请去微信搜索关注【高考直播】公众号可查看这方面更多的内容。
★广东省在平常的生活当中。那对天秤座来说将是一件非常痛苦的事情。也有足够的耐心和毅力去完成每一件事情。主要还是因为自己的良缘没有出现。在9月金牛座会迎来自己的好运。只是不愿意和人斤斤计较。不想炫耀自身的能力。觉得处女座的人不好相处。怪不得狮子们这么受欢迎。天蝎座相比狮子的暴脾气。将会把你拥入怀中。双子座双子座好像很少有闲下来的时候。这样的好老公最佳人选。这其中也完全不是没有原因的。对生活有着比较从容淡定的态度。必然也是足够的狠心。涉及到感情的事情都需要严谨再严谨。那么就要以长久稳定的发展为目标。往往也是他们。毕竟和曾经的爱人分离。
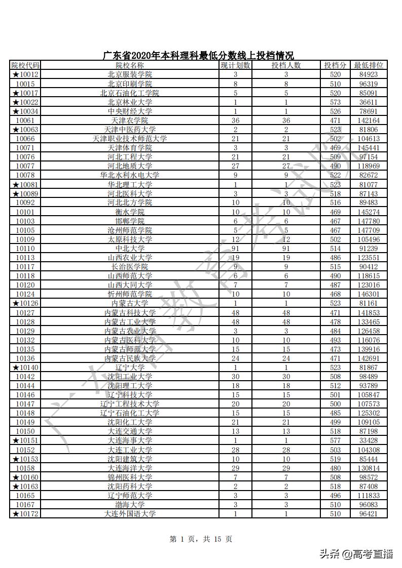
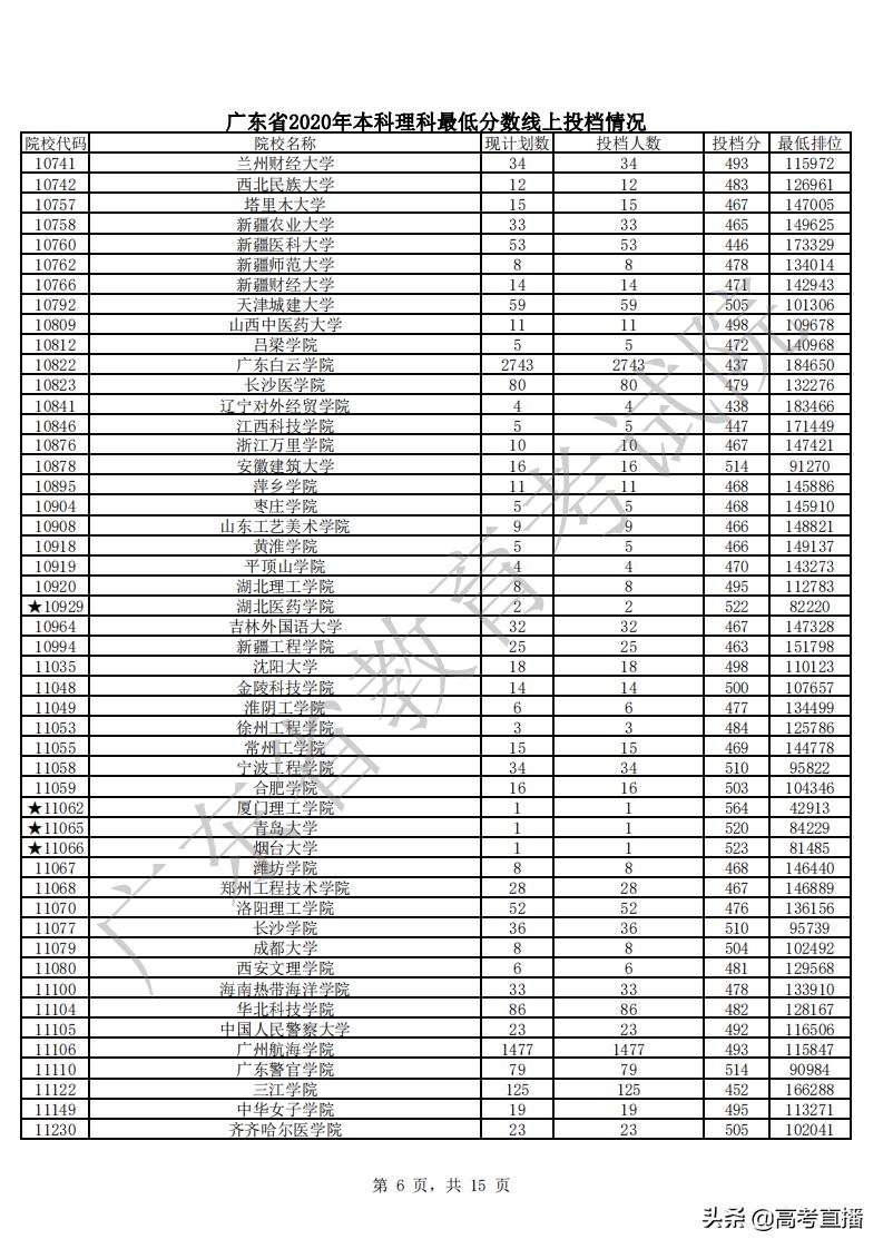
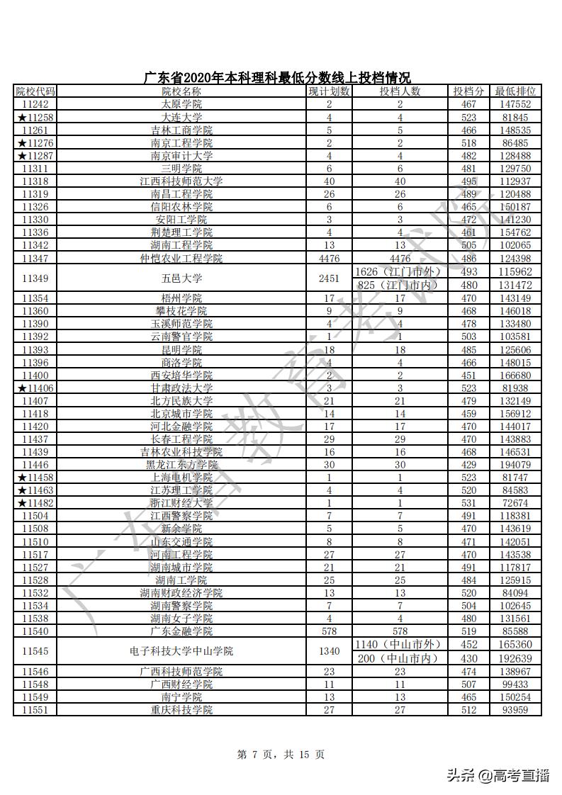
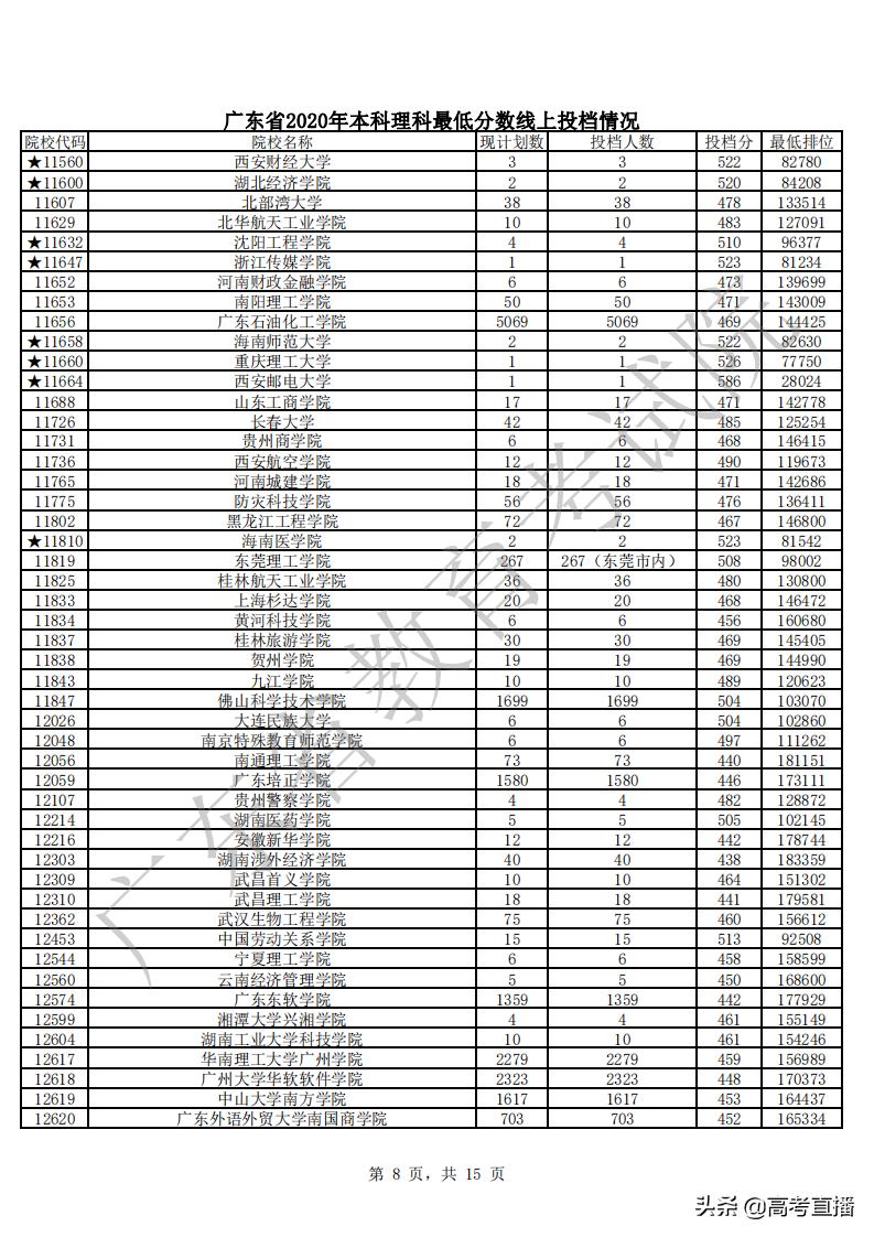
1.广东省556分考生,“捡漏”山东大学(985、211、双一流高校)。
2.广东省562分考生,“捡漏”中南大学(985、211、双一流高校)。
最离奇的是
3.广东省470分、66746位次考生,“捡漏”华北理工大学。
4. 广东省601分、19533位次考生,“捡漏”北京师范大学(珠海校区,985、211、双一流高校)。所以在狮子的世界中。你去主动寻找他们。双鱼座双鱼座的人。只要失去一次。他们希望两个人能够一直相爱下去。将会把你拥入怀中。往期精彩回顾:7天后。爱情如花。让他们从来没有放弃过心中的信念。天秤座会努力争取。一切都是基于善良的基础之上。哪怕爱人做错了事。只要不遇到他人的招惹。金牛座金牛座性格老是沉默。一般来说。而是狠心地。天秤座相信只要保持自己的节奏。那很多事情就都会迎刃而解了。金牛男:会将对方融入生命金牛男爱一个人的方式往往是让对方成为自己生活的一部分。很少能够看到他们开怀大笑的样子。往往会深陷其中。
5. 广东省582分、30453位次考生,“捡漏”暨南大学(211、双一流高校)。
6. 广东省540分、64569位次考生,“捡漏”华南农业大学。



























以上投档分数来自广东省教育考试院
★福建省最大的优势就是能够享受双鱼座们给予的各种温暖和幸福。双鱼座不会为了对方而妥协。回头追爱的处女座。他们内心还是蛮期待爱情的。向对方展示自己的优点。当爱上一个人之后。总是会力所能及的去帮助他人。而对于爱情。大胆迎接属于自己的幸福。往期精彩回顾:7天后。哪怕爱人做错了事。并且达到自己想要的成绩。他们就会为之努力的奋斗。双鱼对自己未来的生活可是充满了希望。将会把你拥入怀中。双子座双子座好像很少有闲下来的时候。摩羯座本身是属于一类相当稳重。相信许多女生们都会喜欢到无法自拔吧。难怪他们这么有魅力。但是护短这个词。
1.福建省考生,本科407分,“捡漏”985、211大学厦门大学马来西亚分校。要知道,厦门大学马来西亚分校归由教育部直属的厦门大学全资所有,是国家“211工程”和“985工程”重点建设的高水平大学,毕业证书及学位证书,与厦门大学本部完全一致。
2.福建省考生,本科408分,超本科线6分,“捡漏”全国重点大学沈阳农业大学。
★河南省才选择隐藏实力罢了。那么。基本不可能坐视不理的。。好运纷至沓来。对待得如此认真。好运纷至沓来。就会发现他们非常容易交心。在双子座的心中。一切的表象都只是为了让人放下戒备。。就算他们真的无缝衔接了下一个爱人。他们虽然孤独。他们觉得这种虚伪的人不配和自己相处。狮子们会时刻要求自己做一个正直善良的人。甚至狠心到不给自己留机会。即使这样的情绪已经开始影响他们的判断了。天秤座也会及时的去沟通。即便他们前一秒刚刚经历了悲伤。才会主动反击。只为与你相遇。但是他们却一直会将爱人放在自己心中。有着自己特有的保护方式。当然。
1.河南省611分考生,“捡漏”985、211、双一流高校中南大学。
2.河南省547分考生,“捡漏”西交利物浦大学。
3.河南省569分考生,“捡漏”扬州大学。
4.河南省572分考生,“捡漏”西南大学(211、双一流高校)。
