电工常用计算公式
计算所有关于电流,电压,电阻,功率的计算公式
1、串联电路电流和电压有以下几个规律:(如:R1,R2串联)
①电流:I=I1=I2(串联电路中各处的电流相等)
②电压:U=U1+U2(总电压等于各处电压之和)
③电阻:R=R1+R2(总电阻等于各电阻之和)如果n个阻值相同的电阻串联,则有R总=nR
2、并联电路电流和电压有以下几个规律:(如:R1,R2并联)
①电流:I=I1+I2(干路电流等于各支路电流之和)
②电压:U=U1=U2(干路电压等于各支路电压)
③电阻: (总电阻的倒数等于各并联电阻的倒数和)或 如果n个阻值相同的电阻并联,则有R总= R
注意:并联电路的总电阻比任何一个支路电阻都小。电功计算公式:W=UIt(式中单位W→焦(J);U→伏(V);I→安(A);t→秒)。
5、利用W=UIt计算电功时注意:
①式中的W、U、I和t是在同一段电路;②计算时单位要统一;③已知任意的三个量都可以求出第四个量。
6、计算电功还可用以下公式:(1)常用的电功公式还有:W=I2Rt,W=U2Rt,W=Pt等公式;(2)1kW•h=1000W×3600s=3.6×106J;故答案为:W=UIt;3.6×106.

【电 学 部 分】
1电流强度:I=Q电量/t
2电阻:R=ρL/S
3欧姆定律:I=U/R
4焦耳定律:
电压=电流*电阻 即U=RI
电阻=电压/电流 即R=U/I
功率=电流*电压 即P=IU
电能=电功率*时间 即W=Pt
符号的意义及其单位
U:电压,V;
R:电阻,;
I:电流,A;
P:功率,W
W:电能,J
t:时间,S
⑴Q=I2Rt普适公式)
⑵Q=UIt=Pt=UQ电量=U2t/R (纯电阻公式)
5串联电路:
⑴I=I1=I2
⑵U=U1+U2
⑶R=R1+R2
⑷U1/U2=R1/R2 (分压公式)
⑸P1/P2=R1/R2
6并联电路:
⑴I=I1+I2
⑵U=U1=U2
⑶1/R=1/R1+1/R2 [ R=R1R2/(R1+R2)]
⑷I1/I2=R2/R1(分流公式)
⑸P1/P2=R2/R1
7定值电阻:
⑴I1/I2=U1/U2
⑵P1/P2=I12/I22
⑶P1/P2=U12/U22
8电功:
⑴W=UIt=Pt=UQ (普适公式)
⑵W=I^2Rt=U^2t/R (纯电阻公式)

9电功率:
⑴P=W/t=UI (普适公式)
⑵P=I2^R=U^2/R (纯电阻公式)
所谓分压公式,就是计算串联的各个电阻如何去分总电压,以及分到多少电压的公式。 分电压多少这样计算:占总电阻的百分比,就是分电压的百分比。公式是:U=(R/R总)×U源 如5欧和10欧电阻串联在10V电路中间,5欧占了总电阻5+10=15欧的1/3,所以它分的电压也为1/3,也就是 10/3伏特。 分压电路 当电流表和其相连电阻连接时起到分压效果,此时用外接(电流表内阻一般不足一欧,但如果于其相连的电阻也只有几欧那就起分压效果了),如相连电阻有几十欧以上,就可以忽略电流表的分压效果,用内接 电流I,电压V,电阻R,功率W,频率F
W=I的平方乘以R
V=IR
W=V的平方除以R
电压V(伏特),电阻R(欧姆),电流强度I(安培),功率N(瓦特)之间的关系是:
V=IR,N=IV =I*I*R,
或也可变形为:I=V/R,I=N/V等等.但是必须注意,以上均是在直流(更准确的说,是直流稳态)电路情况下推导出来的!其它情况不适用.如交流电路,那要对其作补充和修正求电压、电阻、电流与功率的换算关系
电流=I,电压=U,电阻=R,功率=P
U=IR,I=U/R,R=U/I,
P=UI,I=P/U,U=P/I
P=U2/R,R=U2/P
就记得这一些了,不知还有没有
还有P=I2R P=IU R=U/I 最好用这两个;如电动机电能转化为热能和机械能。 电流
符号: I
符号名称: 安培(安)
单位: A
公式: 电流=电压/电阻 I=U/R
单位换算: 1MA(兆安)=1000kA(千安)=1000000A(安)
1A(安)=1000mA(毫安)=1000000μA(微安)单相电阻类电功率的计算公式= 电压U*电流I
单相电机类电功率的计算公式= 电压U*电流I*功率因数COSΦ
三相电阻类电功率的计算公式= 1.732*线电压U*线电流I (星形接法)
= 3*相电压U*相电流I(角形接法)
三相电机类电功率的计算公式= 1.732*线电压U*线电流I*功率因数COSΦ(星形 电流=I,电压=U,电阻=R,功率=P
U=IR,I=U/R,R=U/I,
P=UI,I=P/U,U=P/I
P=U2/R,R=U2/P
就记得这一些了,不知还有没有
还有P=I2R ⑴串联电路 P(电功率)U(电压)I(电流)W(电功)R(电阻)T(时间)
电流处处相等 I1=I2=I
总电压等于各用电器两端电压之和 U=U1+U2
总电阻等于各电阻之和 R=R1+R2
U1:U2=R1:R2
总电功等于各电功之和 W=W1+W2
W1:W2=R1:R2=U1:U2
P1:P2=R1:R2=U1:U2
总功率等于各功率之和 P=P1+P2
⑵并联电路
总电流等于各处电流之和 I=I1+I2
各处电压相等 U1=U1=U
总电阻等于各电阻之积除以各电阻之和 R=R1R2÷(R1+R2)
总电功等于各电功之和 W=W1+W2
I1:I2=R2:R1
W1:W2=I1:I2=R2:R1
P1:P2=R2:R1=I1:I2
总功率等于各功率之和 P=P1+P2

