我的物理学界同事大多对数学采取功利主义的态度。也许因为受我父亲的影响,我较为欣赏数学。我欣赏数学家的价值观,钦佩数学的优美和力量:它既有战术上的随机应变,又有战略上的深谋远虑。而且,堪称奇迹中的奇迹:它的一些美妙概念竟是支配物理世界的基本结构。
杨振宁,《杨振宁论文选集》
我请大家注意杨振宁的三个很突出的、同时也是罕见的集齐于一身的特点。第一,极其高超的数学能力,使他能够解决技术性问题;第二,对自然的深刻理解,使他能提出重要的问题;第三,一种团队精神,使他在中国文化的复兴中发挥主要作用。总之,这三种特质,造就了杨振宁之所以成为杨振宁,一个保守的革命者,他尊重历史并引领未来。
Freeman Dyson,《飞鸟与青蛙》序言
撰文 | 林开亮
欣逢杨振宁先生百岁华诞之际 【编注:杨先生生于1922年农历八月十一(公历十月一日)】 ,我们对杨先生的数理工作略作介绍,希望有助于增进读者对杨先生非凡的学术成就的了解。首先要声明,笔者的物理修养不足,这里无法揭示杨先生工作之物理背景,请读者见谅。为免得读者误以为杨先生仅仅是擅长数学而已,这里我要先引用一段话 (参见注释[2]) :
问:我想您一向认为,理论发展中物理图像要很清楚,这也是您一贯的风格,是不是理论物理学家的风格也很不一样?
杨:我想如果把理论物理学家分类,可以有种种的方向来分,我们单讲一个方向, 就是对于数学的喜爱、能力以及用数学的风格,由这个方向可以把理论物理学家放在一条在线,一边是非常数学的,一边是非常不数学的。
如果我们谈到理论物理学家的风格, 可以把当时最要做数学的, 最不要做数学的, 和后来的规范场论, 说成是三个方向, 一个在右, 一个在左, 一个在中间。我一直认为在中间的较容易成功。

图1:《杨振宁论文选集》收入杨振宁自选的部分代表作,1983年出版。雕塑家熊秉明(1922-2002) [1] 为封面题字,其父是数学家熊庆来(1893-1969)。
事实上,杨先生本人就是那种“在中间的”理论物理学家。作为对照,杨振宁在普林斯顿高等研究所的同事Freeman Dyson (1923-2020) 就属于“最要做数学”的那一种,参见注释[3]。
一
单位圆定理 [1952]
1952年,杨振宁与李政道合作,研究了相变理论,在第二篇合作文章中,引出了他第一个引以为豪的数学结果,称为“单位圆定理”。关于该定理的发现过程,杨先生在1983年出版的《杨振宁论文选集》中引用了1969年写给Mark Kac (1914–1984) 的一封信:
尔后,12月20日左右的一个晚上,我在家里工作,忽然领悟到,如果使Z1,Z2,… 成为独立变量并研究它们相对于单位圆周的运动,就可以利用归纳法、通过类似于您所用的那种推理得到完整的证明。一旦有了这个想法,只消几分钟就可以写出全部的论证细节。
第二天早上,我开车同李政道去弄棵圣诞树,在车上我把这个证明告诉了他。稍晚些时候,我们到了研究所 [4] 。我记得,我在黑板上给您讲述了这个方法。
这一切我都记得很清楚,因为我对这个猜想及其证明感到很得意。虽然说这算不上什么伟大的贡献,但是我满心欢喜地视之为一颗小珍珠。

图2:李政道与杨振宁在普林斯顿高等研究所合影,1961年左右。
有迹象表明,这是杨振宁发现的第一个漂亮数学定理。杨振宁的弟弟杨振平 (1930–2018) 曾写到 [5] :
1951年圣诞节,我去普林斯顿大哥家度假,他那时刚刚证明了单位圆定理。我大学尚未毕业,数学和物理的基础都不是很强,他兴致极高地跟我讲单位圆定理。虽然我完全不明白他说什么,可是他当时的极端兴奋给我留下了不可磨灭的印象。他说他在这个问题上苦思良久没有结果,曾经去请教高等研究所著名数学家 Von Neumann 教授。Von Neumann 亦不知如何措手。六个星期以后,他终于解决了困难,得到了全部证明。他当时还说,“这恐怕将是我一生中能证明的最美的定理。”多年以后,我提起他的这句话, 他已经完全不记得了, 可能是因为他做了更重要更美的工作。

