近日,多省一本投档线出炉,其中不乏六百七八的清北,也有刚过线的一流高校。
准高三的小伙伴们不妨仔细瞅瞅,看看哪些适合明年捡漏。 今年各高校要多少分才能上?一起来看!
1
2022年本科批/一本投档数据
江苏
首选物理录取分前10高校专业组状况:
- 北京大学05专业组(不限) 674
- 清华大学04专业组(不限) 674
- 清华大学05专业组(化学) 674
- 上海交通大学02专业组(不限) 671
- 复旦大学05专业组(不限) 669
- 上海交通大学医学院03专业组(化学) 666
- 复旦大学医学院01专业组(化学或生物) 665
- 北京大学医学部03专业组(化学) 665
- 中国科学院大学06专业组(化学) 662
- 北京大学医学部02专业组(不限) 661
首选历史录取分前10高校专业组状况:
- 清华大学02专业组(不限) 639
- 复旦大学03专业组(不限) 634
- 上海交通大学01专业组(不限) 633
- 北京大学03专业组(不限) 631
- 北京大学医学部01专业组(不限) 629
- 中国人民大学03专业组(不限) 624
- 中国人民大学04专业组(思想政治) 624
- 复旦大学04专业组(不限) 623
- *京大南**学03专业组(不限) 612
- 浙江大学01专业组(不限) 610
上下滑动,查看全部




广西
理科录取分前10高校状况:
- 北京大学 685
- 清华大学 681
- 上海交通大学 677
- 上海交通大学医学院 672
- 上海交通大学(试验班类) 672
- 复旦大学医学院 671
- 复旦大学 668
- 浙江大学 668
- 复旦大学(试验班) 664
- 中国科学技术大学 661
文科录取分前10高校状况:
- 清华大学 671
- 北京大学 666
- 上海交通大学 660
- 复旦大学 660
- 复旦大学(试验班) 658
- 中国人民大学 651
- 浙江大学 650
- *京大南**学 649
- 武汉大学 635
- 北京师范大学 635
上下滑动,查看全部


宁夏
理科录取分前10高校状况:
北京大学 643.2721241
清华大学 637.2611211
上海交通大学 622.2431271
复旦大学医学院 618.2551091
复旦大学 617.2491151
上海交通大学医学院 614.2501111
浙江大学 612.2481181
中国科学技术大学 606.2391161
复旦大学(核专业) 605.2421051
北京大学医学部 602.2401161
文科录取分前10高校状况:
北京大学 620.2441171
清华大学 619.2411151
复旦大学 610.2521191
上海交通大学 606.2341211
中国人民大学 605.2261171
浙江大学 598.2461151
*京大南**学 597.2341121
北京师范大学 587.2301181
武汉大学 585.2411041
南开大学 585.2301121
上下滑动,查看全部
























北京
不限组录取分前10高校专业组状况:
院校 专业组 总分
北京大学 2 不限 695
清华大学 1 不限 689
北京大学 1 不限 687
复旦大学 1 不限 677
浙江大学 1 不限 675
上海交通大学 1 不限 672
北京大学医学部 2 不限 671
中国人民大学 1 不限 670
*京大南**学 1 不限 669
南开大学 2 不限 664
物理组录取分前10高校专业组状况:
院校 专业组 总分
北京大学 3 物理 688
清华大学 2 物理 688
上海交通大学 2 物理 685
中国科学院大学 1 物理 684
复旦大学 2 物理 681
上海交通大学 3 物理 681
浙江大学 2 物理 678
中国人民大学 2 物理 674
中国科学技术大学 1 物理 673
*京大南**学 2 物理 672
上下滑动,查看全部








