“前车之鉴,后事之师”!哪些知识点容易丢分?什么样的答题方式能得高分?今天,小编给大家整理了2018年高考各科试题的分析,相信同学们仔细研读之后将大有裨益!
语文
2018年普通高等学校招生全国统一考试语文试题突出考查学生的识记、理解、分析综合、鉴赏评价、表达应用和探究六种能力,根据《普通高中语文课程标准》规定的必修课程中阅读与鉴赏、表达与交流两个目标,选修课程中诗歌与散文、小说与戏剧、新闻与传记、语言文字应用、文化论著研读五个系列,组成考试内容。题型与内容比例符合《考试大纲》的要求。
2018年高考语文命题牢牢扣住“新时代”和“新一代”的历史内涵与特点,以培养和选拔又红又专、德才兼备、全面发展、具备语文学科核心素养的优秀人才为目标,追求试题的思想性、时代性、科学性和示范性,更好地彰显和发挥了语文科在高考评价体系中“立德树人”“育才成人”“以文化人”的独特功能。
立德树人:扬帆新时代,化育新一代
高考语文命题立足于时代特征,着力于把*党**的理论创新最新成果、中国社会主义建设的伟大成就以及团结奋进、不断创造美好生活的时代精神有机融入命题。试题鲜明地体现出*党**的十九大精神和习*平近**新时代中国特色社会主义思想的指导意义,明确传达立德树人的价值导向,增强考生为中华民族伟大复兴而努力的历史使命感和责任感,引导考生树立远大理想,投身新时代建设伟业,在接力奋斗中追梦、圆梦。
1、融会新思想,增强“四个自信”
今年的全国高考语文试题命制充分调动文化积淀,融会新思想,将“四个自信”贯穿整个试卷之中,并着力画龙点睛,在关键处破题,形成点面结合、精神深蕴的格局。如全国I卷作文试题“世纪宝宝中国梦”:
2000年 农历庚辰龙年,人类迈进新千年,中国千万“世纪宝宝”出生。
2008年 汶川大地震。北京奥运会。
2013年 “天宫一号”首次太空授课。
公路“村村通”接近完成;“精准扶贫”开始推动。
2017年 网民规模达7.72亿,互联网普及率超全球平均水平。
2018年 “世纪宝宝”一代长大成人。
......
2020年 全面建成小康社会。
2035年 基本实现社会主义现代化。
一代人有一代人的际遇和机缘、使命和挑战。你们与新世纪的中国一路同行、成长,和中国的新时代一起追梦、圆梦。以上材料触发了你怎样的联想和思考?请据此写一篇文章,想象它装进“时光瓶”留待2035年开启,给那时18岁的一代人阅读。
试题既选取新世纪以来中国在科技、民生以及综合国力、国际影响力等方面的成就作为材料,又选取“2020”“2035”这两个新时代中国发展的关键时间节点,以全面建成小康社会、基本实现社会主义现代化的伟大目标作为材料,充分发挥作文的积极导向功能,更创编“一代人有一代人的际遇和机缘、使命和挑战”这样饱含启迪、指明方向的引导语,启发考生强化自己的代际身份感、集体认同感,引导考生在体会国家进步、民族振兴的同时,感受大国风采、民族精神和时代品格,从历史的纵深与未来的愿景中,更充分认识个人成长与国家、民族、时代的深刻关联,不断增强自己和同代人的获得感、荣誉感、责任感,更切实地感受到“四个自信”,在实现社会主义现代化、实现中国梦的生动实践和激情奋斗中放飞青*梦春**想。
2、讲好改革故事,定位历史坐标
今年是改革开放40周年。改革开放不仅深刻地改变了中国,而且深刻地影响了世界。语文科充分发挥作文的积极导向功能,直观而策略地反映时代主题,正面而巧妙地传递价值观念。以全国III卷作文“改革开放三部曲”为例:
时间就是金钱,效率就是生命 ——特区口号,深圳,1981
绿水青山也是金山银山 ——时评标题,浙江,2005
走好我们这一代人的长征路 ——新区标语,雄安,2017
三条标语口号言简意赅,意味深长,浓缩了改革开放不平凡的四十年历程,折射出发展阶段和发展方式等方面的变迁。分开来看,三条标语口号分别喊出了各自阶段的历史任务与时代精神的最强音;组合起来看,三条标语口号则为改革开放四十年书写了波澜壮阔的发展三部曲,可以帮助考生在完成写作任务的过程中,时刻铭记改革前辈的光荣与梦想,深刻领会当代青年的使命与挑战,不忘初心,接力奋斗,砥砺前行,全力以赴走好这一代人的长征路。
3、唤起青春理想,奋起追梦圆梦
全国I卷作文试题“世纪宝宝中国梦”精心选取7个年份,以年表的形式列举中国进入新世纪以来的重大事件和重要规划,但在2000年和2018年两个年份,却以“世纪宝宝”的出生和成年作为当年的主要内容,并在试题的引导语中明确指出“你们与新世纪的中国一路同行、成长,和中国的新时代一起追梦、圆梦”。试题直接面向考生发声,直接点明他们的独特身份,直接揭示他们与国家、时代之间的紧密关系,直接激发他们的青*梦春**想与奋斗豪情,引导他们深刻思考自身一代人所面临的共同际遇与机缘,把追梦、圆梦的时代主潮落到实处。尤其是,命题要求考生写一篇文章留待2035年18岁的一代人阅读,即由“世纪宝宝”发起一场两代青年在成人之际的跨时空对话,实则是要求考生想象自己成为代际接力奋斗中的主体,放眼未来,关注、思考下一代青年的成长际遇和追梦旅程,进而自觉思考对国家、民族未来的责任担当。北京市作文题“新时代新青年——谈在祖国发展中成长”的命制也以2000年出生的同学走进高考考场为切入点。另外,全国高考语文Ⅲ卷作文题“改革开放三部曲”中,“走好我们这一代人的长征路”在引导考生回顾改革开放伟大成就的同时,激发考生深入思考如何走好自己这一代人的长征路,将青*梦春**想融入追梦旅程。
育才成人:聚焦关键能力,助推素质教育
2018高考语文以“必备知识、关键能力、学科素养、核心价值”为考查目标,突出基础性、综合性、应用性、创新性,聚焦关键能力,围绕学科主干内容,创新试题设计,强化素养导向,考查学生灵活运用所学知识分析解决问题的能力,给不同水平的学生充分展现才华的空间。尤其通过设置真实的问题情境,重点体现语文科考查的内容改革,提高语用水平、塑造思维品质、关注信息处理、倡导主动学习,融入有利于终身学习的语言、文学、文化的必备知识,育才成人,助推素质教育。
1、创设真实情境,突出语文实践
2018高考语文紧扣语文课程综合性、实践性的特点,通过创设真实、富有意义的语文实践活动情境,实现对广大学生语言文字能力和素养的测评。
一是将具体的语言文字、文学作品置于特定交际情境和历史文化情境中理解、分析和评价。
如语用题的成语、语病题,过去都在独立的句内完成,今年在一个文段中设计3道选择题,使考查语料从句子变为篇章,更加突出对实际应用能力的考查,也对学生的逻辑思维能力提出了更高要求。启事与书信的命题设计指向真实的语文学习任务,有助于引导学生活学活用。这种自然语境的设计,在考查必备知识和关键能力基础上更加强调融会贯通。
全国I卷文学类文本阅读选择了小说《赵一曼女士》。作为抗日英雄,赵一曼的事迹曾感动和影响过几代人。试题扣住“历史与现实交织穿插”的叙述方式来设题,创设历史具体情境,让学生关注文本中现实对历史的追问、历史的现场叙事、史料的还原,体现赵一曼精神的当下意义,在感动与思考中自然深化对革命文化的认识。
二是体现语言表达和文字写作等普遍性能力要求的考查,在阅读与鉴赏、表达与交流、梳理与探究中凸显语文特点。
文学类文本,引导考生针对不同的艺术表现方式,从语言、构思、形象、意蕴、情感等多个角度欣赏作品,获得审美体验,如全国II卷第6题要求考生体会并简析老舍幽默生动的语言、全国III卷第6题“谈科幻小说中‘科学’与‘幻想’的关系”、古代诗歌赏析艺术特色,都着眼于考查考生鉴赏的关键能力。
论述类文本,要求考生在掌握基本论证结构和手法的基础上,洞悉立论背后的动机与目的,最终进行创造性的思考和判断,如全国卷第2题讨论“原文论证的相关分析”,要求考生基于文本内容,对文本的论证前提、论证手法、论证逻辑和论证内容的关系形成认识。
实用类文本,需要准确解读材料,筛选整合信息,还要能评价文本的“主要观点和基本倾向”“社会价值和影响”,如全国卷多个文本材料相互呼应,附以一组题的设计,循序渐进,各有侧重,对实用文本的思想内容、构成要素和语言特色进行全面考查,也赋予“实用”以人生价值和时代精神的新内涵。
三是试题面对当代生活,体现多样化的语文实践活动。
语料选择突出时代性和问题性,引领学生了解我国社会发展的核心问题和世界发展的前沿问题。
全国Ⅱ卷《“被遗忘权”之争:大数据时代的数字化记忆与隐私边界》,突出在新的时代条件下,如何理解和处理人与技术的关系;
Ⅲ卷《城市*会:社**文明多样性与命运共同体》,突出在命运共同体的诉求中,如何理解建构社会弹性和发展的可持续性;
Ⅰ卷实用类文本阅读选择了三则新闻报道,要求简要概括“《人民日报》《自然》《读卖新闻》报道的侧重点有什么不同”,并分析其原因,这既是新闻文体的基本特征,也从“新闻立场”的角度,引导学生参与生活、观察社会。
2、提升思维品质,促进独立思考
2018年高考语文加大对思维品质的考查力度,发展思辨能力,提升思维品质,对学生的逻辑思维能力和形象思维能力进行了全面测查。
首先,深化对逻辑思维、批判性思维的考查。以全国Ⅱ卷作文“幸存者偏差”为例。
“二战”期间,为了加强对战机的防护,英美军方调查了作战后幸存飞机上弹痕的分布,决定哪里弹痕多就加强哪里。然而统计学家沃德力排众议,指出更应该注意弹痕少的部位,因为这些部位受到重创的战机,很难有机会返航,而这部分数据被忽略了。事实证明,沃德是正确的。
其次,聚焦审美情趣和审美品位,重视对形象思维能力的考查。2018年高考语文试题,以小说、散文、诗歌等多种方式呈现美,层层设问,考查学生发现美和欣赏美的能力。全国Ⅱ卷文学类文本选择老舍《有声电影》,小说在有限的篇幅内对诸多人物形象进行了精细刻画。考生在高中阶段对现代文学经典作家老舍的写作风格已有初步了解,试题对小说丰富的内涵、生动的形象、幽默的语言等分别进行了考查。全国I卷的作文试题也特别加强了对形象思维能力的考查。试题要求学生根据材料写一篇文章,并想象把它装进“时光瓶”留待2035年开启,给那时18岁的一代人阅读。学生要在材料的基础上,充分调动直觉体验和想象力,与2035年成年的一代人进行跨时空对话。
3、关注信息处理,强化探究意识
2018高考语文面对现代社会发展的要求,加强对考生获取信息、处理信息、应用信息能力的考查,从文本呈现方式、试题设问等方面,有效考查了考生面对不同类型的信息时选取恰当策略进行信息处理的能力。
一是注重对考生在整合加工、辨析推断信息方面的策略考查。文本的类型不同,所提供信息的形式、密度及设题的方式也不同。论述类文本主要关注文本的核心概念、关键语句、论点论据和论证方式,考生要对文本信息进行深加工,进而分析、推断,形成独立见解;实用类文本关注文本的信息内容、信息间的关联、信息背后的立场等,考生在作答时首先要快速浏览,根据试题内容定位信息、筛选信息,然后进一步整合加工。
二是重视考生面对信息的迁移应用能力的考查。浙江卷第6题要求针对给定文段归纳主要内容,将信息的整合、提炼与写作能力的考查结合在一起。全国II卷实用类文本四则材料内容围绕“知识产权”主题展开,第9题要求考生对高校科技成果转化相关方的作用进行简述,考生要定位、筛选材料中的相关信息,并结合问题进行分类和归纳,认识到高校在大力倡导创新文化的时代背景下应为与可为的巨大空间。通过对信息处理与应用能力的全面深入考查,也进一步强化了对考生探究意识的要求。
4、引导自主学习,凸显创新导向
