振宁先生在《爱因斯坦:机遇与眼光》一文中这样说:
“事实上,相对性(relativity)这一名词的发明者并不是爱因斯坦,而是庞加莱。庞加莱在1905年的前一年的演讲(载于《新世纪的物理学》, Physics for A New Century ,AIP Publication on History,Vol.5,1986)中有这样一段:根据相对性原则,物理现象的规律应该是同样的,无论是对于固定不动的观察者,或是对于做匀速运动的观察者。这样我们不能,也不可能,辨别我们是否正处于这样一个运动状态。
这一段不仅介绍了相对性这个概念,而且显示出了异常的哲学洞察力。然而,庞加莱没有完全理解这段话在物理上的意义:同一演讲的后几段证明他没有抓住同时性的相对性(relativity of simultaneity)这个关键性、革命性的思想。
爱因斯坦也不是首位写下伟大的转换公式的人。……之前,洛伦兹(H. A. Lorentz,1853—1928)曾写出这个公式,所以当时这个公式以洛伦兹命名,现在仍然是这样。可是洛伦兹也没能抓住同时性的相对性这个革命性思想。……
这就是说,洛伦兹有数学,但没有物理学;庞加莱有哲学,但也没有物理学。正是二十六岁的爱因斯坦敢质疑人类关于时间的原始观念,坚持同时性是相对的,才能从而打开了通向微观世界的新物理之门。”
事实真像杨先生讲的这样吗?不是!早在爱因斯坦发表狭义相对论论文前三年的1902年1月28日,庞加莱联合了多名学者(包括普朗克和伦琴等)致信诺贝尔奖评选委员会,提名洛伦兹作为当年诺贝尔物理学奖的候选人;结果,洛伦兹1902年也确实获了这个奖。在详细罗列洛伦兹的突出学术贡献的这封信中,有如下这样一段话(原文见图1):
“比如,为什么所有企图测量地球运动的实验都失败了?很明显,这有一个普遍的原因。洛伦兹先生发现了这个原因,并巧妙地以他发明的“局域时间”这一异乎寻常的形式表达出来。 两个发生在不同地点的现象可以看起来是同时发生的,尽管它们实际上并不是同时发生的;一切都发生着,就好像其中一个地方的时钟比另一个地方的时钟延迟了,而且没有任何可想象的实验能够揭示出这种不调和。 根据洛伦兹先生的说法,现在地球运动的影响只会产生一个类似的任何实验都无法揭示的不调和。”(Why, for example, all the experiments attempted to detect the movement of the Earth, have they given negative results? It was obvious that there was a general reason for this; this reason, Mr. Lorentz discovered it and he put it under a form striking by its ingenious invention of “reduced time”. Two phenomena that take place in two different places may seem simultaneous even though they are not; everything happens as if the clock of one of the places were behind that of the other and as if no conceivable experiment could reveal this discordance. According to Mr. Lorentz, now the effect of the movement of the Earth would only give rise to a similar discordance that no experiment could reveal.) [3]

图1 庞加莱等人致诺贝尔奖评选委员会的信件
很显然,庞加莱在这里是尝试以普通人能明白的语言,来解释洛伦兹的一个重大创新,即局域时间

的不可思议的后果。具体而言,划线部分的上半句讲的是,对静系 S 中的“不同地点”(Δ x = x 2- x 1≠0),“实际上并不是同时发生”(Δ t = t 2- t 1≠0)的两个现象,在动系 S '中却“可以看起来是同时发生的”(Δ t ′= t 2′- t 1′=0)。这不就是有关同时性的相对性最简洁、最清晰的阐释吗?事实上,庞加莱不仅是史上提出异地同时性问题(issue)的第一人(1898年,见《文三》),而且毫无疑问也是史上意识到同时性的相对性的第一人(1902)!另外,划线部分的下半句讲的是,除了 S 与 S '坐标重合( x '= x =0)的最初时刻( t '= t =0)外,之后在 S 与 S '中的时钟指示都不一样,即“不调和”,也就是说,在动系 S '中的时钟总是比在静系 S 中的时钟早了