浙江
浙江 :北大694分,清华695分
浙江本科批投档线



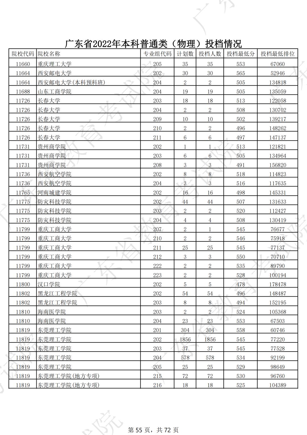
广东
广东本科批投档线
7月18日,我省2022年普通高考特殊类型招生(含高水平艺术团、高水平运动队、高校专项计划、综合评价等)录取结束,共录取2698人;本科批次正式投档,共投出考生300966人,其中:普通类(历史)投出78163人,普通类(物理)投出 195409人,体育类投出4492人,音乐统考投出 3636人,美术统考投出16635人,舞蹈统考投出883人,广播电视编导统考投出780人,书法统考投出334人,播音与主持校际联考投出634人。
我省2021年起实行“院校专业组”投档方式,今年进一步优化院校专业组设置。从本科批次投档结果看,体育术科统考类、书法术科统考类和播音主持术科联考类均满档,普通类(物理)投档率超过99.3%,反映考生志愿填报愿意高,选择更加均衡、合理,志愿适配度和满足率进一步提高。除部分招生数量较大的民办院校、收费较高的院校专业组和部分有特别招生要求的院校专业组存在缺额外,绝大部分院校均一次性满档,特别是师范院校,考生报考热情高涨,省内的华南师范大学、广东技术师范大学等在大幅增加招生计划的情况下,仍一次性满档,投档排位也不低于往年。
今年,高水平大学继续受到“追捧”,考生报考热情高涨,生源情况十分理想。为此,清华大学、北京理工大学、南开大学、天津大学、*京大南**学、中国科学技术大学、北京师范大学(珠海校区)、西安交通大学、上海交通大学医学院等在本科批次普通类模拟投档后,在我省共追加了30多个招生计划。
根据招生录取工作日程安排,本科批次录取预计于7月22日结束,随后将对尚未完成招生计划的本科院校专业组进行征集志愿。
我院每天17:00通过短信及官微小程序等方式公布截至当天11:30已录取的考生信息。请广大考生密切关注我院官微和官网有关通知,及时获取最权威的招生录取信息。
广东省教育考试院
2022年7月18日
物理类








































































历史类









































河南
河南:
理科:北京大学683,清华大学684;
文科:北京大学639,清华大学652
河南本科批投档线
河南省2022年高考本科一批投档分数线陆续公布,查询链接:
http://www.haeea.cn/adc/pzyxpxtdx2022l.shtml
理科


文科


文章篇幅有限,其他院校可点击链接查询:
http://www.haeea.cn/adc/pzyxpxtdx2022l.shtml
内蒙古
内蒙古:
理科:北京大学639分,清华大学668分;
文科:北京大学621分,清华大学624分;
内蒙古本科批投档线
内蒙古本科投档线已公布,录取线查询入口:
https://www1.nm.zsks.cn/xxcx/gkcx/lqmaxmin_22.jsp
理科


