1
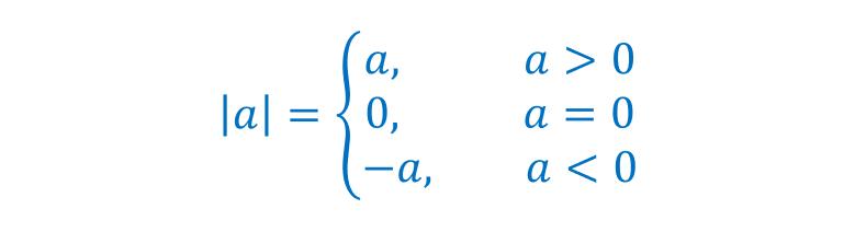
绝对值是初中数学中最重要的概念之一,我们都学过一个实数的绝对值的定义:

这个只是它的代数定义,刚开始学习的时候,很多同学可能不明白这样定义出来的数有什么意义,到后来我们又学习了它的几何含义, |a-b|表示的就是在数轴上点a和点b之间的距离 :

而|a|可以看成是|a-0|,因此它表示的就是 数轴上点a和原点的距离。
通过几何含义来理解绝对值这个概念就直观多了,因此绝对值就自然地和距离联系在一起。
可以很轻松地证明,绝对值满足下面三个性质:

相信很多人对初中有关绝对值的题目记忆犹新,尤其是各种各样的绝对值不等式,让人头疼不已。

其实,绝对值这个概念是很晚才被提出的。它是由被誉为“现代分析学之父”的德国大数学家魏尔斯特拉斯(Weierstrass)于1841年提出的,距今不到200年的历史。当然,你可能觉得这个时间已经够久远了吧,但是我可以告诉你,我们所崇拜的欧拉,生于1707年,逝于1783年。就是说,那个把无穷级数玩得贼溜,写出了数学史上最多论文的大神,一辈子都没有接触过绝对值。而另外一位大神,“数学王子”高斯,年代稍微晚一些,生于1777年,逝于1855年,比照这些年份可以看出来,绝对值算是一个出现得非常晚的数学概念了。

魏尔斯特拉斯(Weierstrass,1815-1897),在微积分的严密化进程中做出了基础性的贡献
2
到了高中之后,我们又学习到了一个全新的数学对象——向量。向量最通俗的几何解释就是带有箭头的线段,它既有长度,也有方向。向量的长度我们一般称之为模长,用符号|v|来表示。

流体力学中的向量场
进而我们把向量放到直角坐标系里边来研究,把每一个向量的起点都平移到坐标原点,于是就可以用它的终点坐标来表示一个向量。

进而根据勾股定理,我们可以得到一个向量模长的公式:

同样道理,我们可以研究三维向量

以及三维向量的模长

学到这里,估计很多小伙伴们心里就会犯嘀咕了,为什么表示向量模长的符号和初中讲的绝对值的符号是一样的呢?
我相信,聪明的小伙伴们自己心里已经有答案了。
是的,我们前面已经讲过,从几何图形上看,绝对值表示的就是距离,而且是到原点的距离。那么一个向量的模长,不就等于它的终点到原点的距离吗,只不过现在这个点不是在数轴上了,而是在二维平面中或者三维空间中。所以向量的 模长其实就是绝对值的意思 ,因此我们拿同样的符号来表示。于是, 绝对值就相当于距离 这个观念再一次得到了印证。
不仅如此,向量模长所满足的性质跟数的绝对值所满足的性质几乎是一模一样的:

第(3)个式子我们称之为向量不等式或三角不等式,其本质就是 三角形的两边之和大于第三边 ,这些都是很容易理解的。
相比于绝对值,向量的模长这一概念出现的时间就更晚了,它是由数学家甘斯在1905年提出的。
3
在高中我们还重点研究了另外一个概念——复数。复数的引入可以说是数学史上一个开天辟地的事件,它打破了人们认为的运算必须要有意义这一传统观念,对代数学的发展产生了深远影响。
所谓复数,就是形如a+bi这种形式的数,其中a和b都是实数,i为虚数单位,通俗地讲就是-1开平方。实数和虚数都是复数的特例。

数学王子高斯,在复数的发展史上作出了巨大贡献
同样为了研究的方便,我们将复数表示在平面直角坐标系中。

当然这个平面直角坐标系我们更专业的*法讲**叫做复平面,横轴叫做实轴,纵轴叫做虚轴。于是复平面上的点就表示一个复数,(a,b)这个点表示的就是a+bi。
复数的坐标表示跟向量非常的相似,我们同样可以定义复数的模长,即 该点到坐标原点的距离。

同样的符号又一次出现了!我们又一次用绝对值的符号来表示距离。所以写到这里,小伙伴们应该已经明白绝对值究竟是个什么东西了。 实数的绝对值,向量的模长,复数的模长,三者从本质上讲都是一样的。
不出意外地,复数的模长也满足下面三个性质,其中z和w都表示复数。

其中第(1)条和第(3)条比较简单,第(2)条的证明比较复杂,需要使用复数的极坐标表示,即把一个复数写成模与辐角的形式来计算。
其实,魏尔斯特拉斯当初在发明绝对值的时候,已经意识到了这一点。他自己就曾说过: 复数的模实际上就相当于它的绝对值 。由此可见,魏尔斯特拉斯发明绝对值这个概念,就是从距离的角度来考虑的。
4
写到这里,故事似乎就应该结束了,我们非常成功地用一个概念“绝对值”,把数的距离,向量的模长,复数的模长这三个彼此不同的对象统一于同一个框架之下。
但是!人类的数学已经发展了2000多年,所研究的内容包罗万象,只有上面的三个东西才有“绝对值”吗?当然不是。
进入20世纪以来,数学逐渐从研究具体的概念对象,转为研究抽象的形式对象,从而逐渐走上了抽象化与公理化的道路。