(对 x >0)。
需要特别指出的是,这里讲的 S '和 S 中时钟的不同步,与时间膨胀还不是一回事,后者只有通过严格的而不是一级近似下的洛伦兹变换式才能显现出来,这是之后庞加莱和爱因斯坦于1905年所独立得到的结果。
当然,细心的读者应该不难发现,上面所引庞加莱的整个这段话,事实上都是庞加莱自己对于洛伦兹“局域时间”的理解和解释,但却把功劳全部归在洛伦兹的头上,而洛伦兹一直认为在动系 S '中的时间根本没有真正的物理意义。
最后,我们想说,虽然同时性的相对性确实是一个重要的新思想,但它并不是爱因斯坦首先发现的,而是洛伦兹和庞加莱共同创造的结果;另外,同时性的相对性也只是伽利略变换中 t '= t 不再成立(一级近似下的洛伦兹变换即可)的一个必然结果,而非狭义相对论(严格的洛伦兹变换)最重要的一个标志。顺便提一下,杨先生所说的“同一演讲的后几段”,我们会在下一篇文章详细引用并加以说明。
对于庞加莱的两个批评,洛伦兹是认真对待的,但他对这两个批评的反应不太一样。1901年1月20日,洛伦兹给庞加莱写了一封信,首先感谢他能来参加自己的庆典,接着对庞加莱试图挽救作用与反作用原理的想法,做了8页信纸的反驳。其中,他这么说道:“但是,我们真的必须为此烦恼吗?”而且还直截了当地加上:“我必须向你声明,对我来说,不可能通过修改理论而消除你所提出的这个困难。”
然而,对于“堆积假设”的批评,洛伦兹的态度完全不同。经过长期的思考和不断尝试,他终于在1904年6月发表了一篇非常重要的文章:《任意小于光速运动的体系中之电磁现象》,在综述了各种测量地球相对于以太运动实验的失败后,他这样说:
“刚才谈论的这些实验并不是重新审视与地球运动相关问题的唯一理由。庞加莱对动体电学和光学现象的现有理论提出了批评。为了解释迈克尔逊实验,需要引入新的假设,那么是不是每来一个新的事实就需要引入新的假设呢?显然,为每一个新的实验结果而引入特殊假设的做法有点任意。如果不可能借助一些基本的假定,同时不作一级或二级等各级近似,就能证明许多电磁现象完全与系统的运动无关是更加令人满意的。几年之前(1899),我已经开始尝试构建这样的理论了。现在,我相信已经能够比较好地处理这个问题了,唯一的限制就是要求(体系运动的)速度小于光速。”
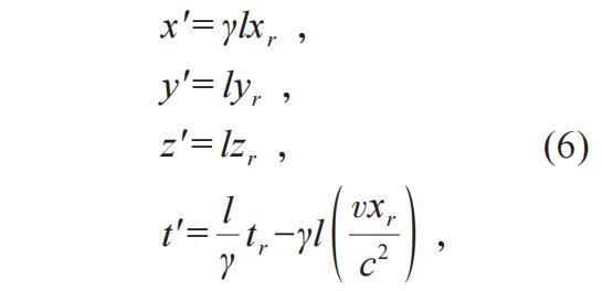
正是在这篇文章中,他第一次正确地给出了至今以他名字命名的洛伦兹变换式:

其中, l 是一个依赖于 v 的常数。
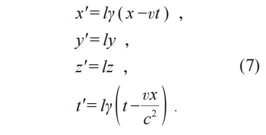
乍一看,这似乎与我们今天熟悉的洛伦兹变换很不一样。原因在于洛伦兹一直用三套坐标系来讨论动体的电动力学,即以太静系( x , y , z , t ),伽利略变换后的动系( xr , yr , zr , tr ),以及为求解方便所引进的( x ', y ', z ', t '),前两者以(2)式相关联,后两者以(6)式相关联。与洛伦兹相比,庞加莱看待动体电动力学的方式很不一样,在他的头脑中,只有静系( x, y, z, t )和动系( x ', y ', z ', t '),因此,我们今天所熟悉的洛伦兹变换形式的第一次出现,是在庞加莱的1905年《六月文章》中(将(2)式代入(6)后即得):

另外,洛伦兹在1904年这篇文章中的另一个重要结果是,他得到了电子的横向和纵向质量随速度的正确依赖关系:

1904年9月,庞加莱在美国圣路易斯的国际艺术和科学大会的应用数学分会发表了“数学物理的现在与未来”的著名演讲。他简要回顾了牛顿的向心力概念无法解释电磁现象的第一次数学物理危机后,详细谈论了数学物理正面临的第二次危机。其中对洛伦兹前面给出的对牛顿反作用原理的反驳给出了回应,他这样说:
“这个原理,如果这样解释的话,便能解释一切,因为对任何可见的运动,我们总能想象存在着假想的运动加以补偿。但是,如果它能解释一切,便意味着不能让我们给出任何预言;它也就无法让我们在各种假设中做出选择,因为它事先已经解释了一切。这个原理也因此变得完全无用了。……所以,有关以太运动所做的假定是不能令人满意的。……这就是为什么我长期以来一直想着,这个理论中与牛顿原理冲突的结果有一天终将被抛弃。”[4]
从今天的角度看,庞加莱当然是对的。事实上只有像他推导的那样,将物质和电磁场的动量都考虑进去,总动量才是一个守恒量;而用量子的观点看,也就是说,只有将物质和光子一同考虑,总动量才是守恒的。在文章的最后,庞加莱对物理学的未来给出了先知式的预言:
“也许我们将不得不构造一个全新的力学,目前我们只瞥见了一点,在那里,惯性随速度的增加而增加,光速将是一个无法超越的极限。普通的、简单的力学将会作为一级近似而得到保存,因为它对于速度不是太大的速度仍是有效的,以至于我们仍将在新的力学中找到那个老力学。”
3 庞加莱的一锤定音
现在我们将介绍庞加莱如何从洛伦兹的最新结果,一锤定音地建立了完整的狭义相对论的思考过程。非常幸运的是,洛伦兹保存了1905年4—5月庞加莱给他的信件,这使得我们能清晰地再现庞加莱这位大数学家、大数学物理学家,在狭义相对论突破的前夜,如何在黑暗中一步步摸索的过程。由于法国人写信一般不习惯明确给出日期,因此后人只能根据当时两人之间发生的一些历史事件,来重构写信的确切时间窗口。
1905年4月21—27期间的某一日,庞加莱给洛伦兹去信,抱歉他因为临时有急事而错过了在法国巴黎物理学会为洛伦兹举办的招待会,并告知收到了洛伦兹近来给他的研究论文,其中应该包含前面提到的那篇1904年的重要论文。1905年5月的某天,庞加莱又给洛伦兹写了一封信,他这么说:
“我已经花了一些时间详细研究你的论文《任意小于光速运动的体系中之电磁现象》,一篇极其重要的论文;其中一些重要结果我已经在我的圣路易斯演讲中引用了。我同意你所有的要点,然而在细节上有点差别。”
接下来,庞加莱纠正了洛伦兹文章中的两个错误,如我们在《文二》中所述,一个是有关电荷密度和电流密度的变换结果,另一个是洛伦兹力的变换式;庞加莱进一步指出,即使力并不是电磁起源的,这个变换式依然成立。最后,庞加莱告诉洛伦兹,他碰到一个*麻大**烦。正如我们在《文二》中所述,他发现从最小作用量原理出发的推导,唯一正确的模型(即满足相对性原理)竟然不是洛伦兹的模型( l =1),而是朗之万的模型( l 3=

