一、激活函数作用
激活函数的主要作用是 提供网络的非线性建模能力 。如果没有激活函数,那么该网络仅能够表达线性映射,此时即便有再多的隐藏层,其整个网络跟单层神经网络也是等价的。因此也可以认为,只有加入了激活函数之后,深度神经网络才具备了分层的非线性映射学习能力。
回到顶部
二、激活函数所具有的几个性质
非线性 : 当激活函数是线性的时候,一个两层的神经网络就可以逼近基本上所有的函数了。但是,如果激活函数是恒等激活函数的时候(即f(x)=x),就不满足这个性质了,而且如果MLP(Multi-Layer Perceptron,即多层感知器)使用的是恒等激活函数,那么其实整个网络跟单层神经网络是等价的。
可微性 : 当优化方法是基于梯度的时候,这个性质是必须的。
单调性 : 当激活函数是单调的时候,单层网络能够保证是凸函数。
f(x)≈x: 当激活函数满足这个性质的时候,如果参数的初始化是random的很小的值,那么神经网络的训练将会很高效;如果不满足这个性质,那么就需要很用心地去设置初始值。
输出值的范围 : 当激活函数输出值是 有限 的时候,基于梯度的优化方法会更加稳定,因为特征的表示受有限权值的影响更显著;当激活函数的输出是 无限 的时候,模型的训练会更加高效,不过在这种情况下,一般需要更小的learning rate。
回到顶部
三、四种激活函数
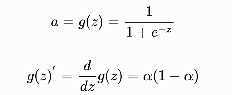
3.1:Sigmoid
Sigmoid 因其在 logistic 回归中的重要地位而被人熟知,值域在 0 到 1 之间。Logistic Sigmoid(或者按通常的叫法,Sigmoid)激活函数给神经网络引进了概率的概念。它的导数是非零的,并且很容易计算(是其初始输出的函数)。然而,在分类任务中,sigmoid 正逐渐被 Tanh 函数 取代作为标准的激活函数,因为后者为奇函数(关于原点对称)。


优点:
- Sigmoid函数的输出映射在 (0,1) 之间,单调连续,输出范围有限,如果是非常大的负数,那么输出就是0;如果是非常大的正数,输出就是1。优化稳定,可以用作输出层。
- 求导容易。
- sigmoid 函数曾经被使用的很多,不过近年来,用它的人越来越少了。
缺点:
- 容易饱和和终止梯度传递("死神经元");
- sigmoid函数的输出没有0中心化。
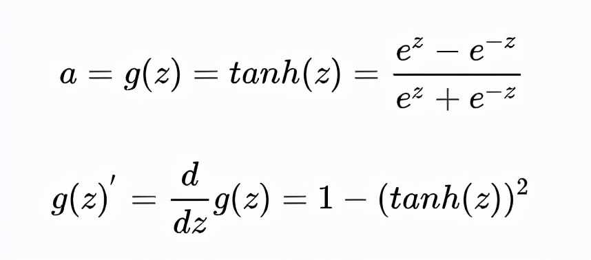
3.2:双曲正切函数(Tanh)
在分类任务中,双曲正切函数(Tanh)逐渐取代 Sigmoid 函数作为标准的激活函数,其具有很多神经网络所钟爱的特征。它是完全可微分的,反对称,对称中心在原点。为了解决学习缓慢和/或梯度消失问题,可以使用这个函数的更加平缓的变体(log-log、softsign、symmetrical sigmoid 等等)。


优点 :
- 比Sigmoid函数收敛速度更快。
- 相比Sigmoid函数,其输出以0为中心。
缺点 :
还是没有改变Sigmoid函数的最大问题——由于饱和性产生的梯度消失。
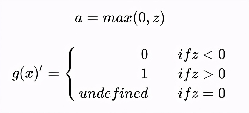
3.3:修正线性单元(Rectified linear unit,ReLU)
是神经网络中最常用的激活函数。它保留了 step 函数的生物学启发(只有输入超出阈值时神经元才激活),不过当输入为正的时候,导数不为零,从而允许基于梯度的学习(尽管在 x=0 的时候,导数是未定义的)。使用这个函数能使计算变得很快,因为无论是函数还是其导数都不包含复杂的数*运学**算。然而,当输入为负值的时候,ReLU 的学习速度可能会变得很慢,甚至使神经元直接无效,因为此时输入小于零而梯度为零,从而其权重无法得到更新,在剩下的训练过程中会一直保持静默。