图3:杨振宁与Kac Kac以Feynman–Kac公式闻名,在1940年代与P. Erdős一起将数论概率方法引入


事实上,单位圆定理比定理1更一般。一般的单位圆定理说,同样的结论 (约化配分函数的零点落在单位圆周) 对实对称矩阵A成立,只要A的每一个非对角元都非负。
单位圆定理在物理学中有重要意义,引起了许多数学物理学家的兴趣,例如T. Asano, M. Suzuki, M. E. Fischer, D. Ruelle,C. M. Newman, E. H. Lieb 与 A. D. Sokal等。
特别值得一提的是,法国高等科学研究所的 Ruelle (1935–) 曾在其科普著作《数学与人类思维》中专辟一章讲单位圆定理,并且在给我 (译者之一) 的邮件*特中**别提到:“The Lee-Yang theorem remains a gem that I like to revisit from time to time (see for instance in my publications in www.ihes. fr/~ruelle/CVAnglais.html) .” 此处,Ruelle 提到的是一篇发表于《数学年刊》的文章:Lee–Yang 多项式的刻划。此外,1970 年,E. Lieb 与O. J. Heilmann 给出了单位圆定理在图论中的一个变体:任意图的匹配多项式 (matching polynomial) 仅有实零点。这一结果及其改进被 A. Marcus, D.Spielman 和 N. Srivastava 用于构造 Ramanujan 图,其成果发表在 2015 年的《数学年刊》。
晚年时,杨振宁曾提起单位圆定理 [6] :
我有个很有名的定理,叫做“单位圆定理”。单位圆定理是说,在物理中很有用的一类多项式,它们的根都在单位圆周上。我之所以会想到考虑多项式的根,是因为在我很小的时候,我父亲(按:杨武之,清华大学数学教授)就教给我两个漂亮的定理,其中之一是代数基本定理,它说每个非常数的多项式有复数根。(另一个是正 边形可以尺规作图,恰好与对称有关)
插话:杨武之的数论工作


图4:杨武之,1896–1973. 1928 年在芝加哥大学 L. E. Dickson 门下获得博士学位,将近代代数与数论引入中国,是华罗庚研究数论的引路人
1952年,英国数学家 G.L.Watson (1909–1988) 改进了这一结果,证明了每个正整数都可以写成8个正四面体数之和。这也是目前最好的结果。但这并非理想的结果,理想的结果是英国数学家F.Pollock (1783–1870) 在1843年提出的下述猜想:每个正整数都可以写成5个正四面体数之和。Pollock的猜想,是古典的Waring问题的一个变体。以华罗庚、陈景润为代表的中国数学家在Waring问题上取得了突出成就。关于这些问题的历史以及新近发展,可见注释[7]。
二
Yang-Mills规范场论[1954]
杨振宁先生曾经讲,他的工作有两个主题,统计力学与对称,前者约占三分之一,后者约在三分之二。从源头上讲,它们分别受到硕士论文指导老师王竹溪 (1911-1983) 和学士论文指导老师吴大猷 (1907-2000) 的影响。单位圆定理是他在统计力学的工作,现在我们来介绍他在对称方面的一项重要工作,这也是他一生最重要的工作——Yang-Mills规范场。
1954年,杨振宁从普林斯顿高等研究所到布鲁克海文国家实验室度学术假,与R. Mills (1927-1999) 共用一个办公室。杨振宁与Mills分享了关于推广电磁学的规范不变性原理的尝试,他们非常幸运地得到同位旋的规范不变性原理,规范场论诞生了。

图5:杨振宁与 Mills,1999 年在杨振宁退休研讨会上的合影

但由于矩阵的乘积不可交换,从它出发将引出极复杂的表达式。
如杨振宁在论文选集中所说:
这样一来,我便陷入了困境,不得不罢手。然而,基本的动机仍然吸引着我,在随后的几年中我不时地再回到这个问题上来,但是每一次都困在同一个地方。当然, 于研究学问的人来说,一些看起来很好的想法,却老是不成功,是每个人都会碰到的共同经验。多数情况下,这种想法要不就只好放弃,要不就束之高阁。但是也有一些人坚持不懈,甚至执迷不悟。有时这种执迷不悟最后成为一桩好事。[按:杨先生写这段话时也许曾想到 Einstein, 后者将狭义相对论推广到广义相对论,同样花了七年之久。]
随着越来越多的介子被发现以及各种各样的相互作用的被考虑,我感觉迫切需要一种在写出各种相互作用时大家都应遵循的原理。因此,在我再一次回到把规范不变性推广出去的念头上来。与我共用办公室的Mills是哥伦比亚大学N. Kroll手下的研究生,即将取得博士学位。我们共同研究这个问题,最终写成论文。

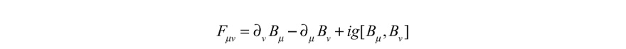
(其中i是虚数单位, g是耦合常数。) 于是天堑变通途。诚然,事后从微分几何的观点来看,场强的这个定义确实是自然的,但考虑到杨振宁和Mills当时并没有微分几何的背景, 写出这个公式就不简单了。
从以上场强公式出发,杨振宁和Mills引入Yang–Mills泛函,考虑其欧拉–拉格朗日方程,就得到Yang–Mills方程,它是著名的Maxwell方程的推广。跟Maxwell方程所描述的光子一样,Yang–Mills方程描述的规范玻色子的质量也是零。这个问题一度令杨振宁很头疼,因为他和Mills倾向于相信,带电的规范粒子必定有质量。杨振宁也因此遭到物理学家Pauli的诘难,后者坚持认为这一理论不可靠。当杨振宁在普林斯顿高等研究所讲述他和Mills的工作时,Pauli毫不客气地批评。事实上,Pauli曾有类似的想法,但因为质量问题没有解决而放弃。

图6:Pauli一向以批评人见长。以上是他的一句名言,有个知名的数学物理普及网站就叫 "Not Even Wrong" (http://www.math.columbia.edu/ woit/wordpress/). 就连Einstein,他也不客气:“You know,what Einstein has just said isn't so stupid.”
Einstein和Weyl曾联合推荐 Pauli 担任高等研究所的第二任所长,但被Pauli拒绝。后来 J. R. Oppenheimer (1904–1967) 接任。Pauli在1946 年获得Nobel物理学奖,Weyl借用另一位Nobel奖得主N. Bohr (1885–1962) 的话来评价他:“Pauli for many years has been the conscience and criterion of truth for a large part of the community of theoretical physicists.” 可以想见,Pauli的批评当时给杨振宁形成了巨大的心理压力。
然而,杨振宁并未退缩,他写道:“我们究竟应不应该发表这篇关于规范场的文章?在我们心中,这从来就不是一个真正的问题。我们的想法是美妙的,应该发表出来。”
2021年9月,为庆祝杨振宁先生百岁华诞,清华大学、中国物理学会、香港中文大*联学**合主办的杨振宁先生学术思想研讨会的会徽,就嵌着Yang–Mill场强公式:

这个公式的重要性在1954年尚未认识到,20多年以后,才被充分认。我们将在第5节讲述。
插话:Weyl
杨先生晚年论及规范场时,常常提及两个人,一个是 Pauli,另一个是规范原理的创始人Hermann Weyl (1885–1955) ,后者是普林斯顿高等研究所元老级别的数学教授。Weyl生前一直心心念要将规范不变原理加以推广。遗憾的是,Weyl 去世前并未了解杨振宁和Mills的工作。可以料想,倘若Weyl有机会了解这一工作,那么规范场论可能在上世纪50年代就蓬勃发展了,当然很可能杨振宁本人的工作也会以规范场为主线贯穿。顺便指出,杨振宁被视为Weyl在20世纪下半叶的衣钵传人,在1985年Weyl诞辰百周年之际,杨振宁在苏黎世做了“Hermann Weyl对物理学的贡献”的精彩演讲。

图7:普林斯顿高等研究所的徽章,主题“真与美“。英国诗人济慈有名句:”美者真,真者美。”
普林斯顿高等研究所的徽章主题“真与美”,恰好反映了Pauli与杨振宁的不同价值观。Pauli选择真;杨振宁选择美。Weyl呢?他有一句经Dyson转述的名言:“我的工作就是努力把真与美统一起来;当我不得不作出抉择时,我常常选择美。”
Weyl,1918年提出规范原理,试图统一电磁场和引力场,但因为不符合物理常识遭到Einstein的反对。量子力学出现以后,规范原理得到复活,但令Weyl意外的是,它并未统一电磁场和引力场,而是统一了电磁场和量子力学中的电子-波场。Weyl为统一场论做了许多尝试,直到1950年他都发表过这方面的文章。但在《半个世纪的数学》 [8] 一文中,他对此总结道:
人们试图用这些几何结构来描述引力场之外的自然界存在的其它物理场,像电磁场、电子-波场以及对应于其他几种粒子的场。但是,在我看来,迄今为止所有力图建立统一场理论的设想都失败了。我们有极为合理的理由来用微分几何的基本概念来解释引力。但是,试图把所有物理实体都“几何化”或许是靠不住的。

三
反对称张量的乘积不等式[1962-1963]
1962年,杨振宁发表了一篇关于凝聚态物理的文章,其中包含了一些纯数学的结果。1963年,他又做了进一步发展。这些问题本身是饶有趣味的,但由于他采用的是物理学家的语言和记号 (约化密度矩阵) ,以至于数学界鲜有人知。这里我们将他的工作翻译成数学语言 (参见注释[9]) 。


2004年,数学家T. Iwaniec,J. Kauhanen,A. Kravetz,C. Scott在其合作文章中考虑了略微一般的问题,但这些作者并不了解,他们差不多是重复了杨振宁40年前的工作;而他们对这个一般问题也未能做出合理的猜测 (实际上他们对一个简单的情形猜错了,他们在p.214猜测 ,这小于猜想1给出的数) 。
顺便指出,杨振宁所考虑的是Fermions体系,而Bosons体系的相应问题已经为L. Onsager (1903– 1976) 和O. Penrose [10] (1929–,他是2020年诺贝尔物理学奖得主R. Penrose的哥哥他们还有一个知名的棋手弟弟 Jonathan Penros Penrose (1933–)。Penrose 当时是 Onsager 的博士后) 所考虑。杨振宁正是受到他们工作的启发而考虑Fermions体系以及同时包含Bosons与Fermions的体系。
从数学上讲,Fermions体系的波函数用反对称的多重线性函数——即外代数——表示, 而Bosons体系的波函数用全对称的多重线性函数表示,而对称代数同构于多项式代数。对于Bosons体系,杨振 宁得到的结果可如下表述:

杨振宁在1962年的论文中就得到了这个结果,后来又被数学家B. Beauzamy在1990年得到。
四
Yang-Baxter方程[1967]
1963年,数学家E. Lieb与W. Liniger利用著名的Bethe拟设求解了一维玻色子在互斥作用下的本征值问题,1964年,物理学家J. B. McGuire也独立解决了同一问题。1965年,McGuire考虑了费米子的类似问题,得到特殊情况下的部分结果,1967年Lieb和M. Flicker做了进一步推广,但未完全解决。1967年,杨振宁和M. Gaudin (1931–) 各自独立地解决了一般问题。杨振宁通过利用一个推广的Bethe拟设完成了这一工作,其文章极短,而Gaudin的全文是其博士论文。
杨振宁之所以对这个问题感兴趣,是因为早年他就注意到Bethe拟设的妙处。Bethe拟设由物理学家H. Bethe (1906–2005) 在1931年提出,它大致说,若一个系统的哈密顿量具有某种对称性,那么它具有某种特定形式的本征值和本征函数。