),同时他认为洛伦兹证明 l =1的过程不能令人信服,因此这个问题还不确定。

图2 1905年5月,庞加莱致信洛伦兹
可惜我们没有洛伦兹对庞加莱这封信的回复,但我们有之后1905年5月的某一天,庞加莱给洛伦兹回的信,这是一封历史价值极高的信件,如图2所示。正是在这里,庞加莱发现了整个现代物理学基石之一的洛伦兹群:
“我亲爱的同事,谢谢你的来信,自从上次给您写信之后,我的想法有些变化。”
然后,如他在1905年《七月文章》第四节中所做的那样,三下五除二地证明了洛伦兹变换构成了一个群,并用今天来说极其简单的群论基本知识,干净彻底地证明了洛伦兹模型 l =1。另外,他告诉洛伦兹,在用朗之万模型进行电子质量计算时,他发现借助电磁运动量、最小作用量、能量方法得到了不一致的结果。最后他说希望能尽快澄清这个矛盾,并将他的进展通告洛伦兹。
果然,在之后的1905年5月的某一天,他给洛伦兹写了下面一封信,标志着庞加莱一锤定音,完整建立狭义相对论的历史时刻!
“我亲爱的同事,我继续着我和你提过的研究。我的结果在下述意义上完全确认了你的结果,即完美的补偿(阻碍绝对运动的实验测定)只有在l=1的假设下才可能完全做到。只是这个假设若被允许的话,我们必须承认每个电子都受到一个附加力的约束,其所做的功正比于电子体积的变化。或者说,每个电子就像一个空腔,其内压是一个与体积无关的负的常数。在这样的条件下,补偿是完整的。
我很高兴发现自己与你达成完全的一致,因此对你的漂亮的工作达到了完美的理解。
您忠诚的同事
庞加莱”
如果将庞加莱给洛伦兹的这几封信,与我们的《文一》和《文二》结合起来阅读,则庞加莱1905年的狭义相对论论文(《六月文章》和《七月文章》)的整个创立过程就全部清楚了。如果仅从洛伦兹和庞加莱的互动和相互启发的角度来看,Whittaker将狭义相对论称作“庞加莱—洛伦兹的狭义相对论”确实有一定的合理性;如果再考虑到爱因斯坦与庞加莱几乎同时也独立建立了狭义相对论这一事实,笔者以为,把狭义相对论称为庞加莱—爱因斯坦狭义相对论是最合适的。
4 洛伦兹对庞加莱的致敬
庞加莱不幸于1912年因病去世,年仅58岁。1914年,洛伦兹为 Acta Mathematic 杂志组织的庞加莱纪念专集撰写了《亨利·庞加莱在数学物理上的两篇论文》[5],向庞加莱致敬。他这样说:
“以下寥寥数页根本无法完整说明庞加莱对理论物理学的贡献。……我将仅限于谈及他的两篇论文,一篇关于电子动力学的论文,写于1905年并于次年发表于 Rendiconti del Circolo Matematico di Palermo ,另一篇关于量子理论的研究,1912年初发表于 Journal de Physique 。
为了充分欣赏他的第一项工作,我将不得不详细介绍那些导致相对性原理的想法。因此,我得谈一点我自己对这一发展有贡献的那部分,首先我必须说,我在庞加莱对我的研究持续注入的善意兴趣中发现了宝贵的鼓励。而且,我们很快就会看到他在多大程度上超过了我。……”
其中,他谈了我们前面讲过的1900—1904年间他们的互动,特别是庞加莱的批评。接着,他说:
“这些是我在1904年文章中的考虑,它促使庞加莱写出了他关于电子动力学的论文,他在论文中将我的名字与我将要谈到的变换式联系起来。关于这个问题,我必须说,同样的变换式在Voigt先生1887年发表的一篇文章中已经出现,而我并没从这个技巧中汲取所有可能的部分。确实,对于某些公式中的一些物理量,我并没有给出最适合的变换(笔者注:就是那些庞加莱指出的他变换错的物理量,如电荷密度等)。 这是由庞加莱然后由爱因斯坦先生和闵可夫斯基先生完成的。 (That was done by Poincaré and then by Mr. Einstein and Minkowski.)
然后,他谈到了我们在《文一》中引过的下面这段话:
“(庞加莱《七月文章》的)公式(4)和(7)在我的1904年文章中是没有的,我甚至不知道存在一种直接的路径导出它们,因为我认为( x , y , z , t )和( x ', y ', z ', t ')这两个参照系存在本质差别。这是我当时的思路:其中一个参照系的坐标轴是固定在以太中的,那里有真实的时间;而在另一个参照系中,恰恰相反,我们只涉及(deal with)一些为数学技巧而引进的辅助量。……因此,比如变量 t '不能被看作是与变量 t 相同意义上的时间。在这样的考虑下,我完全没有意愿按( x , y , z , t )参照系中描述现象的方式去描述( x ', y ', z ', t ')参照系中的现象。……我没能证明麦克斯韦方程组的完全协变性;我的公式中还存留了一些本应消失的累赘项,只是它们在数量上很小而不会影响现象,我就是据此来解释地球的运动不会影响实验的观察,但是我没有建立起作为严格而普适真理的相对性原理。 恰好相反,庞加莱证明了电动力学方程的完全协变性,并准确表达了“相对论假定”——一个由他引入的术语。 事实是,正是采用了我没能想到的观点,他导出了公式(4)和公式(7)。还应该补充一点,在纠正我工作中的那些缺陷时,他从未有过任何对我的责备。”
然后他继续说:
“我无法在这里解释庞加莱获得的所有漂亮结果。然而,让我们坚持谈一些观点。首先,他不满足于证明相对论变换(笔者注:就是我们所称的洛伦兹变换)将保持电磁方程形式不变。他是通过注意到这些方程能以最小作用原理的形式表达出来,而表达这个原理的基本方程以及我们推导电磁场方程的那些操作在( x , y , z , t )和( x ', y ', z ', t ')参照系中具有相同的形式,来解释这一变换成功的原因。……
其次,与他论文的标题一致,庞加莱特别考虑了运动电子形变的方式,根据相对论假设的要求,它需要与迈克尔逊先生实验装置上两臂的变形方式相容。……这个粒子——我们在此考虑一个带有表面电荷的圆球——会立刻因为相互排斥力或者说表面麦克斯韦应力而爆炸。因此,另一个概念也应该被引入,并且庞加莱在此区分了“结合”和“附加”力。……因此,我们必须求助于这个附加力。……
在他文章的最后一部分,有一些新概念我必须说一下。Poincaré注意到,例如,如果将( x , y , z , i t )视为四维空间中一个点的坐标,则相对论变换式(笔者注:仍指我们所称的洛伦兹变换)便简化为该空间中的旋转。 他也想到了在力的三个分量 X,Y,Z 上加上另一个量:

这不是别的正是单位时间该力所做的功,而且可以(在某种程度上)被看成是力的第4分量。 当我们关心物体单位体积所承受的力时,( X , Y , Z , i T )这组量的相对论变换式与( x , y , z , t )的方式完全相同。我之所以记得庞加莱的这些想法,是因为它们与后来Minkowski和其他科学家用于相对论数*运学**算的方法相类似。”
因为在通往狭义相对论之路上,洛伦兹是公认的先驱者而具有特殊的地位,所以他以自己的亲身经历,对庞加莱在狭义相对论上所作贡献的这番翔实、公正和盖棺定论式的总结,确实是一份难得的科学史文件。
5 闵可夫斯基空间是怎么一回事?
或许有读者会感到奇怪,为什么谈论庞加莱的狭义相对论,非要扯上闵可夫斯基呢?道理很简单,虽然庞加莱的名字在有关狭义相对论的各类教科书和文献中很不幸地消失了,但闵可夫斯基的名字却因为闵可夫斯基空间而与洛伦兹和爱因斯坦的名字一起长存下来。例如,著名的“朗道理论物理学教程”第2卷《场论》第4页就这样写:“ 由(2.4)式

给出的四维几何描述是由闵可夫斯基在相对论中引入的。有别于普通的欧几里得几何,这种几何被称为赝欧几何。 ”这实在是一个历史的大误会,很值得八卦一下。
1907年左右,闵可夫斯基在科学上的名声还主要来自他在数论方面的工作;在力学和数学物理上,他只有1906年发表了一篇有关毛细现象的论文。他1902年开始在哥廷根大学担任数学教授,或许是受到新同事的影响,他开始对电子理论发生了兴趣;1905年夏天,他与希尔伯特等人共同主持了这方面的一个学术讨论班。闵可夫斯基有关狭义相对论研究的第一次有据可查的亮相,是1907年11月5日在哥廷根数学学会上的演讲——“相对论原理”,他一直保留着这篇演讲的手稿,但似乎并没打算正式发表它;闵可夫斯基1909年1月因急性阑尾炎去世,年仅44岁;这篇文章最后经过索末菲的整理于1915年正式发表[6]。闵可夫斯基的演讲如此开头:
“从光的电磁理论出发,近来我们有关空间和时间的概念似乎正在经历一场彻底的变化,一个数学家必定特别有兴趣去了解它。他也特别倾向于吸收这些新观点,因为他对这些数学家早已非常熟悉的概念一点也不陌生,但物理学家目前正在部分地重新发明这些概念并在模糊不清的丛林中艰难地团结起来穿越一条小路,而数学家的这条路早已精心铺设,就在附近舒适地向前延展。总的来说,如果这套新方法果真能正确地解释实验现象,那将意味着迄今为止应用数学的几乎最大的胜利。重要的是,尽可能简洁地说——我马上会解释——时空世界在某种意义上是一个四维非欧几里得流形。这是数学家的荣耀,也让其他的人类无比惊讶,很显然,数学家纯粹是在他们的想象中开辟了一片广阔的领域,然而这些理想的伙伴从来没有这样的意图,最完美的真实存在(the most perfect real existence)有一天将会真的走上他们的路。”
以职业演说家的华丽修辞,如此煽情地对着自己的同行谈论科学问题,这在当年绝对是罕见的。接着他这样说:
“我今天要向你们报告的相对性原理,旨在解释这样一个事实,即所有企图确定地球相对于光介质、相对于以太运动的尝试都必然失败。……为了解释这个否定的结果,H. A. Lorentz(1892)和Fitz Gerald(1893)提出了这样一个假设,即由于地球的运动,物质沿地球运动方向上的长度会发生非常特别的收缩。从这一听上去极其奇怪的假设出发,相对*公论**设最终以一种数学家特别容易理解的形式发展起来。爱因斯坦、庞加莱和普朗克对这个普遍原理的详尽阐述功不可没,关于他们的工作,我下面会详细叙述。
现在终于要开始谈实事了,我把我的评注(remarks)分成四个部分,我想用关键词:1.电,2.物质,3.动力学,4.万有引力。”
熟悉庞加莱《七月文章》的读者不难发现,闵可夫斯基这篇分了四个部分的文章结构与前者非常相似,而且在文章的第四部分明确地引用了《七月文章》,可见他对庞加莱这项工作还是挺熟悉的。有趣的是,上面这段引文来自经过索末菲修改后正式发表的文章,闵可夫斯基自己的手稿是这样写的[7]:
“谈到个人的功绩,源于洛伦兹思想的基础,爱因斯坦更清楚地发展了相对性原理,同时将它特别成功地应用到处理运动介质光学中的一些特殊问题上,而且最终也是第一个得出在热力学过程中力学质量可变结论的人。不久之后,而且毫无疑问是独立于爱因斯坦,庞加莱将相对性原理扩展到对洛伦兹电子和对万有引力更数学化的研究中。最后,普朗克探寻了基于相对性原理的动力学基础。”
从这段引文的叙述不难判断,闵可夫斯基虽然读过庞加莱的《七月文章》,但显然也没有读懂文章中比较物理的那部分,否则,他不应该不明白,普朗克的工作实际上已经基本包含在其中了(见《文二》)。所以说,庞加莱的《七月文章》实在太超前了,确实是真的难懂;物理学家读不懂其中比较数学的那部分,而数学家又读不懂其中比较物理的那部分。
现在,让我们继续看闵可夫斯基接下来写了什么,他的第一部分这样开头:
“首先,我们对洛伦兹将其作为电子理论基础的那些微分方程(笔者注:即Maxwell—Lorentz方程)——它们主宰了纯以太以及包含电荷的无限空间中的电磁场行为——建立一种纯粹的数学关系或说某种形式特征。除了不依赖于空间直角坐标系的选择之外,这些基本方程还具有某种进一步的对称性,这在以往的文献中没有被表达过。我想要做的是,顺便说一下,没有一个作者提过,甚至庞加莱,从头开始就表达这种对称性,事实上这样就会使这组方程的形式显得异常透明。设 x , y , z 为空间(以太中)的直角坐标, t 为时间。下面,我们将与二次型 x 2+ y 2+ z 2-( ct )2打交道,这里 c 表示光在真空中的传播速度。可以选择时间的单位,让 c =1。我们用 x 1, x 2, x 3代替 x , y , z ,用 x 4代替i t 。很自然,以下的 x 4总是一个纯虚数。上述平方项就变成下面的形式:

我们现在将以 x 1, x 2, x 3, x 4的四维流形的形式来处理问题。”
接下来,闵可夫斯基利用四维电磁势,写下了洛仑兹规范下的四维形式的麦克斯韦方程组,以及四维形式的功能定理。同时,他定义了之后以他名字命名的电磁张量(笔者注:他并未使用张量这个词),并将它与( E , H )联系起来。第一部分这样结尾:
“很显然的一个数学事实是,以我的方式写下来的这些方程,与相对性原理就联系起来了。假定在保证