优点 :
1.相比起Sigmoid和tanh,ReLU在SGD中能够快速收敛,这是因为它线性(linear)、非饱和(non-saturating)的形式。
2.Sigmoid和tanh涉及了很多很expensive的操作(比如指数),ReLU可以更加简单地实现。
3.有效缓解了梯度消失的问题。
4.在没有无监督预训练的时候也能有较好的表现。
缺点 :
- 没有边界,可以使用变种ReLU: min(max(0,x), 6)
- 比较脆弱,比较容易陷入出现"死神经元"的情况
• 解决方案: 较小的学习率
3.4:Leaky ReLU
经典(以及广泛使用的)ReLU 激活函数的变体,带泄露修正线性单元(Leaky ReLU)的输出对负值输入有很小的坡度。由于导数总是不为零,这能减少静默神经元的出现,允许基于梯度的学习(虽然会很慢)。

优缺点: 人工神经网络中为什么ReLu要好过于tanh和sigmoid function?
1.采用sigmoid等函数,算激活函数时(指数运算),计算量大,反向传播求误差梯度时,求导涉及除法和指数运算,计算量相对大,而采用Relu激活函数,整个过程的计算量节省很多。
2.对于深层网络,sigmoid函数反向传播时,很容易就会出现梯度消失的情况(在sigmoid接近饱和区时,变换太缓慢,导数趋于0,这种情况会造成信息丢失),这种现象称为饱和,从而无法完成深层网络的训练。而ReLU就不会有饱和倾向,不会有特别小的梯度出现。
3.Relu会使一部分神经元的输出为0,这样就造成了网络的稀疏性,并且减少了参数的相互依存关系,缓解了过拟合问题的发生(以及一些人的生物解释balabala)。当然现在也有一些对relu的改进,比如prelu,random relu等,在不同的数据集上会有一些训练速度上或者准确率上的改进。
一般来说,隐藏层最好使用 ReLU 神经元。对于分类任务,Softmax 通常是更好的选择;对于回归问题,最好使用 Sigmoid 函数或双曲正切函数。
如果使用 ReLU,要小心设置 learning rate,注意不要让网络出现很多 "dead" 神经元,如果不好解决,可以试试 Leaky ReLU、PReLU 或者 Maxout.
比如GAN就是使用这个函数。
回到顶部
四、其它激活函数:
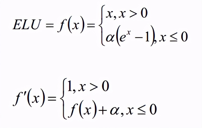
ELU激活函数:
指数线性激活函数,同样属于对ReLU激活函数的x≤0部分的转换进行指数修正,而不是和Leaky ReLU中的线性修正


五、激励层建议:
- CNN尽量不要使用sigmoid,如果要使用,建议只在全连接层使用
- 首先使用ReLU,因为迭代速度快,但是有可能效果不佳
- 如果使用ReLU失效的情况下,考虑使用Leaky ReLu或者Maxout,此时一般情况都可以解决啦
- tanh激活函数在某些情况下有比较好的效果,但是应用场景比较少
附加:
Softmax:
做过多分类任务的同学一定都知道softmax函数。softmax函数,又称归一化指数函数。它是二分类函数sigmoid在多分类上的推广,目的是将多分类的结果以概率的形式展现出来。下图展示了softmax的计算方法:

下面为大家解释一下为什么softmax是这种形式。我们知道指数函数的值域取值范围是零到正无穷。与概率取值相似的地方是它们都是非负实数。那么我们可以
1)利用指数函数将多分类结果映射到零到正无穷;
2)然后进行归一化处理,便得到了近似的概率。
总结一下softmax如何将多分类输出转换为概率,可以分为两步:
1)分子:通过指数函数,将实数输出映射到零到正无穷。
2)分母:将所有结果相加,进行归一化。
下图为斯坦福大学CS224n课程中对softmax的解释:
