文|汇锦数能-掌上煤焦

全焦率的计算公式
全焦率:炼焦所产干全焦占入炉干煤的质量百分数,一般用干燥基表示,记为 Kd 。
(1)令入炉干燥的质量为100,则所产干全焦的质量为 Kd。
(2)干全焦仍含有一定的挥发分 V coke,d (按国标规定 V daf不大于1.9%为合格),因此从煤中减去干煤挥发分的质量,再加上干全焦挥发分的质量,即为干全焦的质量,故有

整理后,得:

(3)在工业炼焦生产中,由于挥发分(煤气)的二次热解,一部分游离碳沉积在焦炭的表面上会增加焦炭的质量,对这种影响需进行校正,记校正值为a,其值为1%~2%,一般可取a=1.5%。因此,可得全焦率计算公式:

式中
K d——干燥基全焦率,%;
V coal,d——煤的干燥基挥发分产率,%;
V coke,d——焦炭的干燥基挥发分产率,%;
a——校正值,%。
煤焦比的计算公式
煤焦比为全焦率的倒数,煤焦比的计算公式:

式中
K d——干燥基全焦率,%;
V coal,d——煤的干燥基挥发分产率,%;
V coke,d——焦炭的干燥基挥发分产率,%;
a——校正值,%。
举例说明
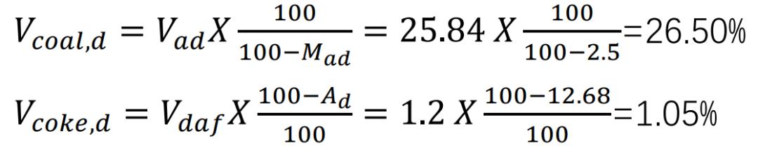
已知某入炉煤 M ad=2.5%, V ad=25.84%;由该煤所炼焦炭 V daf=1.20%, A d=12.68%,求全焦率和煤焦比。

取a=1.5%,全焦率:

煤焦比:

更多煤炭知识、配煤软件、自动配煤、煤质评价等相关内容,关注“掌上煤焦”公众号