文科


文章篇幅有限,其他院校录取线可复制以下网址到浏览器查询:https://www1.nm.zsks.cn/xxcx/gkcx/lqmaxmin_22.jsp
2
各省市查询时间
北京
本科普通批录取 7月16日至21日。
天津
普通类本科批次A阶段
7月中旬至下旬进行投档录取,7月下旬公布录取结果。
普通类本科批次A阶段及艺术类、体育类本科批次征询
志愿填报时间:7月22日至7月23日;
志愿填报结束后即进行投档录取,7月下旬公布录取结果。
普通类本科批次B阶段
普通类本科批次A阶段及艺术类、体育类本科批次征询录取结束后即进行普通类本科批次B阶段投档录取,7月底公布录取结果。
普通类本科批次B阶段征询
志愿填报时间:7月29日至7月30日;
志愿填报结束后即进行投档录取,8月上旬公布录取结果。
河北
本科批
7月24日至26日 集中填报志愿的录取
7月28日至29日 第一次征集志愿的录取
8月3日 第二次征集志愿的录取
考生可通过以下方式查询录取结果
(1)通过河北省教育考试院网站 (http://www.hebeea.edu.cn)、河北省教育考试院微信公众号 (hbsksy) 、河北省教育考试院APP客户端(扫描省教育考试院网站的二维码*载下**并安装 Android系统或 IOS系统的手机客户端软件)查询本人录取结果。
(2)通过县(市、区)咨询服务站查询本人录取结果。
(3)通过院校网站查询。
山西
本科院校批次 (7月17日—8月13日)
(一)第一批本科A类院校7月17日至20日录取;
第一批本科A1类院校7月20日至21日录取;
第一批本科B类院校7月22日至25日录取。
(二)第二批本科A类院校7月27日至30日录取;
第二批本科B类院校8月2日至4日录取。
(三)第二批本科C类院校8月7日至11日录取。
内蒙古
本科一批、本科一批B
7月15日:考生第一次网上填报本科一批志愿。
7月16日:院校*载下**考生第一志愿信息,并在规定时限内完成第一志愿录取;前一志愿完成录取后,公布剩余招生计划,网上征集考生志愿;院校依次对后续志愿考生进行录取。
7月21日:本科一批录取结束。
7月22日:本科一批B招生院校*载下**考生第一志愿信息,并在规定时限内完成第一志愿录取;前一志愿完成录取后,公布剩余招生计划,网上征集考生志愿;院校依次对后续志愿考生进行录取。
7月24日:本科一批B录取结束。
本科二批、本科二批B
7月25日:考生第一次网上填报本科二批志愿。
7月26日:院校*载下**考生第一志愿信息,并在规定时限内完成第一志愿录取;前一志愿完成录取后,公布剩余招生计划,网上征集考生志愿;院校依次对后续志愿考生进行录取。
7月31日:本科二批录取结束。
8月1日:本科二批B招生院校*载下**考生第一志愿信息,并在规定时限内完成第一志愿录取;前一志愿完成录取后,公布剩余招生计划,网上征集考生志愿;院校依次对后续志愿考生进行录取。
8月2日:本科二批B录取结束。
辽宁
本科批院校录取: 7月20日至8月1日。
(1)7月20日至24日11:00:第一阶段录取。
(2)第一次“征集志愿”补充录取:
①7月25日8:00—15:00,考生查询剩余招生计划并按时填报“征集志愿”。
②7月26日15:00至7月28日11:00,补充录取。
(3)第二次“征集志愿”补充录取:
①7月29日8:00—15:00,考生查询剩余招生计划并按时填报“征集志愿”。
②7月30日15:00至8月1日,补充录取。
吉林
第一批A段(普通类、艺术类)
7月17-18日,第一批A段投档录取
7月19-22日,征集志愿补充录取
第一批B段(普通类、艺术类)
7月23日,第一批B段投档录取
7月24日-25日,征集志愿补充录取
地方专项计划批
7月26日,地方专项计划批投档录取
7月26日-27日,征集志愿补充录取
第二批A段(普通类、艺术类)
7月28-29日,第二批A段投档录取
7月29日-8月1日,征集志愿补充录取
第二批B段(普通类)
8月2日,第二批B段投档录取
8月3日-4日,征集志愿补充录取
黑龙江
普通本科第一批次录取的院校
特殊类型招生:教育部批准的具有高校专项计划、高水平艺术团、高水平运动队招生资格的院校。设 1个院校志愿。(只允许参加上述类型招生测试合格的考生填报)。录取时间:7月18日。
A段:重点本科院校及部分普通本科院校重点本科专业。设置 10个平行的院校志愿。录取时间:7月17日-25日。其中7月17日进行平行志愿模拟信息交互,7月20日-22日投放电子档案及录取,7月23日-25日征集志愿录取。
B段:重点本科院校的定向招生、少数民族预科班、民族班、边防军人子女预科班、蒙语答卷对换招生、部分中外合作办学和有特殊要求的本科专业,以及地方重点院校招收农村学生专项计划。设置1个院校志愿。
录取时间:7月26日-28日,其中7月27日-28日征集志愿录取。
普通本科第二批次录取的院校
A段:普通本科院校(含民办高校和独立学院)招生的本科专业(含中外合作办学专业),设置10个平行的院校志愿。录取时间:7月29日-8月5日;其中 7月29日进行平行志愿模拟信息交互,7月30日-8月2日投放电子档案及录取,8月3日-8月5日征集志愿录取。
B段:普通本科院校的定向招生、少数民族预科班、民族班、边防军人子女预科班、蒙语答卷对换招生和有特殊要求的本科专业。设置1个院校志愿。录取时间:8月6日-8日,其中 8月7日-8日征集志愿录取。
上海
8月13日-22日,本科普通批次院校录取(包括2次征求志愿)。
8月19日,在“上海招考热线”网站开通本科普通批次第一次征求志愿录取结果查询,并公布本科普通批次第二次征求志愿降分控制线、本科普通批次第二次征求志愿院校专业组缺额计划表及降分控制线上可填报征求志愿考生高考成绩分布表、专科各批次录取控制分数线、可填报专科志愿考生成绩分布表(语数外)、艺体类考生综合成绩分布表(各类别文化成绩和专业成绩折算后的综合成绩)。
8月20日-21日的时间段内,20日上午10:00—21日上午10:00,考生通过“上海招考热线”网站填报本科普通批第二次征求志愿及专科阶段志愿;8月21日晚公布本科普通批次第二次征求志愿投档线。
8月22日,在“上海招考热线”网站开通本科普通批次第二次征求志愿录取结果查询。
江苏
普通类本科批次:7月18日-25日录取
浙江
普通类平行录取
第一段平行投档录取:
向院校提供模拟投档情况 7月16日20:30
平行志愿投档 7月19日8:30
退档录检结束 7月20日16:30
公布剩余计划 7月22日上午
第二段志愿填报: 7月24日8:30—7月25日17:30
第二段平行投档录取:
平行志愿投档 7月28日14:30
退档录检结束 7月29日16:30
公布征求计划 7月31日上午
征求志愿填报: 8月1日8:30—17:30
征求志愿投档录取:
征求志愿投档 8月3日8:30
退档录检结束 8月3日16:30
江西
本科(文理类,体育类,三校生文理类) 录取:7月24日-8月1日;
艺术类本科平行志愿录取 :7月19-23日;
艺术类本科单志愿、三校生本科录取 :7月25-30日;
山东