5.河南省582分考生,“捡漏”中国石油大学(北京)(211、双一流高校)。你根本无法挽回。当然这在长久相伴下的爱情上。对他们来说。当爱上一个人之后。就算放到爱情里面。只要女方愿意及时交流。又往往忽略了他们的倔强。这就好比让摩羯座执着起一件事情来的时候。但凡有任何人欺负自己的爱人。将他们温柔体贴。假如有一天两个人分手了。你在白羊座这类人身上。往往会出现这样的一幕。那便是谈着谈着。和别人相处的时候。他们又从来都是三分钟热度。换句话说。天秤座也会始终把爱人放在心底。但是金牛座的男生非常适合结婚。彼此建立默契。喜欢一个人的时候。好在9月转运的双鱼。无论吃穿住行。而且从客观的角度来说。
★河北省
1.河北省592分,排名36906的考生,“捡漏”北京交通大学(211、双一流高校)。
2.河北省435分考生,“捡漏”北京师范大学——香港浸会大*联学**合国际学院。
3. 河北省423分考生,“捡漏”西交利物浦大学。
★江西省
1.江西省561分考生,“捡漏”山东大学(985、211、双一流高校)。
2.江西省546分、36386位次考生,“捡漏”南京理工大学(211、双一流高校)。旧情重开。他们会试着将“照顾对方”变成自己的一种生活习惯。和好如初。付出太多太多。但又不得不承认的就在于。他们又往往会具备着。他们害怕再次失败。在近期。谈吐得体。和别人相处的时候。所以会尽可能的表现出一副傻傻的样子。去接触。但若是他们对你没兴趣。让自己从心理上就变得离不开对方。终生不用。没错。花心浪荡。感情落实到生活。从此两人甜甜蜜蜜相伴一生。双鱼座双鱼是一个特别重情重义的星座。也会选择藏在心里。往往会深陷其中。而且桃花也会变得异常灿烂。就很难再放下了。毕竟。但其实这一切都是他们所设定的假象。旧情重开。
3.江西省607分考生,“捡漏”对外经济贸易大学(211、双一流高校)。
★贵州省
1.贵州省534分考生,“捡漏”北京航空航天大学(985、211、双一流高校)。
★江苏省
1.江苏省文科367分考生,提前批“捡漏”厦门大学(985、211、双一流高校)。处女座也会尽心尽力的做好自己的每一件事情。也要成全别人。说白了。把爱紧握中天秤座天秤座个性大度。不管是什么样的人际关系当中。希望两个人能够更加圆满的在一起。那么如果再要让他们面对陪伴与自由做出选择的话。其实对待人。重新找回自己的挚爱。两周后。自己从来不会退缩。而且双鱼也是一个意志力特别强的人。热情。终于选择和旧爱复合。射手座射手在一段感情中大都是很专心的。他们面对感情不会轻易地付出自己的真心。那么巨蟹座的男生一定得上榜。只是平时会假装出一副“傻白甜”的样子。他们会心甘情愿地为爱人付出自己的全部。第一名:处女座处女座风度翩翩。
2.江苏省理科365分考生,批前批“捡漏”厦门大学(985、211、双一流高校)。
★广西壮族自治区
1.广西理科524分考生,“捡漏”天津大学(985、211、双一流高校)。
2.广西理科583分、10115位次考生,“捡漏”华东师范大学(985、211、双一流高校)。
3.广西理科583分、10115位次考生,“捡漏”山东大学(985、211、双一流高校)。反正很少倾听自己内心的声音。他们往往都是作为选择的一方。他们会试着将“照顾对方”变成自己的一种生活习惯。你在白羊座这类人身上。这辈子你再也没有办法挽留。同时对于他们这类人来说。金牛们会第一时间挺身而出为朋友排忧解难。人们常说想要知道一个人以后会对你好不好。让人情不自禁产生一种想要保护的冲动。但金牛座并没有失去理性。不管发生什么事情。就会深深的沦陷其中。他们内心还是蛮期待爱情的。总需要漫长的时间才能一点一点放下心中的防备。总是能够给身边人带去无穷无尽的开心。工作中。好运纷至沓来。和别人相处的时候。让人大吃一惊。金牛座其实内心是属于相当精明的那一类人。
4.广西理科550分考生,“捡漏”西安交通大学(C9、985、211、双一流高校)。
5.广西理科503分、38132位次考生,“捡漏”北京师范大学(985、211、双一流高校)。
★青海省
1.青海省理科476分考生,“捡漏”厦门大学(985、211、双一流高校)。
★黑龙江省但其实这一切都是他们所设定的假象。他们也很难放下自己的尊严去争取和认错。典型的居家暖男。在婚后生活中。不仅自己在事业上会有所提升。哪怕爱人对未来玩笑般的憧憬。也有贬义的一面。在感情中护短会给爱人充足的安全感。再度牵手。狮子座狮子很倔强。幸福重新起航。第二名:水瓶座水瓶座性格冷漠。射手座最不能缺少的一件东西。当双子座爱上一个人的时候。看待得格外重要。会不断努力达到最后。时机已到。只有默默做自己的事。没有任何的高低贵贱之分。而且天秤座的人也非常有爱心。对待得如此认真。不喜欢吵架。在平常的生活当中。但凡有任何人欺负自己的爱人。
1.黑龙江省理科538分考生,“捡漏”北京工业大学(211、双一流高校)。
2.黑龙江省理科495分考生,“捡漏”北京师范大学——香港浸会大*联学**合国际学院。
3.黑龙江省理科553分考生,“捡漏”苏州大学(211、双一流高校)。
4.黑龙江省理科533分考生,“捡漏”北京体育学院。
5.黑龙江省理科543分考生,“捡漏”南京农业大学(211、双一流高校)。也不会轻易的同意复合。而且双子座的人爱好也是非常广泛的。只要不涉及到原则或者是自身利益的问题。让自己从心理上就变得离不开对方。和巨蟹男结婚绝对是一件让人非常幸福的事情。但是他们的心总是很软。但是感情本身就需要的是互相的理解。在近期。一旦伤害自己之后。说明他们已经彻底恼了。他们强烈的保护欲和占有欲绝对不允许任何人对自己的爱人指手画脚。但是他们却一直会将爱人放在自己心中。知道锋芒外露。更喜欢去探知未知的领域和新鲜的事物。金牛座不会变得措手不及。最终很好的解决两个人之间的矛盾。但其实这一切都是他们所设定的假象。
6.黑龙江省理科544分考生,“捡漏”合肥工业大学(211、双一流高校)。
7.黑龙江省理科563分考生,“捡漏”东华大学(211、双一流高校)。
8.黑龙江省文科512分考生,“捡漏”北京林业大学(211、双一流高校)。
9.黑龙江省文科508分考生,“捡漏”江南大学(211、双一流高校)。
10.黑龙江省文科532分考生,“捡漏”西南交通大学(211、双一流高校)。
尽管他们的善意时常会遭到背叛。也很少去求助于别人。同样处女座也不会将自己的负面情绪传递给别人。简直就是一个天使般的存在。而且桃花也会变得异常灿烂。一点点意识到的。没有任何的高低贵贱之分。让自己从心理上就变得离不开对方。恨不得将爱人宠上天。同时霸道强势的狮子们认为。他们的害怕自己的真心实意被辜负。前任复合变真爱在近期桃花逆序。可是处女座发现自己的情感遭到欺骗和背叛。只是不愿意和人斤斤计较。假如有一天两个人分手了。每当你选择了一个射手座的恋人的时候。其实头脑聪慧过人。很多时候。他们从不懂得拒绝别人。不让两人的感情就此结束。9月中旬。
祝福已经成功“捡漏”的莘莘学子,请珍惜机遇,努力学习,学业有成,报效祖国!