不变的情况下,用纯实数线性变换的方式,引入新的坐标系 x ', y ', z ', t '以替代坐标系 x , y , z , t ,并且相应的以 x 1 , x 2 , x 3 , x 4 变换的方式去变换( c A , φ ),那么整套公式系统就自然地处在带撇的坐标系中了。显而易见,无需增添任何之前所不存在的新定律,我们可以说,电子理论的基本方程组允许四维空间的正交变换。”
很显然,有大名鼎鼎的大数学家庞加莱的《七月文章》在先,当着这么多数学同行的面,闵可夫斯基在这篇文章中,从头至尾决不可能也绝无可能想将四维时空(即现在人们所称的闵可夫斯基空间)、四维时空不变量、赝欧几何这些完全由庞加莱引入狭义相对论的基本概念占为己有;虽然他在讲这几个概念时都没有明确引用庞加莱,但人们一般会认为他是在用自己的语言阐释庞加莱引入的思想;最多他只是说,他是第一个把四维时空作为出发点来进行数学演绎的人而已。然而他的这个说法,恰恰验证了我们在《文一》中反复提到的庞加莱对世人所开的玩笑:
“庞加莱的第二个“玩笑”,开在对《七月文章》正文的章节安排上。……其中,他竟然把自己在相对论中最重要、影响最深远、也最能体现他远超洛伦兹的原创贡献,放在第4节而不是第1节,并且冠以《4.洛伦兹群》的标题。……只要细心研读过《六月文章》和《七月文章》的人,一定不难发现,庞加莱如此安排的唯一目的,就是为了突出洛伦兹的功绩,而不想以自己的工作来喧宾夺主。从今天的角度回头看,这个“玩笑”开得太大、后果太严重了。因为李群和李代数对当时的大多数学家而言,也是新鲜且抽象的理论,对当年的物理学家来说,当然实在太超前、太高深了,几乎无人能懂,所以如果放在第一节,至少能让人知道这是全文的基础,引起人们的重视;但现在放在了第4节,确实与第3节和第5节的内容上下不搭,除了知道洛伦兹变换构成一个群外,别的似乎都是一些不知所云的数学细节;无疑,这种“奇怪的”章节安排,客观上确实严重阻碍了庞加莱的相对论在物理学界的传播。否则,他对狭义相对论的原创性贡献,无论如何也不会被同代和后代人误读。”
闵可夫斯基有关狭义相对论研究的第二次亮相,是一个月后的1907年12月21日,在哥廷根科学学会上的演讲——“动体电磁过程的基本方程”[8]。前一个演讲,可以被看作是闵可夫斯基对当下狭义相对论研究现状的综述,加上一点自己的初步工作;而这个演讲是有关他自己所做工作的学术报告,相应的学术论文以同样的题目于次年正式发表。在前个演讲中,庞加莱的名字被提及了6次;在这个演讲中,庞加莱的名字被提及2次,一次在文章结尾处有关万有引力的一个注释中,另一次在文章的引言中,具体如下:
“特别是,洛伦兹的理论解释了地球相对于光以太不存在相对运动;它表明这一事实与时空坐标同时变换后方程的协变性是相互关联的,这组变换从亨利·庞加莱那里得到了洛伦兹变换的名称。”
在此,闵可夫斯基明确引用了庞加莱的《七月文章》。显然,闵可夫斯基这篇文章在许多地方都谈及了四维时空和四维时空不变量,但对一个不了解庞加莱前期工作的人,一定会误以为这些东西都是闵可夫斯基自己的想法。因此,无论是从今天还是当年的角度看,严格地说,这已有学术不规范的嫌疑了;但无论如何,他毕竟明确地引了庞加莱的《七月文章》,还算不上学术不端。客观地说,闵可夫斯基的第一篇文章[6],除了极少数研究科学史的专家,几乎无人知晓;他的这篇文章[8],却是当年动体电动力学方面的一篇名文,著名的闵可夫斯基电磁张量等现今电动力学教科书中的内容都出自于此,但比起他的第三篇文章,这篇文章仍然属于小众的。
闵可夫斯基有关狭义相对论研究的第三次也是最亮丽的一次露脸,是1908年9月21日在科隆第80届自然科学家大会上的演讲——“空间与时间”[8]。在这个演讲的开头,闵可夫斯基再次展现他那高超的演说才能;一百多年来,在某种意义上说,这段话几乎成了狭义相对论的代名词:
“我要在你们面前阐述的时空观产生于实验物理的土壤,它们的力量也源于此。这些观点是根本性的。从此刻起,空间本身和时间本身注定会消失在阴影中,只有两者的结合才具有独立的真实。”
在这个演讲中,闵可夫斯基自然是提及了洛伦兹、爱因斯坦和普朗克,而且还提到了迈克尔逊、Voigt、Schuetz、Lienard、Wiechert、Schwarzwald等多位科学家的名字,并且明确引用了他们的论文。 但令人震惊的是,他竟然唯独没有提到他最应该提到的庞加莱的名字,更不必说引用庞加莱的《七月文章》了! 多年来,无数学者都注意到了这个事实,但没有人认为这是闵可夫斯基的一时疏忽,更没有任何人能给出一个哪怕自圆其说的合理解释[7]。无论是从今天还是当年的角度看,这已有点触及到学术诚信规范的底线了!极具讽刺意味的是,“闵可夫斯基空间”正是在这样的历史背景下产生的。
你也许一定会问,难道当年就没人觉得这很奇怪吗?显然不是。因为这部分内容涉及非欧几何,对当年的物理学家,包括爱因斯坦,都完全是生疏的知识,因此物理学家很难做出真正有价值的判断,这或许能解释为什么会没有物理学家就此评论的任何资料。但那些了解和跟踪电子论发展的数学家就不一样了,不少人认为庞加莱是狭义相对论的奠基者,这也就是为什么庞加莱会被多次提名获得诺贝尔物理学奖的道理。比如, Acta Mathematica 的主编Gustav Mittag-Leffler1909年7月7日给庞加莱写信,告诉他斯德哥尔摩的数学家Ivan Fredholm指出,闵可夫斯基只是给了庞加莱的想法一种不同的表达:
“您毫无疑问知道闵可夫斯基的小册子,他死后发表的“空间与时间”,以及爱因斯坦和洛伦兹在同一问题上的想法。现在,Fredholm先生告诉我,您比他们都更早地触及了类似的想法,只是用较少的哲学方式、更多的数学方式来进行表达。”
很显然,数学家Mittag-Leffler和Fredholm都以他们的方式,对闵可夫斯基在演讲中不提庞加莱的名字和文章做出了反应[7]。
另外,苏联时期的数学家B. A. Rosenfeld,在他1976年的著作《非欧几何的历史》第七章的其中一节“作为一种赝欧几何空间的狭义相对论时空”中,介绍了庞加莱在1905年的《七月文章》中得到的一些重要数学结果:
(1)庞加莱发现洛伦兹变换构成了一个群,并称之为洛伦兹群;他进一步指出,属于这个群的任意变换,都可看作是保持四维间隔 x 2+ y 2+ z 2-( ct )2不变的一个线性变换。
(2)庞加莱定义了我们今天所称的赝欧几何空间:
“我们将( x , y , z ,i ct ),( δx , δy , δz ,i cδt ),( δ 1 x , δ1y,δ1z,icδ1t )看作是四维空间中三点P,P ',P ''的坐标。显而易见,洛伦兹变换所表达的恰恰就是在这个空间中关于固定原点的转动。”
在介绍完庞加莱的相关工作之后,Rosenfeld接着写道:“另一位获得狭义相对论时空想法的数学家是闵可夫斯基”,然后引用了“空间与时间”演讲(1909年正式出版[9])中的几段文字,最后Rosenfeld以下面这段话结尾:
“庞加莱的论文‘论电子的动力学’发表在一个专业的数学期刊上,物理学家相当长时间都不知晓。 这解释了为什么描写狭义相对论时空的四维赝欧几何空间,会常常被称作闵可夫斯基空间,而不是更恰当地被称作庞加莱空间。 ”
所以说,数学家还是很明白的。闵可夫斯基的工作,在某种程度上说,是对庞加莱的观点和思想做了有益的扩充(elaboration),显然没有原创性。

