2.4 反双曲函数与反三角函数
双曲函数的定义式可以化成关于 的二次方程,然后可以把它们的反函数解出来:


解双曲正弦反函数过程:

【练习】试解双曲余弦反函数。
这里的ar的意思不是弧(arc),而是面积(area)。sinh x是奇函数(在高中数学中应用广泛,大家可以尝试证明),因此它的反函数也是奇函数。cosh x是偶函数,因此它的反函数前面有±。
反三角函数可以表示成同样的形式(在合适的值域下):


【练习】证明
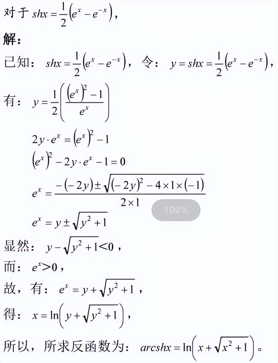
2.4 反双曲函数与反三角函数
双曲函数的定义式可以化成关于 的二次方程,然后可以把它们的反函数解出来:


解双曲正弦反函数过程:

【练习】试解双曲余弦反函数。
这里的ar的意思不是弧(arc),而是面积(area)。sinh x是奇函数(在高中数学中应用广泛,大家可以尝试证明),因此它的反函数也是奇函数。cosh x是偶函数,因此它的反函数前面有±。
反三角函数可以表示成同样的形式(在合适的值域下):


【练习】证明