

不同属性值下的标准VIKOR方法代码实现
Standard VIKOR method code implementation under different attribute values

分享兴趣,传播快乐,
增长见闻,留下美好!
亲爱的您,这里是LearningYard学苑。
今天小编为大家带来的主题是
MATLAB学习——三角模糊数,
欢迎您的用心访问,
本期推文阅读时长大约5分钟,
请您耐心阅读。
Share interest, spread happiness,
Increase knowledge and leave good news!
Dear you, this is LearningYard Academy.
Today, the theme I bring to you is
MATLAB learning - triangular fuzzy numbers,
Welcome your visit with heart,
This tweet is about 5 minutes long to read.
Please read with patience.
“
上周我们进行三角模糊数基本概念的学习,今日小编带大家学习其详细代码的部分编写吧!
Last week, we learned the basic concepts of triangular fuzzy numbers. Today, Xiaobian will take you to learn the part of the detailed code!
“

首先我们进行4X5的权重已知、属性值为三角模糊数的决策矩阵。

之后按指标类型进行排列,效益性指标在前,成本型指标在后。找到第几列开始为成本型指标。

我们也可以就此测量原初矩阵的尺寸:


✓
决策指标标准化1/2
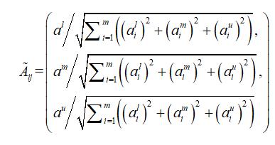
根据标准化公式对数据进行规范化处理。
首先是规范化效益型指标, 把它们每个隶属度单独提出来:

由于是(end+1)的向量形式,因此再把它们编码成矩阵:

之后我们就得到了效益型指标提取结果:

我们通过下列公式编写效益型指标标准化代码:

之后将行向量转化为矩阵,即可得到标准化后效益型指标各隶属度结果:

将三角模糊数的各个隶属度进行合并,生成cell元胞数组:

将行向量形式的元胞数组变为cell矩阵形式:

同理,对成本型指标进行编码,完成标准化。并将效益性指标矩阵与成本型指标矩阵进行合并,得到标准化后的矩阵:


今天的分享就到这里了。
如果您对今天的文章有独特的想法,
欢迎给我们留言,让我们相约明天,
祝您今天过得开心快乐!
That's it for today's sharing.
If you have a unique idea for today's article,
Welcome to leave us a message, let us meet tomorrow,
I wish you a great day today!