提起无功补偿,想必大部分电气工程师都不陌生了,但是如果说到无功补偿的作用、原理和补偿形式,可能有不少电气工程师都是只知其一就不知其二的。 无功功率补偿(Reactivepowercompensation),简称无功补偿。对于电网而言,输电过程中会有线路损耗,这类损耗属于无功损耗,即没有做功。而为了使电网输送到用户端的电能达到要求,会在就地或者变电所对损失的电能进行补偿,而这个补偿量就是无功补偿。简单地讲就是用以提高功率因素的电能瞬间释放,降低电网中的无功损耗。那么无功补偿的作用和原理是什么?无功补偿的补偿方式又是什么呢?下面就让小编带大家详细地了解一下吧。

01 无功补偿的基本概述
▼







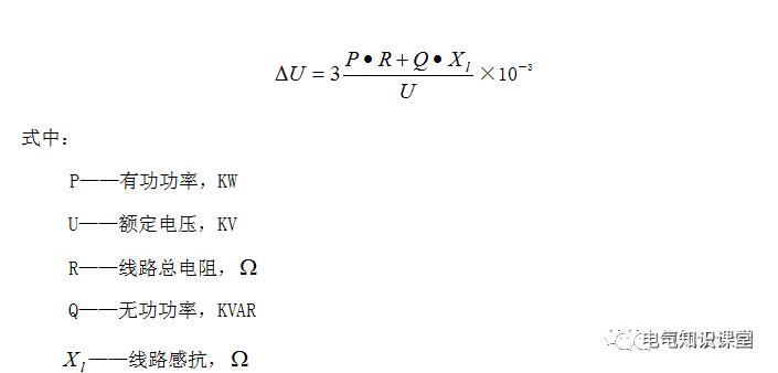
02 无功补偿的原理解析
▼




03 无功补偿方式
▼




04 无功补偿的好处
▼













学习更多:
短路电流计算方法(附:示例计算)
建筑电气设计负荷计算方法,简单易懂!(附:举例计算)
电机电流的计算公式是什么?具体怎么计算?本文给你说清楚
负荷电流计算方法以及原则(附:举例计算),建议收藏
电 (线) 缆工作电流如何计算?这里已经给你整理好计算公式
电力电缆主要电气参数计算公式(附:计算实例),值得一看
有功功率、无功功率和视在功率计算怎么计算?它们有什么关系?
施工现场临时用电计算分享
短路电流的一般计算方法有哪几种?34页PPT演示计算步骤,收藏好