2018高考语文鼓励学生主动思考,激发学生的想象力、激发学生学习与创新兴趣,引导学生从不同角度认识问题,把学生从标准答案中解放出来。
首先,创新内容与题型,激发学习兴趣,防止刷题、宿构。全国III卷选用了科幻作家刘慈欣的短篇小说《微纪元》,这是广大青少年喜闻乐见的科幻小说首次进入高考。语用题第20题变换题型,采用主观题的方式,要求考生在判断得体与否之后作出修改。全国I卷、III卷的第21题用图文转写的方式来进行考核,需要读懂构图,分析关键词与思考路径间的整体关系,从“解答题目”转向了“解决问题”,对学生的综合素养提出了较高的要求。
其次,增强试题的灵活性和开放性,引导学生多角度发现问题、认识问题、解决问题。全国III卷《精卫词》主观题设置开放性答案,有助于激发学生的思维张力。由于时代的变迁、语言的变化,对一些古诗的解读是可以多元的,为鼓励考生主动思考、发散思维,能够言之成理的答案即可视为正确。
以文化人:彰显文化优势,突出引领功能
2018年习*平近**《在北京大学师生座谈会上的讲话》中明确将“以文化人”列为提高学生政治思想水平、文化道德修养的一条重要途径。语文科以古今优秀作品为载体,包罗万象,蕴含丰富,在落实“以文化人”方面具有天然优势。2018年高考语文试卷在这方面匠心独具,进行有益尝试和探索,取得了显著效果。
1、萃取思想精华,以优秀的文化传统浸润人
今年全国高考语文三套试卷“文言文阅读”材料分别节选东汉王涣、魏晋鲁芝、北宋范纯礼三位历史人物的传记,集中赞美他们清忠履正、沉毅刚正、宽厚为政等高尚品质,同时也显示了陈宠知人善任、任峻勇于为政、羊祜谦逊推让等美德。范纯礼的传记中还提及他是范仲淹之子,有助于唤起考生对范仲淹“先天下之忧而忧,后天下之乐而乐”的记忆。
此外,全国语文Ⅱ卷、Ⅲ卷“名篇名句默写”部分对《孟子·鱼我所欲也》和诸葛亮《出师表》的考查,也触发考生联想中国历史上众多“不食嗟来之食”和“鞠躬尽瘁、死而后已”的仁人志士,产生强烈的情感共鸣。
三套试卷立足考查范围,回应教材内容,或实或虚,或正面或侧面,为考生提供了一幅生动的古代优秀人物群像图。考生在答题时犹如对话前贤先哲,其熏陶感化可想而知。
2、博采古今名篇,以精彩的文学作品感召人
全国高考语文三套试卷的“古代诗歌阅读”部分精心选取李贺《野歌》、陆游《题醉中所作草书卷后(节选)》和王建《精卫词》。陆游的诗歌中,既有“欲试无路空峥嵘”的苦闷,又有“酒为旗鼓笔刀槊”的豪壮,还在“如见万里烟尘清”中寄寓了诗人对国家统一的强烈渴望,使考生在艺术审美中体验中华民族世代相传的爱国主义精神。
李贺《野歌》即景抒怀,以“寒风又变为春柳,条条看即烟濛濛”将诗人不得意的苦闷、对命运的不甘不屈转换为对未来的信心与乐观,可以给正处于青春期的考生以强烈的情感共鸣和深刻的人生启迪。王建《精卫词》中,精卫“高山未尽海未平,愿我身死子还生”的誓言本身动人心魄,又能引发考生对“愚公移山”故事及内涵的联想,可谓言外有意,韵外有旨。
9道高考作文题有4个亮点
2018年高考语文试卷作文题共9道,其中3道由教育部考试中心命制,6道由北京、天津、上海、江苏、浙江等省市命制。试题以材料作文为主,总体上以厚重感与鲜活性兼具的材料、新颖而灵动的形式,直接而策略地反映时代主题,正面而巧妙地传递价值观念。
4个亮点:
1.增强“四个自信”,落实立德树人
2. 讲好改革故事,凸显时代主题
3.提升思维品质,助推素质教育
4.贴近学生生活,激发写作热情
2018高考语文卷具体分析
总体评价
2018年全国高考试题的命制,严格遵循教育部修订颁布的《2018年普通高等学校招生全国统一考试大纲-语文》,既体现新《考试大纲》的精神,同时又尽量保持与往年的衔接照应,以体现稳中求新、稳中求变的命题原则。在命题思路上,体现立德树人、服务选拔、引导教学的核心立场;在考察内容上,体现必备知识、关键能力、学科素养、核心价值的考察目标;在考查形式上,体现基础性、综合性、应用性和创新性的考查导向。