河南
本科一批
录取时间:7 月18日—20日
征集志愿填报时间:7 月 22 日 9:00 — 18:00
地方专项计划本科批:
录取时间:7 月 21 日
征集志愿填报时间:7 月 22 日 9:00 — 18:00
本科二批
录取时间:7 月28日—30日
征集志愿填报时间:7 月 31 日 9:00—18:00
湖北
本科普通批录取状态查询开始时间:7月22日
湖南
7月20 -22日,普通类、体育类本科批(不含特殊类型)志愿录退;
7月25日8:00-17:00,填报普通类、体育类本科批第一次征集志愿;
7月27-28日,普通类、体育类本科批第一次征集志愿投档录取;
7月30日8:00-17:00,填报普通类、体育类本科批第二次征集志愿和艺术类本科批征集志愿;
8月2日,普通类和体育类本科批第二次征集志愿投档录取;艺术类本科批征集志愿投档录取
安徽

广东
本科批次普通类正式投档工作将于7月18日进行,录取结果将从7月19日起分批公布。请广大考生密切关注省教育考试院官网官微。
广西



海南
本科普通部分 (含普通类、民族班和预科班)
学校录取时间:7月21日至28日
预计征集志愿时间:7月24日 7月27日
重庆
普通类本科批录取开始时间:2022年7月26日-2022年8月2日
四川
本科第一批投档录取开始时间:7月21日左右
本科第二批投档录取开始时间:7月31日左右
贵州
文史、理工类第一批本科院校(含少数民族预科)
录取时间:7月20日—25日
文史、理工类第二批本科院校(含少数民族预科)
录取时间:7月26日—8月3日
云南
第一批本科录取时间7月20日至28日;
预计7月24、26日征集志愿。
第二批本科录取时间8月1日8月13日;
预计8月6、9、11日征集志愿。
*藏西**
本科一批(含预科)批次 7月21日至7月28日
执行重点本科录取分数线的本科院校或专业
本科二批(含预科)批次 7月29日至8月5日
普通本科院校或专业
陕西

甘肃
一、录取批(段)次设置
(一)本科提前批
A段:特殊类(安排军校、公安类、司法类、国家公费师范生、地方免费师范生、国家免费医学生、地方免费医学生、优师专项、小学全科教师、强基计划、高水平运动队、运动训练、武术与民族传统体育、残障生单招、职教师资单招、消防单招、保送生、少年班和部分行业定向及有特殊要求的国家专项计划等特殊类型的招生,以及教育部批准的部分特殊类型院校及专业的招生)。
B段:国家专项(部属及外省省属院校)。
C段:国家专项(省属院校)。
D段:地方高校专项。
E段:精准扶贫专项。
F段:革命老区专项。
G段:民族专项(本科)。
(二)本科一批
H段:高校专项(安排高校专项、高水平艺术团、藏区医学定向等类型的招生)。
I段:普通类及民族班等。
J段:其他类(安排预科、民语类、定向、援藏定向类型的招生)。
(三)本科二批
K段:普通类、中职升学、民族班。
L段:其他类(安排预科、民语类、定向等类型的招生)。
(四)体育、艺术类本科一批
(T段、U段、V段),体育、艺术类本科二批(W段),体育、艺术类高职(专科)批(X段)。
二、录取工作日程安排

三、征集志愿时间安排

注:以上时间如有调整,省教育考试院将第一时间在官方网站及微信公众号公布,请广大考生及家长及时关注。
青海


宁夏
第一批本科录取时间:7月16日至23日
第二批本科录取时间:7月24日至31日
*疆新**
本科一批次录取时间:7月23-28日
本科二批次录取时间:8月5-9日