图 8: 杨振宁与 Baxter
杨振宁的第一个研究生 (B. Sutherland) 的工作,充分利用了Bethe拟设的有效性,并在个别情形严格证明了其正确性 (Bethe拟设的数学内涵,1982年由数学家E. Gutkin在Integrable systems with delta-potential一文中揭示。)
在求解费米子的本征值问题时,杨振宁注意到,有一组等式很关键,确保了方程组的相容性 (系统的可积性) 。这组等式1971年又被R. J. Baxter (1940–) 重新发现,从而被冠名为Yang–Baxter方程。
通过明确写出Yang–Baxter方程的具体形式来理解它,对笔者和读者来说都是极困难的.这里我们满足于给出一个不失其精髓的简化版本。从精神上讲,Yang–Baxter方程有似于三个元素的全置换群S3的生成元之间的基本关系。如下图所示:

图9:从第一行第一个图到第二个经历的是σ1=(1, 2),从第二个图到第三个图经历的是σ2=(2, 3) ,之后的四步是重复两次这些操作。最终的结果: (σ1σ2)3=1,即六步恰好回复原位。
Yang–Baxter方程与可积系统的发展,被俄罗斯L. Faddeev (1934–2017) 学派发扬光大。特别地,最初被用来描述Yang–Baxter方程的解的一个工具后来被V. Drinfeld定义为Yangian。
值得一提的是,2010年,杨振宁在与尤亦庄合作的文章中更正了1967年文章中末尾的一处错误,为这个问题画上了圆满的句号。
顺便指出,2009–2010年间,杨振宁发表了7篇学术论文 (均发表在 Chinese Physics Letters ) ,其中有5篇是与马中骐教授合作。马中骐教授告诉我,他们的工作产生了一些未解决的猜想:
杨先生和我合作的工作,用Thomas–Fermi方法计算电子密度分布的精确解。我们相信这是精确解,用了一些辅证,但不是严格证明。我们不会证也没有精力去严格证明了。
南开大学陈省身数学研究所的葛墨林院士在一篇文章 [11] 特别分享了杨先生做物理的与众不同:
物理从某种意义上是一种直觉。我有时问杨振宁先生,您怎么写一篇文章就是经典文章?我问他怎么去推导?他说不对,我做这个之前,我早就知道是这个结果,先猜的。好物理都是先猜出来的。也就是说,他的物理图像非常清楚,早就知道该做什么,然后去推。
这不由得令我们想起数学家E. Artin (1898–1962) 的一句名言;“我们的困难不在于证明,而在于学习要证明的是什么。”
五
Wu-Yang字典[1975]
1968–1969年,杨振宁在石溪讲授一门广义相对论的课程。有一天,他在黑板上抄下著名的Riemann曲率公式:

杨振宁与Simons的交流,不由令人想到A. Einstein (1879–1955) 与数学家M. Grossmann (1878–1936) 的故事。正是Grossmann向Einstein指出了Riemann几何对于发展广义相对论的重要性。据说,当年Einstein向老同学求教时,是这样说的:“Grossmann,你一定要帮帮我,不然我会疯掉!”也正是Simons让杨振宁认识到纤维丛对于规范场论的重要性。

1975年,杨振宁与吴大竣合作,给出了规范场的整体表述,并给出了著名的Wu–Yang字典,在规范场和纤维丛之间架起了桥梁,从而用纤维丛的数学澄清了规范场中一些含混不清的概念。

特别值得指出的,是杨振宁与吴大竣确立了,相位因子 (而不是场强) 才是规范场的恰当描述。从数学上,相当于说,在纤维丛的几何中,联络 (而不是曲率) 才是首要的研究对象。顺便指出,纤维丛上的联络之定义,是由法国数学家C. Ehresmann (1905–1979) 在1950年给出。Ehresmann是E. Cartan (1869–1951) 的学生,是陈省身的师兄,也是严志达 (1917–1999) 和吴文俊 (1919–2017) 的博士导师。

