要说起药妆这两年在中国的发展状况,可以用热火朝天来形容,各种国际国内大公司以及一批小众品牌都纷纷在这个领域推出新产品,想抓住口味越来越刁钻的新一代年轻消费者。

究其原因,就是因为消费者变得越来越聪明了,从原来的广告说什么就买什么,到现在对护肤品成分的各种精通,已经让护肤品制造商们都汗颜,不得不拿出一些真本事真技术运用到产品中,光靠广告的忽悠已经完全不能取信于消费者。
药妆(Cosmeceuticals)本身这个概念,是来源于"药物"和"化妆品"两个词的结合体。一旦联系到药物,我们头脑中一下子就会对产品的功效产生比较高的期待,并非仅限于"大宝天天见"的传统要求。

实际上在业内并没有对药妆本身有特别具体的定义,不过从市面上的产品看,一般药妆都是针对不同的肌肤问题进行设计的,比如敏感肌、色斑、皱纹等等,而且在功效上都追求下猛料、见效快,但是在质地、肤感、香味、包装方面都没什么很大"追求",只求简单就好,与传统护肤品的路子完全不一样。
欧洲作为西方医学的发源地,在药妆方面领先其他国家许多年,只是由于各种渠道的关系,许多药妆仅在本土售卖。但这几年来随着国内药妆市场的扩大,一些海外的小众品牌也纷纷进入我们的视野,比如今天我要介绍的这款来自法国的药妆品牌Noreva,正是踏着这股东风被我们知晓。

作为一个在20多年前才建立的药妆品牌,能够在药妆林立的法国护肤品界站稳脚跟实在不算容易,今天我们就以最畅销的两款美白和祛痘产品进行分析,来看看它在成分和技术上面到底有什么特别之处。
说实话,Noreva的第一款美白精华Iklen+就让我吓了一跳,因为里面主要的美白成分居然用上了4-丁基间苯二酚(Rucinol,噜忻诺),也就是日本Pola家的美白当家花旦,看来肯定是花了大价钱去引进的,这个成分以往很少在其他品牌里出现。

我在之前的科普文章里也提到过,4-丁基间苯二酚作为间苯二酚类的衍生物,在美白效果方面是排在第一梯队的,也是少有的几个能和美白界鼻祖氢醌、熊果苷相提并论的成分,而且安全性更高、对皮肤的刺激性更小。
由于这一类成分的结构长得都很像酪氨酸,因此在细胞中能够迷惑酪氨酸酶,使酪氨酸酶无法合成黑色素,直接阻断了黑色素的生成路径,就像是斩草除根一样快、准、狠。因此肤色也就能够更加亮白,原有的色斑也会淡化。

2013年发表的一篇文献也证明,4-丁基间苯二酚是所有间苯二酚类的美白成分中效果最好的,甚至比闻名遐迩的"377(苯乙基间苯二酚)"更加出色,不管是4周、8周还是12周的临床试验,都能显现出卓越的美白和淡化色斑的效果。

可是,你以为这就完了吗?并没有。
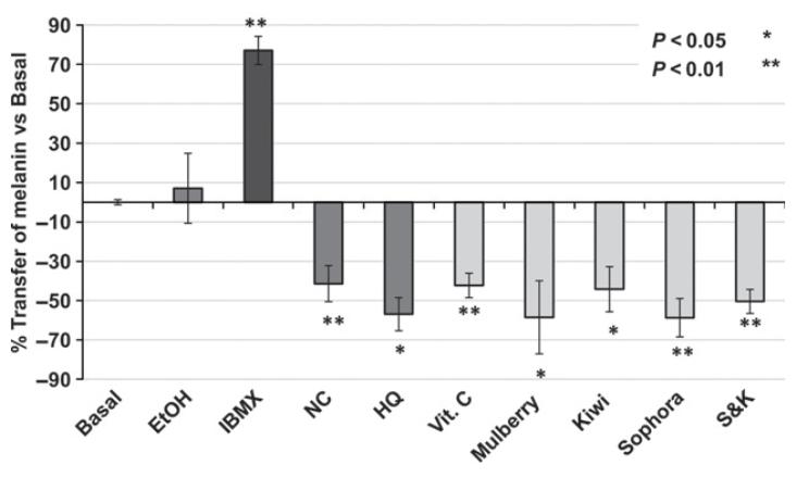
除了Rucinol这款史上最有效的美白剂之外,Iklen+里面还添加了两种植物成分:苦参根(SOPHORA ANGUSTIFOLIA ROOT)和欧洲七叶树籽(AESCULUS HIPPOCASTANUM SEED)提取物。
一般来说,在大多数护肤品里面的植物提取物只是讲讲故事,并没有太多实际的效果,但药妆不一样,基本上不会添加没有用的原料。这个苦参根的提取物也是大有来头,有人研究了它在抑制黑色素生成和转运效力后发现,它的效果和美白神器维生素C几乎相同,也是一种相对安全和有潜力的美白成分。


而另一种欧洲七叶树籽提取物,在许多敏感肌产品里都有出现,它能够有效阻断神经受刺激后的P物质生成,加强血管屏障,达消炎镇静的效果,这个成分的添加对于消除痘痘愈合后的红色痘印有比较显著改善,也能够预防由于炎症(比如*疮痤**感染)导致的色素沉着。

所以说,Noreva的这款Iklen+美白精华,不仅适合想整体提亮肤色,淡化色斑的人群,也适合那些由于饱受痘痘困扰而有各类痘印问题的消费者,而从配方结构上看,主要成分都是比较轻质的润肤剂,并不会给皮肤带来更多的负担。
说到痘痘,自然也是现在年轻消费者关注的重点,许多人为了与痘痘做斗争,用尽了一切偏方秘方,却始终不得其解。

一般来说,如果是耐受型的肌肤,用刷酸或者抗菌消炎的成分进行治疗就能得到很大程度的缓解,比如果酸(AHA)、水杨酸(BHA)、过氧苯甲酰(PBO)或者一些抗生素等,但是如果是敏感肌,那么这些刺激性比较大的成分就不合适了,往往痘痘消除了,但是皮肤却受到了更大的创伤,留下许多后遗症。
Noreva的Actipur系列是根据敏感肌的痘痘问题设计的祛痘产品,这种针对性的定位,确实是其他产品里面很少出现的。

它里面的核心祛痘成分还是相对比较创新的,我以前也没有听说过,用了一款壬二酸的衍生物:壬二酰二甘氨酸钾(PAD),含量高达5%。

众所周知,壬二酸(也叫杜鹃花酸)是一种皮肤科药物中常见的成分,不仅能够美白,还能够抗菌控油,对痘痘的改善有很好的疗效,但是由于其刺激性和溶解性的问题,在护肤品配方中比较难以得到很好的应用。通过结构改造以后得到的壬二酰二甘氨酸钾能够很容易地添加到配方中,渗透性更好,而且刺激性也降低了许多。
从数据看,这款温和的原料效果却不属于壬二酸,在临床试验中,仅需3周,皮肤的油脂分泌和黑头数量都能够得到控制,而油脂分泌过多则是产生痘痘问题的最大"元凶",同时这款成分自带的美白效果则能够淡化痘印,起到一石二鸟的作用。

由于PAD效果太过于突出,反而让我们容易把其他有效成分忽略了,实际上这款产品还有两个隐藏高手:高浓度的烟酰胺和植物鞘氨醇。
烟酰胺自然不用多说,这个红得发紫的万能成分在各类美白、消炎、祛痘产品里面都有出现,对于控油,烟酰胺也是一把好手,同时它也能加强皮肤的屏障功能,促进角质层更新。

而植物鞘氨醇,其本身就是构成神经酰胺的一部分,敏感肌的人群皮肤中一般缺少足够的神经酰胺来维持正常的皮肤状况,而鞘氨醇的添加则起到了消炎和修复肌肤屏障的作用,减轻由于痘痘产生的炎症,使皮肤的状态稳定,减少红肿不适感。

这款3合1的祛痘修复精华配方结构上相对简约,没有过多的油脂添加,质地较为轻薄,而额外添加的吸油硅粉则能够吸附在皮肤上持续吸油,保证皮肤整日清爽。
在Actipur祛痘系列中还有一款配套的洁面啫喱,虽然主打控油,但并没有使用皂基,而是选择了两性表活、非离子表活和氨基酸表活的复配体系,相对比较温和,不容易损伤角质层,比较适合敏感肌和有炎症痘痘进行使用。

我之前也一直说过,痘痘肌并非都适合强力清洁,有时候过度的清洁尽管能够除去油脂,但屏障受损以后,出油状况并不会改善反而会加重,选择一些温和的产品反而会更好一些。
关于Noreva这个品牌暂时就谈到这里,实际上这个品牌下面的产品还有许多,有种麻雀虽小五脏俱全的感觉。比如最近在小红书上比较火的敏感肌产品系列等,基本上每一种皮肤问题都有特定的解决方案,而在活性成分的使用上面也毫不吝啬。

相对于其他下猛料的品牌,来自法国的药妆一般都会偏向肤感和效果上的统一,追求一种更好的平衡,也更加容易被消费者所接受,如果你厌倦了传统的护肤品牌,想尝试一些新鲜而靠谱的药妆,那么Noreva可能是个不错的选择。
参考文献:
1. Singh S K, Baker R, Wibawa J I D, et al. The effects of Sophora angustifolia and other natural plant extracts on melanogenesis and melanin transfer in human skin cells[J]. Experimental dermatology, 2013, 22(1): 67-69.
2. Kolbe L, Mann T, Gerwat W, et al. 4‐n‐butylresorcinol, a highly effective tyrosinase inhibitor for the topical treatment of hyperpigmentation[J]. Journal of the European Academy of Dermatology and Venereology, 2013, 27(s1): 19-23.