圆周率继续算下去有何意义?听完科学家的解释恍然大悟
圆周率
圆周率,我们也用符号π来表示,它的具体定义是:圆的周长与直径的比值。

圆周率的大概取值范围是3.1415……目前被认为是一个无限不循环的小数。要知道,圆在我们日常的生活当中是极为常见的,因此,几大文明古国其实都有关于圆周率的记载,比如:
在4000多年前,古巴比伦就得到了圆周率为3.125,古埃及也得到了类似的取值;中国古代的祖冲之等人更是利用割圆法得到了圆周率的取值范围:3.1415926~3.1415927。

除了古巴比伦、埃及、中国之外,印度等一些古国也都有类似的记载。
割圆法
最早比较严谨地利用割圆法来计算圆周率的是古希腊的学者阿基米德,大概是在公元前250年前后。

他用的办法就是透过多个正多边形的几何算法来得到圆周率。最早,阿基米德是计算了圆的外切正六边形以及内接正六边形的边长,求得圆周率的一个区间范围。
接近着,他用把六边形换成了十二边形,继续计算边长,继续得到圆周率的取值范围,最后一只取到正96变形,得到圆周率大概的取值是3.1408<π<3.1429。

后来的学者其实就是在阿基米德的方法之上继续求解,得到更小的范围,在1630年前后,数学家已经可以做到把圆周率取值到小数点后39位,这也可以说是割圆法做到很极致结果。后来一直到1699年,才有数学家用无穷级数的方法打破了这个记录,计算到了小数点后71位。

圆周率真的是无限不循环小数吗?
虽然,我们利用割圆法可以一直逼近圆周率的最终结果,但是数学家们也早就意识到了圆周率其实应该是一个无限不循环小数,也就是我们常说的无理数。当然,如果是这样,我们就更不可能利用计算机把圆周率算近再证明这一点。

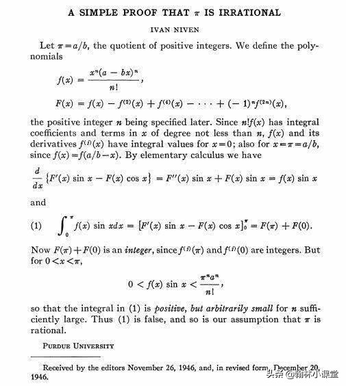
因此,在这件事上,一个可靠的数学证明远比不断地计算下去要有用的多。到了1947年,果真有一位数学家叫做伊万·尼云(Ivan M. Niven)。

他就利用微积分和反证法的手段,经过非常严密的逻辑推理,证明了圆周率π确实是一个无理数。所以,圆周率是一个无理数是经过了严格的数学证明而来的,这才被广泛接受。

为什么科学家要计算圆周率的位数?
既然圆周率已经被数学证明是无理数了,实际上再多的计算都不如这个数学证明来的可靠,可偏偏科学家们非常执着于计算圆周率的位数,如今已经计算到了小数点后数亿位了,比如,2011年IBM就对外宣布,他们开发的蓝色基因超级计算机已经计算到圆周率小数点后60万亿位。那这么做的目的到底是什么呢?难道是要尝试把圆周率算尽?

实际上,超级计算机计算圆周率的位数并不是因为要把圆周率算尽,毕竟已经证明是算不尽的了。这么做的目前其实很简单,就是检测超级计算机的CPU(中央处理器)的运算能力和稳定性。由于圆周率的计算很复杂。因此,相对于一般的计算机来说,计算圆周率是一件非常吃力的事情,很容易出现BUG,之前英特尔的CPU就出现过类似的问题。所以,拿圆周率来计算,目的是为了检测CPU的性能和可能存在的BUG。因此,圆周率不是被检验的对象,而是被一个通用的检测工具。

圆周率如果被算尽,会有什么后果?
如果有朝一日,圆周率被算尽了,当然,大概率这种事并不会发生。那就意味着这证明是错的。我们前文也提到过了,是利用微积分和反证法。所以,这说明微积分可能是错的。具体来说是这样的,我们上文也提到了割圆法,就是把圆看成是正多边形。如果圆周率可以被算尽,这就说明,圆并不存在,圆那看似光滑的曲线实际上是无数的线段构成的,也就是说,曲线是不存在的。
因此,几何学会崩溃,微积分描述曲线的部分也会被认为是错误的,于是,微积分就是错误的。那这意味着几千年来,人类发展出来的数学大厦的地基是有问题的,需要推倒重建。因此,如果圆周率能被算尽,那意味着人类的数学和科学都一夜回到几千年前,要从零开始。
点击右上角【关注】我,每天实时更新!欢迎各位家长及时阅读、收藏、转发,评论交流心得.