三角形折叠问题



【解析】
利用对称的性质得到AE'=AB=10,∠E'AB=90°,∠AE'N=90°,再根据勾股定理的逆定理得到△ACB为直角三角形,利用射影定理计算出MC=9/2,接着证明Rt△ACM~Rt△AE'N,则利用相似比可计算出E'N=15/2,然后就利用四边形CME'N的面积=S△AE'N-S△ACM.进行计算.
【点评】
本题考查了作图--对称性变换:几何图形都可看做是由点组成,我们在画一个图形的轴对称图形时,也是先从确定一些特殊的对称点开始的.也考查了射影定理和正方形的性质.



【解析】
连接BB',根据旋转的性质可得AB=AB',判断出△ABB'是等边三角形,根据等边三角形的三条边都相等可得AB=BB',然后利用“边边边”证明△ABC'和△B'BC'全等,根据全等三角形对应角相等可得∠ABC'=∠B'BC',延长BC'交AB'于D,根据等边三角形的性质可得BD⊥AB',利用勾股定理列式求出AB,然后根据等边三角形的性质和等腰直角三角形的性质求出BD、C'D,然后根据BC'=BD-C'D计算即可得解.
【点评】
本题考查了旋转的性质,全等三角形的判定与性质,等边三角形的判定与性质,等腰直角三角形的性质,作辅助线构造出全等三角形并求出BC在等边三角形的高上是解题的关键,也是本题的难点.





【点评】
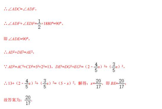
本题考查了翻折变换的性质、相似三角形的判定与性质、全等三角形的判定与性质、勾股定理等知识;熟练掌握翻折变换的性质,证明∠ADE=90°是解题的关键.






【解析】
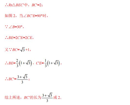
分两种情况讨论:∠BEC'=90°,∠BC'E=90°;分别依据含30°角的直角三角形的性质,即可得到BC'的长.
【点评】
本题主要考查了折叠问题以及含30°角的直角三角形的性质的运用,折叠是一种对称变换,它属于轴对称,折叠前后图形的形状和大小不变,对应边和对应角相等.






【解析】
首先由在Rt△ABC中,∠ACB=90°,∠B=30°,BC=3,即可求得AC的长、∠AEF与∠BAC的度数,然后分别从从∠AFE=90°与∠EAF=90°去分析求解,又由折叠的性质与三角函数的知识,即可求得CF的长,继而求得答案.
【点评】
此题考查了直角三角形的性质、折叠的性质以及特殊角的三角函数问题.此题难度适中,注意数形结合思想与分类讨论思想的应用.