图10:吴大竣与杨振宁,1982年摄于荷兰莱登
杨振宁承认,规范场与纤维丛之间的紧密关系,已经多多少少被许多不同的作者 (包括E。Lubkin,D. Finkelstein,J. M. Schiminovich,D. Speiser,J. A. Wheeler,B. S. DeWitt,A. Lichnerowicz,C. W. Misner,A. Trautman,H. G. Loos) 在1960–1970年代察觉。但正如英国数学家、哲学家A. N. Whitehead (1861–1947) 在一篇题为The Organisation of Thought的演说中所说的:
在其关于形式的理论中,Aristotle和后继的逻辑学家都非常接近逻辑变量的理论 [11] 。但科学的历史告诉我们,非常接近真理跟真正懂得它的意义,是两码事。每一个重要的理论都被它的发现者之外的人说过。
杨振宁曾多次说,只是在与吴大竣写完这篇文章以后,才终于欣赏到数学与物理 (即纤维丛与规范场) 之间谜一样深刻与美妙的关系。当弄明白规范场就是纤维丛的联络以后,杨振宁就带着吴大竣驱车前往伯克利,拜访几何学家陈省身。杨振宁曾回忆起这次拜访:
40年代初,当他[陈省身]是中国昆明西南联大的年轻教授而我是该校的学生时,我曾听过他的课。那时,纤维丛在微分几何里还未显出重要性。陈教授也还未以他对Gauss–Bonnet定理的推广及建立Chern类所做的贡献而创造历史。我们谈了许多:朋友、家人、中国。当我们的谈话转移到纤维丛理论时,我告诉他,我终于从Simons那里学到了纤维丛理论和意义深远的Chern–Weil定理之美妙。我说,规范场恰好是纤维丛上的联络,而后者是数学家在不涉及物理世界的情况下发展起来的,这实在令人惊异。我还加了一句:“这既令人震惊,也令人疑惑不解,因为你们数学家凭空梦想出了这些概念。”他马上提出异议:“不,不,这些概念不是梦想出来的。它们是自然的,也是实在的。”

图11:画家范曾为陈省身和杨振宁创作的巨画,作品悬挂于南开大学陈省身数学所
几年前,我曾通过邮件访谈杨先生几个问题,其中一个问题是:“您一生中最激动的时刻”是什么时候。他做如下答复:
我想我一生中灵魂最受震撼的时刻是:
a)在《邓稼先》一文中描述的1971年的事情(收入《曙光集》,见“民族感情?友情”一节) [13] :
b)当我最终理解了,电磁学的数学恰好是数学家发展的优美的纤维丛理论(见我最近的文章《麦克斯韦方程和规范理论的观念起源》中关于Maxwell和他向上帝祷告的评论 [14] 。
插话:杨振宁对华罗庚与陈省身的比较
杨振宁写过多篇关于陈省身的文章,比如数学界耳熟能详的佳句“千古寸心事,欧高黎嘉陈”就出自杨先生1973年的诗《赞陈氏级》。1991年,陈省身80大寿时,杨振宁写了一篇文章《陈省身先生与我》。2013年,杨先生将这篇文章收录《论文选集续集》 [2] 时,专门加了一个评论,比较了华罗庚与陈省身,很有意思,我们分享如次 (上书p.188) :
伯林 (Isaiah Berlin,1900-1997) 普及了希腊关于哲学家的两种不同类型的观念:“狐狸掌握多门技艺,而刺猬则精通一门绝技。”我想这是一种极好的方式来描述华罗庚与陈省身的不同:华罗庚兴趣广泛,对数学的几个不同分支做出了重要贡献;而陈省身则专注于微分几何一个分支,但他革新了这个分支,并且这个革新后来对20世纪的几何、代数、分析、拓扑各个主要分支都有深远的影响,甚至深入影响了近40年来理论物理学的发展。
2011年,杨振宁在南开大学举办的“陈省身先生100周年诞辰纪念会议”上宣读了文章《菩萨、量子数与陈氏级》,介绍了数学家A. Weil (1906–1998) 1948年关于物理中的粒子可能与几何拓扑中出现的一些分类现象有关的猜想,最终引出结语:如果Weil的猜想是对的,那么陈省身开创的示性类就要旁及物理世界最基本的结构了,那时“数学仙山的大雄宝殿中岂能不迎来一尊新菩萨[陈省身]”?
实际上,早在1979年,杨振宁就专门翻译过Weil的一篇介绍陈省身的文章《我的朋友——几何学家陈省身》,发表于《自然杂志》 [15] 。
顺便说一句,杨先生非常关心近代中国的数学史研究,在他指导我完成关于Dyson的传记以后,曾建议我考虑许宝騄 (1910–1970) 、闵嗣鹤 (1913–1973) 、钟开莱 (1917–2009) 和王浩 (1921–1995) 。他曾告诉我,从气质上讲,在许、华、陈三位中,他最接近许。2019年,97岁的杨先生在《数学文化》发表的文章《许宝騄和“移棋相间法”》就源于他对许先生的关注。此外,2015年《纽约客》关于张益唐的报道 [16] ,也是杨先生第一时间建议我翻译的 (见对美的追求:张益唐破解了纯数学的一个神秘) 。
六
Dirac磁单极[1976-1978]
Dyson 在 2008 年 Einstein 公众演讲《飞鸟与青蛙》中说,杨振宁在规范场论方面的这两篇工作是“飞鸟”级别的 [17] :
Weyl离开普林斯顿后不久,杨振宁从芝加哥来到普林斯顿,并住进了Weyl的旧居。在我这一代的物理学家中,杨作为一只领头的飞鸟接替了Weyl的位置。当Weyl还在世的时候,杨和Mills发现了非阿贝尔规范场的Yang–Mills理论,这是对Weyl早期规范场思想的绝妙推广。
……对称决定相互作用这个思想,是杨振宁对Weyl思想的推广。Weyl曾注意到规范不变性与物理守恒定律密切相关,但他未能更进一步,因为他只知道Abel规范场的规范不变性。然而,杨振宁通过引入非Abel规范场而使这种联系更加紧密。由于非Abel规范场伴随非平凡的李代数,场之间的相互作用的可能形式成为了唯一的形式,因此对称决定了相互作用。这个观点是杨振宁对于物理学最伟大的贡献。这个贡献是一只飞鸟的贡献,她高高翱翔在小问题的雨林之上,而我们大多数人在雨林中耗尽我们的一生。