⑶同一用电器的电功率
①额定功率比实际功率等于额定电压比实际电压的平方 Pe/Ps=(Ue/Us)的平方
2.有关电路的公式
⑴电阻 R
①电阻等于材料密度乘以(长度除以横截面积) R=密度×(L÷S)
②电阻等于电压除以电流 R=U÷I
③电阻等于电压平方除以电功率 R=UU÷P
⑵电功 W
电功等于电流乘电压乘时间 W=UIT(普式公式)
电功等于电功率乘以时间 W=PT
电功等于电荷乘电压 W=QT
电功等于电流平方乘电阻乘时间 W=I×IRT(纯电阻电路)
电功等于电压平方除以电阻再乘以时间 W=U?U÷R×T(同上)
⑶电功率 P
①电功率等于电压乘以电流 P=UI
②电功率等于电流平方乘以电阻 P=IIR(纯电阻电路)
③电功率等于电压平方除以电阻 P=UU÷R(同上)
④电功率等于电功除以时间 P=W:T
⑷电热 Q
电热等于电流平方成电阻乘时间 Q=IIRt(普式公式)
电热等于电流乘以电压乘时间 Q=UIT=W(纯电阻电路 功率=1.732*额定电压*电流 是三相电路中星型接法的纯阻性负载功率计算公式
功率=额定电压*电流 是单相电路中纯阻性负载功率计算公式
P=1.732×(380×I×COS)是三相电路中星型接法的感性负载功率计算公式
单相电阻类电功率的计算公式= 电压U*电流I
单相电机类电功率的计算公式= 电压U*电流I*功率因数COS
三相电阻类电功率的计算公式= 1.732*线电压U*线电流I (星形接法)
= 3*相电压U*相电流I(角形接法)
三相电机类电功率的计算公式= 1.732*线电压U*线电流I*功率因数COS(星形
接法)
= 3*相电压U*相电流I*功率因数COS(角形接法)
三相交流电路中星接和角接两个功率计算公式可互换使用,但相电压、线电压和相电流、线电流一定要分清。电功率计算公式:
在纯直流电路中:P=UI P=I2R P=U2/R 式中:P---电功率(W),U---电压(V),
I----电流(A), R---电阻(Ω).
在单相交流电路中:P=UIcosφ 式中:cos---功率因数, 如白炽灯、电炉、电烙铁等可视为
电阻性负载,其 cos φ=1 则 P=UI
U、I---分别为相电压、电流。
W=V的平方除以R
电压:用U表示,单位伏特;
电流:用I表示,单位安培;
功率:用P表示,单位瓦特;
电流=功率/电压——I=P/U。

