首先,看一下PiN二极管在什么情况下会产生反向恢复?二极管发生反向恢复的条件是它正在导通的时候,突然承受反向电压被迫关断。在这里我们还是以经典的双脉冲测试电路为例进行说明,如图1所示。

图1 双脉冲测试电路
我们对下管S2实施双脉冲测试,S2的第一个触发脉冲,集电极电流 iC 2从0开始上升,S2关断后,负载电流 i load会通过上管S1的续流二极管D1续流。当S2再次开通时,二极管D1满足了发生反向恢复的条件。D1的反向电流 iD 1叠加上负载电流 i load就会在S2的集电极电流上表现为电流尖峰,如图2所示。

图2. 双脉冲测试波形
关于二极管反向恢复特性更为详细的测试说明,大家可以百度搜索大牛魏炜写的“IGBT双脉冲测试方法”,这里就不详细介绍了。在分析反向恢复过程时,希望大家时刻要记住两个最基本的电路概念:其一就是负载电感电流不能突变,另外一个就是基尔霍夫电流定律。理解了这两个概念后,从电路的角度去理解二极管的反向恢复过程就很简单了。
这时候你可能会问“二极管反向恢复的瞬间会不会造成桥臂直通啊?”是的,当然会了。虽然是“桥臂直通”,但是没有危险,因为时间太短了,也就在100-300ns左右(跟器件特性有关)。这个时间和我们所说真正的桥臂短路时间(10us左右)还不是一个数量级。
对于二极管反向恢复更通俗的理解就是二极管在关断瞬间并没有立马截止掉,反向泄漏一部分电流(电荷),泄完后
才算是正式关断了。
从电路角度理解了二极管的反向恢复过程后,肯定还有部分小伙伴不满足,那我们再从半导体物理学的角度简单解释一下。
在讲到二极管的正向恢复过程时,我们提到过由于“电导调制”现象的存在,PiN二极管完全导通后,内部的N-基区充满了大量的自由载流子。而二极管的反向恢复过程就是将N-基区的这些载流子的移出过程,因为只有将这些载流子清除完后,N-基区才能够形成承受高电场的耗尽层。
为了更清晰的分析PiN二极管的反向恢复机理,我们将二极管的反向恢复过程分为5个阶段,如图3和图4所示[1]。

图3.PiN二极管反向恢复电压和电流

图4.PiN二极管反向恢复过程载流子浓度变化
① t0时刻以前,D1处于正向导通状态(续流状态),内部N-基区充满了自由载流子。
② t0时刻开始,电流换向开始,D1正向电流iD1逐渐减小(S2电流iC2开始上升),在t1时刻D1电流减小至0(S2电流上升至负载电流iload)。
③ t1时刻开始,D1出现反向电流,空穴流向阳极,电子流向阴极(与开通时候的方向相反),此时内部N-依然充满了自由载流子,保持电中性,因此二极管并没有承受反向电压。
④ t2时刻,P+N-结处剩余载流子浓度衰减为零,开始形成耗尽层,二极管开始承受反向电压。随着耗尽层的扩展,t3时刻,二极管反向电压达到母线电压Vdc,在t3时刻,di/dt=0,二极管反向恢复电流达到最大值。
⑤ t3时刻开始,反向电流逐渐衰减,此时dir/dt变负,并在回路杂散电感上建立起一个负电压,使二极管的端电压出现超调, t4时刻为反向电压达到峰值。
⑥ 随着二极管的反向电流逐渐降为0,反向恢复dir/dt 也减至零,二极管的端电压亦降为Vdc,至t5时刻,二极管的关断过程结束。t5时刻过后,可能还有很小的拖尾电流,类似于IGBT关断拖尾一样,主要取决于内部载流子的寿命。
更为形象的载流子分布如图5所示。

图5.PiN二极管反向恢复过程载流子变化
对二极管的反向机理有了大致了解后,再回到应用,在这里有几个知识点我们需要强调一下:
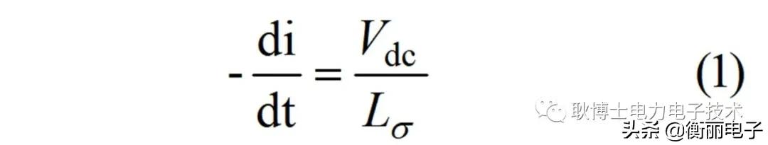
① t0-t2时刻的换向di/dt,也称为前向di/dt(实际上就是S2的开通di/dt),主要与外电路相关,影响因素有换流回路杂散电感,母线电压,以及IGBT开通特性。
很多书籍上给的公式是:

需要说明的是,该公式成立的前提是把S2当作理想开关来对待的,然而实际上很难成立,大家看看IGBT开通暂态的集电极电压缺口应该就知道了,这个缺口电压正是杂散电感上的电压。如果大家把IGBT开通电阻搞小,回路的杂散电感搞大,这个公式就成立了,至于为什么大家可以去想想哦
② t3-t5时刻电流反向恢复dir/dt,也可以称为后向di/dt,主要与器件的特性有关,如果衰减的很快,我们称之为Snappy Recovery。中文可以翻译为刚性反向恢复特性或硬反向恢复特性。关断太硬的话,一方面由于杂散电感的作用,会在二极管上叠加一个电压尖峰;另一方面还容易产生电流震荡和电磁干扰(EMI)。图6就是一个典型的snappy recovery波形,可以看到,二极管的反向压降超出母线电压很多,并且伴随着严重的振荡。

图6.Snappy recovery 波形
需要说明的是,并不是所有的反向恢复过程都会造成二极管的过电压,二极管两端的电压由公式2决定:

③ 反向恢复损耗的概念可能大家都比较清楚了,二极管的反向恢复电流乘以反向电压就是二极管的瞬时功率,在反向恢复时间内对二极管的瞬时功率积分就可以得到二极管的反向恢复损耗,典型的测试波形如图7所示。

图7 二极管反向恢复波形
需要说明的是,二极管在开通和关断转换过程中瞬时功率不能超出安全工作区(Safe of area, SOA),否则器件有失效风险。图8为infineon 3.3kV 1.2kA 二极管的安全工作区。大家可能会注意到现在很多IGBT模块内部的续流二极管并没有给出SOA曲线,具体原因就不清楚了,有可能由于现在的器件工艺改进,很难出现器件超出SOA的情况了吧。

影响二极管反向恢复特性的内部机理是比较复杂的,有时候你可能会发现在低温、小电流的时候反向恢复特性会变差,振荡也会更加严重,当电流增大后,反向恢复特性又会变好。至于为什么会产生以上现象,要讲的东西太多了,我们以后有机会再详细讨论吧!
对于我们做应用的还是以 测试 为主,不同厂家的模块特性不一样,同一厂家不同系列的模块也会不一样,因此拿到一个新的模块一定要去做测试,把器件的特性摸透了,你设计的产品才会可靠。
该内容是小编转载自网络,仅供学习交流使用,如有侵权,请联系删除。如果你还想了解更多关于电子元器件的相关知识及电子元器件行业实时市场信息,敬请关注微信公众号 【上海衡丽贸易有限公司】