试题分析
第一大题为现代文阅读,分为论述类文本阅读、文学类文本阅读和实用类文本阅读三个部分。与2017年保持一致,文学类文本阅读和实用类文本阅读都是必考。
1、论述类文本阅读
论述类文本阅读重点考查考生筛选并整合文中信息,分析原文论证以及综合文中信息进行推断的能力。阅读材料摘编自杨国荣《历史视域中的诸子学》一文,适合高中毕业水平考生的阅读和理解。3道题考点各不相同且指向明确,第1题考查筛选整合文中信息的能力,第2题考查分析原文论证的能力,第3题考查综合文中信息进行推断的能力。
2、文学类文本阅读
文学类文本阅读重点考查文章内容的理解和艺术特色的分析鉴赏。阅读材料是阿成的小说《赵一曼女士》。选择这篇材料作为高考文学类阅读材料,追忆了革命先烈,彰显了爱国精神,且具有重要的教育和导向意义。第4题作为客观题,考查的综合性较强,涉及到文章内容的理解,也涉及到艺术特色的分析鉴赏;第5题考查文中关键句子的含意;第6题考查艺术特色的鉴赏。
3、实用类文本阅读
本题为实用类文本阅读,它是包含图表在内的非连续性文本阅读。本题目的文本注重真实性和实用性,要求学生能够了解文体的基本特征,准确解读文本,筛选整合信息,分析原文内容。实用类文本阅读的目的性非常明确,文本材料总要基于一定的逻辑进行谋篇布局。学生在阅读时,应该认识到文本背后的逻辑架构,对其行文内容进行分析。
从2017年实用类和文学类阅读变成必答题的华丽转身之后,今年的实用类阅读题在保持去年面貌的基础上,又产生了一些新的变化。从分值上来看,虽然总分依然是12分,但却把5分的多选变为了3分的单选,多出来的两分加在了主观题上。和文学类阅读12分的主观题相比,可以看出实用类阅读的特色是主观客观并重,既要求学生能够了解文体的基本特征、准确解读文本、筛选整合信息、分析原文内容,也需要学生拥有良好的论证和表达能力。
2018年全国卷实用类阅读在选材上和2017年相似,都具有实际性和科普性,变化在于去掉了图表,用的是文字材料,更注重学生的文字阅读功底。
总的来看,今年全国卷的实用类阅读题,仍偏重于对材料本身的分析和理解,材料本身清晰简明,总体上通俗易懂,不难把握。
第二大题
第二大题为古代诗文阅读,分为文言文阅读、古代诗歌阅读和名篇名句默写三个部分。
1、文言文阅读
文言文阅读,包括4道小题。关于鲁芝的这段文字选自《晋书·鲁芝传》,原文篇幅较长,有680余字,考题根据需要做了少量删节。本次重点考查了文言虚词“以”和“为”的多种用法以及帝王世系方面的专门用词。从整体看,这段人物传记属于典型的文言文作品,文字浅显,故事性强。考点并不生僻,而且故事背景是大家极为熟悉的三国时期,非常适合对高中毕业生进行的考查。
2、古代诗歌阅读
本诗是李贺在落第之后自我排解的诗篇。开篇先写自己射技高超,实际上是暗指才华不凡。第二联写自己命途多舛时的自我开解。第三联开始转向抒怀,感慨的是自己仕途蹭蹬难展抱负的命运(文言文中“穷”一般指处境恶劣)。尾联自我安慰,畅想未来如春柳重萌,颇为乐观。整体上看,本题需理解其基本意涵即可。
第三大题
第三大题集中测试考生的语言文字运用能力,由3道选择题和2道主观题组成。该大题与2016年相比,题量相同,但在命题形式上有较大变化。
三道选择题均与一篇阅读材料相关,从材料出发来设题。第17题考察病句,但是改变了以往正确或错误四选一的出题模式,而是在文章中设置病句,让考生选择修改恰当的一句,形式虽然有所变化,但本质与以往并无区别。第18题,原本的补写题以选择题的方式出现,考察学生对句子结构等方面的掌握。第19题,依然考察成语的正确使用,但采取了回到文章中填空的考察方式;试题难度上并无太大变化。