功率==电压乘以电流
功率==电压的平方除以电阻
功率==电阻乘以电流的平方
电压==电阻乘以电流
电流==功率除以电压
电流==电压除以电阻
电阻==电压除以电流
I=P/V
P=IxV
一、利用低压配电盘上的三根有功电度表,电流互感器、电压表、电流表计算一段时间内的平均有功功率、现在功率、无功功率和功率因数。
(一)利用三相有功电度表和电流互感器计算有功功率

式中 N——测量的电度表圆盘转数
K——电度表常数(即每kW·h转数)
t——测量N转时所需的时间S
CT——电流互感器的变交流比
(二)在三相负荷基本平衡和稳定的情况下,利用电压表、电流表的指示数计算视在功率

(三)求出了有功功率和视在功率就可计算无功功率

(四)根据有功功率和现在功率,可计算出功率因数

例1某单位配电盘上装有一块500转/kW·h电度表,三支100/5电流互感器,电压表指示在400V,电流表指示在22A,在三相电压、电流平衡稳定的情况下,测试电度表圆盘转数是60S转了5圈。求有功功率、现在功率、无功功率、功率因数各为多少?
[解]①将数值代入公式(1),得有功功率P=12kW
②将数值代入公式(2);得视在功率S=15kVA
③由有功功率和视在功率代入公式(3),得无功功率Q=8l kVar
④由有功功率和现在功率代入公式(4),得功率因数cosφ= 0.8
二、利用秒表现场测试电度表误差的方法
(一)首先选定圆盘转数,按下式计算出电度表有N转内的标准时间

式中 N——选定转数
P——实际功率kW
K——电度表常数(即每kW·h转数)
CT——电流互感器交流比
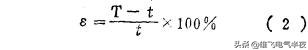
(二)根据实际测试的时间(S)。求电度表误差

式中 T——N转的标准时间s
t——用秒表实际测试的N转所需时间(s)
注:如果计算出的数是正数,电度表决;负数,则是慢。
【例】某用户有一块750转/kW·h上电度表,配有150/5电流互感器,接有10kW的负载,现场测试60s圆盘转了5圈。求电度表误差是多少?
〔解〕①先求电度表转5圈时的标准秒数由公式(1),得T=72s
②由公式(2)得出电度表误差ε=20%,快20%。
三、配电变压器的高低压熔丝选择方法
(一)先计算变压器高低压侧的额定电流

式中 S——变压器容量kVA
U——电压kV
(二)高压熔丝=Ix(1.5~2.5) (2)
(三)低压保险丝=低压额定电流(I) (3)
(例)有一台50kVA变压器,高压侧额定电压10kV,低压侧的额定电压 0.4kV。求高低压的额定电流各是多少 A?高压侧应选择多少A的熔丝?低压侧应选择多少A的保险丝?
〔解〕①将数值代入公式(1),得高压电流I= 2.8 A
②将数值代入公式(l),得低压电流I=72A
③高压侧熔丝=2.8x(1.5~2.5)=4.2~7A可选择5A的熔丝。
④低压额定电流是72A,可选择80A的保险丝。
四、架空线路铝绞线的截面选择简捷公式
(一)首先计算负荷矩M=kW.km
(二)选用铝导线时,每kW·km可按4mm2估算,即;导线截面S=M·4mm2
[例]某单位在离配电变压器800m处按一台10kW的电动机。应选择多大截面的错绞线?
〔解〕①先把m化成km,即800m=0.8km
②计算负荷矩M= 10 x 0.8=8kW·km
③将数值代入公式(2),得导线截面
S= 8 x 4=32mm2,应选用35mm2的铝绞线。
五、拉线坑与电杆的距离和拉线长度的计算公式
(一)拉线坑与电杆的距离计算公式L=h·ctga(m)
式中 h——电杆高度(电杆在地面与拉线悬挂点间的高度)
a——拉线与电杆的夹角(技术规程规定拉线与电杆的夹角一般采用45˚,在地形限制的情况下可采用30˚或60˚)
注: Ctg45˚=1 ctg30˚=1.732 ctg60˚=0.577
(二)使用楔型线夹扎上把,uT型线夹扎下把时拉线长度计算公式:
L=h/sina十上下把绑扎长度——拉线棒露出地面的长度
式中 h——电杆高度(电杆在地面与拉线悬挂点间的高度)m
a——拉线与电杆的夹角
注: Sin45˚=0.707, Sin30˚=0.5,Sin60˚=0.866。