德国数学家希尔伯特(Hilbert),20实际数学发展的指明灯
相信这句话读起来令人费解,我来通俗的解释一下。数学里面有很多不同的概念或研究对象,而其中某几个研究对象它们具有相同的特征。数学家们就把这些相同的特征一条条都提取出来,把他们重新定义为一个新的、独立的研究对象,然后就专门来研究这个新的对象,这一条条的特征就称为这个对象所满足的公理。
本文所讲的绝对值,就是一个非常典型的例子。通过上文的回顾我们发现,数的绝对值,向量的模长,复数的模长,本来是三个不同的研究对象,但是他们之间具有相同的特征,即下述三条

这一点我们上面已经反复强调过了。
那么我们就假设有一个东西,它满足上面三条性质,那么我们就可以把这个东西定义为一个新的研究对象。而数学家们还真的就这么干了,他们管这个新的研究对象叫“范数”(norm),因为这个东西的思想起源于绝对值,但同时又比绝对值高级,所以数学家们又发明了一个新的符号来表示范数:||a||

我们来看一下范数的具体定义:首先有一个线性空间,简单的理解, 线性空间就是一个集合,并且里面的元素可以做加减法运算和数乘运算。 比如所有的实数组成的集合,所有的向量组成的集合,都是线性空间。
对于线性空间中的每一个元素x,我们都让它对应一个数, 记为||x||,于是集合中的每一个元素都对应一个数。如果每个元素对应的数满足如下三条性质:

我们就把这个数称为x的范数,这个集合就称为赋 范 线性空间。字面意思就是就是赋予了范数的线性空间。
因此对于一个线性空间,只要我们能找到上面每个元素对应的数,让它满足这三条性质,那么它就可以称之为一个范数。可以看出,上文讲到的数绝对值,向量模长,复数模长,都是满足这三条性质的,所以它们都是某种特殊的范数。
同样,并不是只有上面三个才能成为范数。可以很多其它的东西也满足上面三个条件。因此对于其它的数学对象,我们也可以有范数。甚至于,对于同一种数学对象,我们可以有好几套不同的范数,下面我们就来举几个例子。
5
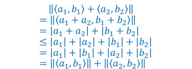
就拿我们熟悉的二维向量举例子,我们已经知道,向量的模长构成一种范数。我们来寻找另外一套范数,比如我可以让每一个向量对应这样一个数:

这里后面两个都是正常的绝对值。比如
||〈2,-3〉|| = 5
我们来检验一下这样规定的东西是不是满足上面三条性质:第一

第二

第三

虽然计算过程复杂,但是可以看出来我们新规定的这个东西非常好地满足这三条,于是它就可以称之为向量的一个范数。
这个例子说明,同样的东西可以有不同的范数。但是它仍然只是向量的范数,与之类似的,我们还可以定义矩阵的范数。
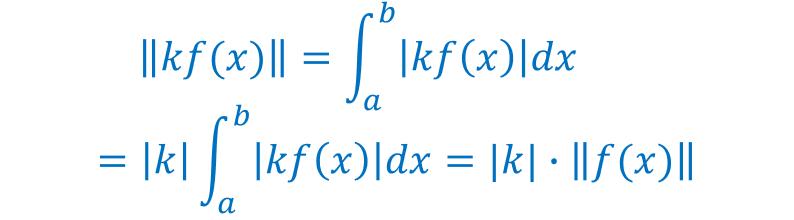
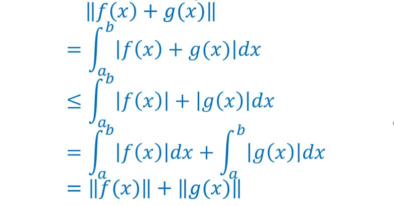
很多数学对象都可以定义范数,再举一个例子,我可以对一个函数来定义范数。假设集合是由所有在闭区间[a,b]上连续的函数组成的。我们来规定每一个函数对应到它绝对值的定积分上:

这里要牢记: 一个函数的定积分就是一个数 ,第一

第二

第三

好了,经过这样一番证明,我们发现,这样定义出来的数确实也是一个范数。
6
可以想见,类似的例子还有很多很多,比如我们还可以定义一个数列的范数。当然有的小伙伴们会问,这样做有什么用?其实我们定义了范数之后,就可以专门来研究范数这个东西本身,而不必再考虑它的原始素材——绝对值。而很多数学研究对象它们之间的关系都可以归结为范数的关系,比如内积,收敛等等性质。因此我们把范数研究清楚了,就可以应用到非常广泛的数学对象上。
从这个例子也可以初步窥探一下20世纪数学的面貌,小伙伴们也可以来领略一下公理化方法的魅力。

事实上,这一方法是经历了漫长的过程才逐渐形成的。1910年,匈牙利数学家里斯(Riesz)在研究积分方程导出的内积空间时,引入了范数这一概念。但是他当时研究的范数还没上升到公理化阶段,还只是一类特殊的范数。到1922年,波兰著名数学家巴拿赫(Banach)才提出了公理化的方法,用上面我们讲过的三条公理来定义范数,并随之提出了赋范线性空间的概念。而完备的赋范线性空间,我们则称之为巴拿赫空间。以此为基础,他在1932年出版了数学史上的重要作品《线性算子理论》,也由于这一贡献,被人们看作是泛函分析的主要创始人。