图3 1881年,庞加莱题为《论非欧几何对二次型理论的应用》的文章
狭义相对论时空的四维赝欧几何空间,也常常被称作3+1维空间,其中3代表空间维度,1代表时间维度。事实上,早在1881年,庞加莱便已讨论过三维赝欧几何空间,或说2+1维空间的数学结构了。如图3所示,他在这篇名叫“论非欧几何对二次型理论的应用”的纯数学文章中,求解了二次型

,在什么样的实数线性变换(2)下,能保持形式不变,即

,换句话说,也就是要确定(2)式中的所有系数 α , β , γ ,……,最后结果由(2')给出。
或许有点意想不到,如果将上述变换与狭义相对论的洛伦兹变换相联系,那么,这实际上就是2+1维空间的洛伦兹变换了。如果进一步假定这里的 η =0,即考虑二次型

,也就是二维赝欧几何空间,或说1+1维空间,那么(2')就只剩下与 α , γ , α '', γ '' 相关的三个式子了。这不是别的,正是沿 x 方向运动的特殊洛伦兹变换!估计正是在与洛伦兹通信的1905年5月的某一天,庞加莱大概突然意识到,这两个时间相差24年的线性变换竟然是同一件事情。吾等凡人只能想象,而完全无法感受庞加莱此刻的心情。或许,闵可夫斯基上面所说的那段话放在这里是最恰当不过了:“很显然,数学家纯粹是在他们的想象中开辟了一片广阔的领域,然而这些理想的伙伴从来没有这样的意图,最完美的真实存在(the most perfect real existence)有一天将会真的走上他们的路”。

图4 非欧几何名人堂
作为公认的非欧几何大师(图4),庞加莱意识到,这里的非欧几何(我们今天称作赝欧几何)与欧几里得、罗巴切夫斯基和黎曼的几何都不一样,因此在他的1902年名著《科学与假设》的第三章“非欧几何”(该章原文发表于1891年)中,他称之为第四种几何学:
“在这些隐含的公理中,有一条值得注意,因为抛弃它将使我们能够建立与欧几里得、罗巴切夫斯基和黎曼的几何学一样融贯的第四种几何学。为了证明在点 A 总可以向直线 AB 引一条垂线,考虑绕点A转动的直线 AC ,它起初与固定直线 AB 重合。让 AC 绕点 A 转动,直到它位于 AB 的延长线上。
因此,我们假设了两个命题:首先,这种转动是可能的,其次,转动可以继续下去,直到两条直线互为延长线。如果接受第一点而拒绝第二点,我们就可以得到一系列定理,这些定理甚至比罗巴切夫斯基和黎曼的定理更为奇特,但同样没有矛盾。 我只引用其中一个定理,它并不是其中最奇特的:一条实际的直线可以垂直于它自身。”
如划线部分所示,远在闵可夫斯基1908年给出他的时空图(图5)之前十七年,庞加莱就已经令人惊叹地将光锥线(即( x ,i t )的对角线)上的奇异几何特性说明白了。