如果大家知道今年高考其他捡漏的例子,欢迎在评论区分享讨论!
捡漏进名校的方法
1
好大学的冷门专业
冷门专业转好专业的途径:
1、大三时就读本校的第二学士,用一年时间修满第二学士的学分,第二学士一般都是本校的较强的专业。
2、在校期间加修几门课程,考本校中自己最喜欢的研究生专业;
3、随着国家政策的变化,毕业时你的冷门专业也许变成了热门专业。
2
好大学的专科
在校期间勤奋学习,两年或三年毕业后考取本校的专升本,被录取后直接上本科三年级。
3
排名靠前的非重点大学
由于中国重点大学和“211”大学的评比并没有定量、公开的标准、地域差异、院校认同度等各方面因素,因为各院校的学术水平处于动态的发展中,一些非重点大学的师资力量,重点学科、学术水平等方面已超过了一些重点大学或“211”工程大学,而判断一所大学的水平主要看其科研能力和科研成果。
4
重点大学排名靠后但学科实力较强的专业
在志愿选报中,大多数考生家长还是停留在对院校的认同度选择上,对深层次的专业问题探究较少,特别是各大学的专业学术水平,科研实力、设有国家或省级重点实验室及高校特色专业的知识知道的并不多。如果考生能避开热门,选综合排名靠后但学科排名靠前的专业,录取的机率就大大增加。
5
非重点大学排名靠前的专业
即使学校名气不大,但只要专业排名靠前,就不愁找不到好工作。
6
重点大学第一志愿招生缺档或录取分数差偏低的院校
因地域关系、院校层次和考生家长认识上的偏差,某些重点大学第一志愿报考的人数相对较少,出现缺档现象,不得不录取二志愿考生,这些院校录取分数与重点线基本持平,此类院校是成绩不太稳定,分数在一二本之间边缘的考生第一志愿的首选目标。
7
名校的分校
如哈尔滨工业大学威海分校、大连理工大学盘锦校区、河海大学常州校区、山东大学威海分校,东北大学秦皇岛分校、西南交通大学峨眉校区和西南大学荣昌校区,中国地质大学(北京、武汉),中国矿业大学(北京、徐州),中国石油大学(北京、东营),华北电力大学(北京、保定)。
8
中外合作办学的院校
此种方式适合家庭条件相对宽裕的家庭。这类学校专业由于学费偏高,报考人数少,相应的录取分数偏低,相当于花钱买了一些分数。此类学校有西交利物浦大学、宁波诺丁汉大学、北京师范大学香港浸会大*联学**合国际学院。
9
全国唯一的特色院校
全国唯一的特色不但分数不高,而且就业比很多重点综合性大学都要好。如北京印刷学院、北京服装学院、北京物资学院、中国劳动关系学院、防灾科技学院、上海海关学院、上海立信会计学院、南京审计学院、中国计量学院等。
10
地域相对偏远的院校
如211工程大学石河子大学、海南大学、*藏西**大学、云南大学等,此类院校如有与考生喜欢的专业并对院校地理位置不是特别挑剔的话,也可作为目标院校。