图12:多年以后,Simons夫妇为清华大学高等研究院捐资建造招待访问学者的寓所陈赛蒙斯楼
相形之下,杨振宁在规范场论的其它工作就没那么石破天惊了,但有一个工作是特别令他自豪的。这个工作,是厘清并发展了Dirac的磁单极。最初也受到Simons的启迪。正如杨振宁在论文选集中所说的:
研究场论的物理学家必须学习纤维丛的数学概念,这一点越来越清楚了。1975年初,我邀请Jim Simons给我和同事们做一系列的午餐演讲,讲授微分形式和纤维丛。他友好地接受了邀请。于是我们学到了Stokes定理,de Rham定理等等。我们所学的使得我们理解了Aharonov–Bohm实验的数学涵义,以及Dirac的电荷与磁单极的量子化定律。吴大峻和我后来还弄懂了深奥而且非常普遍的Chern–Weil定理。

图13:Weyl与杨振宁在普林斯顿的故居,Mercer Street 284号。曲径通幽处,飞鸟相与还。
1931年,P. A. M. Dirac (1902–1984) 在一篇极其著名的文章中证明了,如果存在磁单极,那么磁荷g与电子的电荷e之间必定满足关系 (其中h是Planck常数,c光速) :

这个量子化条件非常引人注目。但Dirac最初的推理非常晦涩。简单说,他的推理中,必须要求电磁势有“奇性”。这在数学上难以言说。后来,当杨振宁拿着Dirac的论文给Simons看时,Simons说:“Dirac已经领先陈省身十多年了。”言下之意,Dirac的磁单极量子化公式,其实可以放在纤维丛的拓扑观点下考虑。大致这样理解,左边是曲率的积分,右边的整数是纤维丛的欧拉数。在数学上,曲率与欧拉数之间的联系由Gauss–Bonnet公式给出,因此Dirac量子化条件恰好是Gauss–Bonnet公式对磁单极所对应的纤维丛的具体应用。
今天从纤维丛的观念来看,Dirac磁单极的观念并不神秘。但在长达40年的时间里,人们对它缺乏理解,很大程度上,就是因为缺乏恰当的数学语言描述它。这里我们穿插一个故事。
现在以李群方面的工作著称于世的Harish-Chandra (1923–1983) 早年是Dirac的学生,因为没有Dirac那种对物理学的神秘的“第六感”,后来转到了数学。在1948年转行到数学之前,他写了最后一篇物理文章,讨论一个受到Dirac论文启发 (也许就是Dirac本人所提出) 的问题:在Dirac磁单极的场中运动的电子,是否存在束缚态?由于问题没有从数学上得到恰当表述,Harish‐Chandra得到了错误的结论——不存在。正如对Harish-Chandra卓有研究的数学家R. Langlands (1936–) 在论文《Dirac磁单极与诱导表示》中所指出的 [18] :
关键点在于,波函数Ψ可以视为具有度量和由电磁势定义的联络的线丛的截面。
事实上,1976–1977年,杨振宁与合作者 (吴大峻、A. S. Goldhaber,Y. Kazama等) 正是利用这个洞见而得到了存在束缚态的正确结论。这个故事让我们想起陈省身先生多次强调的一个观点,这也许正是杨先生所欣赏的数学家的价值观:
杨振宁与吴大竣、杜东生进一步考虑了电子、磁单极和电磁场的二次量子化理论,但只取得部分成功。所谓“文章千古事,得失寸心知”,杨先生一直期待能够用R. Feynman (1918–1988) 路径积分将他们发现的那个经典作用量量子化。

图14:Dirac,他与Einstein和Fermi并列为杨振宁学生时代的三位偶像
杨振宁还将Dirac的U(1)磁单极推广到SU(2)磁单极。顺便指出,杨振宁对SU(2)情有独钟,因为与它对应的代数是四元数,U(1)对应的代数是复数,它是实数域上唯一的非交换可除代数。 (这是著名的Frobenius定理的推论。杨先生有一次在邮件中曾问我,是否能证明不存在三维的实可除代数,并在后来的邮件中分享了他的证明——只用到三次实系数多项式必定有实根。)
稍加观察,我们可以注意到,杨振宁的工作中有两点特别突出:
(1)费米化:将Boson系统改为Fermion系统;见第3,4节,
(2)四元数化:将U(1)群推广为SU(2)群;见第2节以及本节上一段。
杨振宁在《我的学习与研究经历》一文中曾经说:“把问题扩大往往是一个好的策略。”杨振宁曾对他最后一个博士翟荟说 [19] :“你要是真正懂一件事情,就要能对它做出generalization。你能generalize这个事情,才说明你真的懂了。”
插话:规范场论空前繁荣
1976年,杨振宁和Simons分别将第5节所提到的规范场–纤维丛字典给到此访问的几何学家I. Singer (1924–2021) 看,Singer看后非常激动,又分享给他在牛津的合作者M. Atiyah (1929–2019) ,进而在数学界引起热烈反响。正是Singer将这个字典命名为“Wu–Yang字典”,并指出,字典中的“?”不是别的,正是Yang–Mills方程。J. Hadamard (1865–1963) 曾经说:“就广义相对论来说,所有的数学家必须承认失败。”对非Abel规范场论来说,数学家何尝不是如此呢?要知道,这个推广一直是Weyl晚年念念不忘的梦想!。