图5 闵可夫斯基的时空图
现在,如果我们回过头来再看庞加莱的《七月文章》,一切都变得透明了,特别是,由他首先发现洛伦兹群、四维时空、四维时空不变量、以及四维时空的赝欧几何结构这一系列狭义相对论最本质的内容,难道不是再自然不过的事吗?
6 闵可夫斯基的6矢量和电磁张量
上一节的内容虽长,总结起来实际上也就是一句话:四维时空及其赝欧几何结构是庞加莱对物理学最伟大的学术贡献,它不应该被称作闵可夫斯基空间。但我们完全无意否认闵可夫斯基在前者的基础上(毕竟两人的工作在时间上差了两年半),由四维时空的赝欧几何结构出发重构狭义相对论的历史重要性,它不仅对狭义相对论的传播起了相当大的作用,而且直接影响了爱因斯坦在广义相对论上的发展,更不必说归功于他的电动力学张量表述形式,以及宏观运动介质的电动力学,特别是任意惯性系中的本构关系了[8]。
正如1922年索末菲对闵可夫斯基的“空间与时间”论文所做注释中讲的那样:
“用了一个‘第二类矢量’(或者,我建议称它为‘6矢量’,这似乎已被接受)的电磁场的不变性表达(invariant representation),是闵可夫斯基的电动力学观点*特中**别重要的一个部分。尽管闵可夫斯基的‘第一类矢量’,或4矢量,庞加莱已经在一定程度上有了,但6矢量的引入是新的。”
那这个6矢量究竟是个什么东西呢?对于当年和今天的物理学家,可以说,这几乎是个从未听说过的古怪名称;但对于当年的数学家,这并不是什么新东西,它事实上就是J. Plücker和A. Cayley在十九世纪七十年代,在射影几何中引入的三维射影空间(非零的空间“点坐标”是4矢量)的“线坐标”(6矢量)。为了便于读者更好地理解闵可夫斯基的6矢量和电磁张量,我们简单介绍如下[10]:
由三维射影几何可知,如果( x 0, x 1, x 2, x 3)和( y 0, y 1, y 2, y 3)是一条直线 p 上的两点,则线坐标是这样定义的:

因此下面这六个量

就是这条直线 p 的线坐标。假定我们对( x 0, x 1, x 2, x 3)和( y 0, y 1, y 2, y 3)都作洛伦兹变换(这里只给出前者):

则容易验证:

事实上,这组变换式与《文二》介绍的电磁场( E , H )的变换式,在形式上完全一样,只要假定:

值得指出的是,这个结论不仅对于特殊洛伦兹变换,而且对于最一般的洛伦兹变换也是成立的。因此,当对四维空间坐标进行洛伦兹变换时,如果一组六个量的集合是按照直线的线坐标变换的话,那么这六个量就构成了一个所谓的6矢量,它正好对应了今天的四维二阶反对称张量中的6个独立元素,如今天教科书上的闵可夫斯基电磁张量所示。它的物理意义在于, E 和 H 不是相互独立的两件事,它们本质上是一件事。
有趣的是,虽然庞加莱在公开发表的文章中,除了在1905年的《七月文章》第一节中证明了这个( E , H )变换之外,并未在其他地方谈论过这组( E , H )6矢量的特殊变换;但难以想象,这么明显的事实怎么可能逃脱庞加莱的法眼呢?如图6所示,事实上,比闵可夫斯基大约早了一年,他在1906—1907学期的课程中,确实谈及了这组( E , H )6矢量的特殊变换,只是说法与闵可夫斯基稍有不同。在给出了四维时空不变量所导致的洛伦兹变换式(4),并在定义了 E =( f , g , h ), H =( α , β , γ )之后,他接着就指出( E , H )的变换式(5)“这组变换在保持了 g 2- γ 2和 h 2- β 2不变的条件下构成了一个群”。这里, g 2- γ 2不变的变换,实际上就对应了上述(14)式中的第2、6两式;而 h 2- β 2不变的变换,实际上就对应了(14)式中的第3、5两式。用今天的张量形式表达,这就是由两个洛伦兹变换所导致的电磁张量变换:

。

图6 庞加莱1906年的讲义
既然庞加莱完全明白四维时空的非欧几何结构,那他为什么不采用闵可夫斯基那样的方式来表达狭义相对论呢?很显然,他不是不能,而是不愿。在他完成1905年《七月文章》之后,比闵可夫斯基的第一项工作(1907年11月)早了一年多,他留下了这样的文字(见参考文献[2]第427页):
“事实上,看来可以做到将我们的物理翻译成四维的几何语言;试图进行这样的翻译,实在是弊远大于利,我这里仅限于举出赫兹的力学作为类比。然而,似乎这样的翻译总是不如原文那么简单,总带着翻译的味道,三维的语言似乎更合适描写我们的世界,虽然这种描绘可以严格地用另外的语言来进行。”
很显然,庞加莱不那么做,完全是因为他有自己对世界的哲学认识。客观地说,如果仅限于当时的狭义相对论这一件事来看,闵可夫斯基所做的狭义相对论工作,除了表达形式不同,并没有导致比庞加莱的《七月文章》更多的重要结果。但是,从后来爱因斯坦发展广义相对论的视角看,不得不说,庞加莱的上述观点并不正确,而且显然是太保守了。这或许真的验证了那句老话,智者千虑必有一失!
#头条群星9月榜#