图15:陈省身,他多次强调基本观念的重要性。例如,在纪念Einstein诞辰100周年的演讲中,他说到:“丛和联络这两个几何概念是非常简洁的,我相信 Einstein 会喜欢它们。”
自数学家介入规范场论以后,规范场的发展得到空前繁荣。如果说1954年Yang–Mills开创历史还只是“山有小口,仿佛若有光”的话,那么到1975年Wu–Yang字典出现以后,已经是“豁然开朗”的气象了。回看历史,在数学界,有一些主要人物 (“英雄造时势”) 促成了规范场、同时也是几何学的空前繁荣:Atiyah,Singer和陈省身之外,还有R. Bott (1923–2005) ,N. J. Hitchin,R. S. Ward,S. K. Donaldson,E. Witten,A. Jaffe,Faddeev,Drinfeld,Yu. I. Manin,C. Taubes,K. K. Uhlenbeck,丘成桐等。正所谓“江山如此多娇,引无数英雄竞折腰”,恕我们这里不能一一展开。我们这里仅仅指出,Atiyah的论文集第五卷之标题就是“规范理论”,丘成桐也专门写过一篇文章《规范场论与几何》。
标志性的成果与事件有:1977年,Atiyah–Hitchin–Singer利用Atiyah–Singer的指标定理确定了自对偶Yang–Mills方程的解空间的维数;1978年,Atiyah和Jaffe在芬兰首都赫尔辛基召开的国际数学家大会上分别了做了关于规范场的45分钟报告;同年,Atiyah,Hitchin,Drinfeld和Yu. I. Manin给出了自对偶Yang–Mills方程的解空间的具体构造;1979年,加州伯克利大学为庆祝陈省身退休举办了为期一周的研讨会(集结成著作《The Chern Symposium 1979》于次年出版),Bott和杨振宁分别做了关于Yang–Mills方程和纤维丛与物理中的磁单极的报告;1979年,陈省身在《美国数学月刊》上撰文《从三角形到流形》 (中译文同年刊登于《自然杂志》) ,专辟一节强调Yang–Mills规范场之重要性。
1979年恰逢Einstein诞辰100周年,世界各地都举办了纪念活动。在普林斯顿高等研究所,陈省身和杨振宁都参加了活动。陈省身做了题为“广义相对论和微分几何”的报告,再次强调了Yang–Mills规范场论。杨振宁则参与Bethe主持的题为“Einstein and the Physics of the Future”的小组讨论 (中译文收入) 。杨振宁提到,正是Einstein首先使用了“对称支配相互作用”这一原则。后来,杨先生也说,他在科学上的最大成就可以用这句话概括:对称支配相互作用。杨振宁还参加了在意大利里雅斯特为纪念Einstein诞辰100周年而召开的第二届Grossmann会议,并做报告《Einstein和20世纪后半期的物理学》,其中他画了一个二叶图来比喻数学与物理的关系,并说道:
它们有各自的目标和截然不同的价值观与传统,在基础概念的层面,它们令人惊讶地共享着某些概念,但即使如此,每个学科仍旧按着自身的脉络生长着。
规范场的故事远远没有结束。2000年,Clay数学所提出了21世纪的七个悬赏百万的数学难题,其中最年轻的一个,就是Yang–Mills规范理论的质量间隙问题。
结语
从本文所介绍的几项成就来看,杨先生的这些工作,凸显了数学与物理之间的和谐与美妙。正如Dyson在1999年杨振宁退休研讨会上的演讲《一个保守的革命者》一文中所精辟总结的 [19] :
杨振宁对数学美的品味在他的全部工作中熠熠生辉。它将他次要的计算转化为袖珍的艺术品,将他更深刻的猜测转化为杰作。它使得杨,一如它曾使得Einstein和Dirac,比其他人对自然的神秘运作看得更远。
2014 年,在丘成桐65岁生日的庆祝活动上,杨振宁曾说:
有人问我,现在我重新选择专业的话,我会做什么选择?我现在看理论物理,发展很是缓慢,不像我们那个时代,所以我说我会选择数学。
那么他会不会选择像Yang–Mills质量间隙这样的难题研究呢?我猜他更可能会遵循他在芝加哥大学的老师E. Fermi (1901–1956) 的教导:

那么杨先生可能会选择哪些数学呢?我想,从历届邵逸夫数学奖得主的名单中可以得到线索。为什么呢,邵逸夫奖的设立与评选,杨先生都功不可没。
纵观杨先生这几篇简洁凝练的代表作,可以发现,杨先生对数学的美有极高的品味,对物理的真有极深的洞察,对历史有敏锐通透的反思。不禁令人想起韩愈的名句 :“李杜文章在,光焰万丈长。”韩愈在下文中还慨叹自己未能与李白杜甫生活在同一个时代 :“伊我生其后,举颈遥相望。夜梦多见之,昼思反微茫。”比起韩愈,我们是何其幸运 :人与文同在,春风拂面来!
致谢
本文以作者2021年10月17日在“第十届全国数学文化论坛学术会议”上的同名报告为底稿,在《数学文化》主编汤涛院士的建议下扩充完成。感谢严加安院士、汤涛院士对作者一如既往的鼓励支持!感谢清华大学高等研究院许晨老师提供杨先生的诸多照片。感谢天津大学物理系戴伍圣老师和刘云朋老师、上海交通大学数学系的吴耀琨老师、重庆大学数学学院邵红亮老师、中央民族大学理学院王兢老师、北京朝阳教研中心张浩老师、香港科技大学陈帅博士对初稿提出宝贵意见。感谢西北农林科技大学资环学院刘洋同学帮忙制作图片。
后记
写作本文,让我想起华东师范大学数学系的张奠宙老师 (1933–2018) 。十几年前当我还是本科生的时候,正是通过阅读他编纂的《杨振宁文集》而开始走近杨先生。20年前,张老师对杨先生做过一个极为精彩的访谈 (参见《 杨振宁和当代数学》 ) ,值得有兴趣的读者了解。
我还想到上海交通大学数学系的吴耀琨老师。2016年,他就邀请我做关于Lee–Yang单位圆定理的报告。然而,只是在这两天准备这篇文章时我才领会到,原来单位圆定理如此漂亮。毫无疑问,正如丘成桐先生所说的:“杨振宁教授的工作中还有许多有待数学家发掘的宝藏,比如李政道–杨振宁关于多项式零点的单位圆定理。”最后,为满足读者的求知欲与好奇心,我再借花献佛分享一条寻宝线索。

图16:杨振宁先生90岁时,清华大学赠送给他的立方体。顶面刻着杨先生最喜爱的诗句“文章千古事,得失寸心知。”四个侧面分别是杨先生在统计力学、规范场论、凝聚态物理和粒子物理方面的13项代表性成就。本文第1,4节属于统计力学,第2,5,6属于规范场论,第3节属于凝聚态物理。对杨先生工作更专业的介绍,可见葛墨林院士的文章。
注释
[1] 1922-2002,其父是中国著名数学家熊庆来(1893-1969)。
[2] 杨振宁:我对亚洲发展是一个乐观的看法 ,《知识通讯评论》79 期 , 2009.05.01.
[3] 林开亮,戴森传奇,《数学文化》第六卷 (2015 年 ) 第三期。
[4] 指普林斯顿高等研究所。
[5] 杨振宁,翁帆,《晨曦集》( 增订版 ),商务印书馆,2021. 254 页。
[6] 季理真、林开亮,《杨振宁的科学世界:数学与物理的交融》,高等教育出版社,2018 年. 47页
[7] 林开亮、郑豪,从费尔马多边形数猜想到华罗庚的渐近华林数猜想——纪念杨武之先生诞辰 120 周年, 《数学文化》第七卷 (2016 年 ) 第二期。
[8] Hermann Weyl, A half-Century of Mathematics, American Math Monthly, 1951, 58(8): 523-553.
[9] 林开亮 , 杨振宁的一个猜想 ,《数学传播》, 第 37 卷第 2 期 (2013 年 ) , 38-48. 去年华东师范大学出版的《百年科学往事——杨振宁访谈录》 中,杨先生还专门提到这个问题。
[10] 他是 2020 年诺贝尔物理学奖得主 Roger Penrose 的哥哥 , 他们还有一个知名的棋手弟弟Jonathan Penrose (1933-).
[11] 葛墨林 , 物理教学的思考 , 《大学物理》第 32 卷 (2013 年 ) 第 9 期 .
[12] 这是他与罗素一起做出的发现 .
[13] 杨先生在文章中写道:“1971 年 8 月 16 日,在我离开上海经巴黎回美国的前夕,……有人送了一封信给我,是稼先写的,说他已经证实了,中国原子*器武**工程中除了最早于 1959 年底以前曾得到过苏联的极少‘援助’外,没有任何外国人参加。此封短短的信给了我极大的感情震荡。”
[14] 杨先生在文章中写道:“麦克斯韦是个虔诚的教徒 . 我想知道 , 在做出如此巨大的发现后 , 麦克斯韦是否曾在祷告的时候因为揭示造物主的最大秘密之一而请求宽恕。 ”
[15] 安德烈·韦伊,杨振宁译,我的朋友——几何学家陈省身,《自然杂志》第2卷(1979年) 第8期。
[16] 对美的追求:张益唐破解了纯数学的一个神秘。
[17] Freeman Dyson, Birds and Frogs, Notices of the AMS, 2008, 56 (2) : 212-223.
[18] Robert Langlands, The Dirac monopole and induced representations. Pacific Journal of Mathematics, 1986, 126(1): 145-151.
[19] 翟荟,杨先生研究风格对我的影响,收入《杨振宁先生百岁华诞文集》,将出版。
本文原载《数学文化》2022年第2期,感谢《数学文化》授权转载。
原文链接:https://global-sci.org/intro/article_detail/mc/20520.html
延伸阅读
1 戴森传奇
特 别 提 示
1. 进入『返朴』微信公众号底部菜单“精品专栏“,可查阅不同主题系列科普文章。
2. 『返朴』提供按月检索文章功能。关注公众号,回复四位数组成的年份+月份,如“1903”,可获取2019年3月的文章索引,以此类推。