选择题典型试题分析与学习建议





非选择题典型试题分析、作答评价与学习建议







英语
2018年,教育部考试中心高考英语学科贯彻落实《实施意见》要求,依据《2018年普通高等学校招生全国统一考试大纲》和《2018年普通高等学校招生全国统一考试大纲的说明》命制了4套英语试卷供全国27个省(自治区、直辖市)使用。
纵观各套试卷可以发现,今年高考英语命题以落实立德树人的教育根本任务为目标,依据高考评价体系的总体要求,考查主干知识和关键能力,体现了基础性、综合性、应用性和创新性考查要求,助力引导中学英语教学改革和推进素质教育,呈现以下主要特点:
落实立德树人根本任务,强化高考育人功能和价值导向
2018年高考英语全国卷的选材围绕人与自然、人与社会、人与自我三大主题,取材广泛、体裁多样、时代性强,考查能力全面,充分体现了高考坚持立德树人、发展素质教育的功能。
1、增强中华文化浸润,引导增强“四个自信”
2018年高考英语全国I卷写作部分第二节设置了外国朋友将到中国家庭做客的情境,要求考生写一封邮件告知在中国家庭做客的基本习俗;全国II卷语言知识运用部分第二节语篇介绍中国近年来根据人民膳食变化调整农作物种植结构,为全球生态环境保护做出贡献;全国III卷阅读理解部分一篇文章报道中国建筑设计师在其作品中弘扬中国传统文化,获得国际奖项,让世界了解中国的消息。这些语篇的选择和题目设置在自然融入中华优秀传统文化的同时,宣传介绍中国经济、社会和文化的发展,引导学生在传承和发扬中华优秀传统文化和伟大民族精神的同时,坚定理想信念,增强“四个自信”。
2、融入人文知识介绍,引导关注人类命运共同体
2018年高考英语全国I卷阅读理解部分选取一篇关于世界语言种类随着人类社会发展而逐渐减少的文章,倡导保护人类历史与文明;全国III卷阅读理解部分选取一篇加拿大城市道森的历史发展与现状的文章,倡导和谐自然;全国I卷阅读理解部分选取一篇关于烹饪省钱而又美味食物的新闻报道和一篇介绍新旧电器使用与能源消耗调查的文章,倡导节约和环保。通过阅读这些文章,引导学生在理解文章内容和作者观点态度的基础上关注人类命运共同体,强化社会责任意识,促进人与自然的和谐共处与可持续性发展。
3、重视思维品质培养,倡导建立和谐人际关系
2018年全国II卷阅读理解部分选取了一篇研究报道,介绍在社交过程中适当寒暄和闲谈可成为人际间相互理解沟通的基础;全国III卷阅读理解部分选取了一篇介绍作者引导孩子主动捐献玩具,并从玩耍简单玩具中获得快乐的做法;全国II卷、III卷完形填空文章分别介绍一位父亲碰巧营救了自己的儿子以及一位男子在收到陌生短信时礼貌回复并到医院探望新生婴儿的故事,引发强烈的亲情共鸣和满满的善意;这些文章让考生在阅读文章内容的同时深入思考在生活日趋便利的当今社会,更应该关注人与人之间的沟通和交流,引导学生养成良好的思维品质和人文情怀。
体现高考评价体系总体要求,考查主干知识和关键能力
2018年高考英语全国卷在深入理解高考评价体系提出的必备知识、关键能力、学科素养、核心价值的“四层”考查目标和基础性、综合性、应用性、创新性的“四翼”考查要求的同时,重视学科基础知识和主干知识,强调关键能力和学科素养,加强了对听说读写结合的综合语言运用能力的考查。
1、强调听说读写四项关键能力的考查
2018年高考英语全国卷质量进一步提升,试卷结构进一步巩固,各种题型搭配科学合理,全面考查考生综合语言运用能力;通过恰当的选材和巧妙的设问,不仅考查考生语言知识和文化知识及听说读写等关键能力,还渗透对考生交际能力、思辨精神和学习能力等学科素养的要求。高考英语科既考查理解英语口语和书面英语的能力,也考查运用相关词汇和语法进行书面表达的能力。
2、体现基础性、综合性、应用性和创新性考查要求
2018年高考英语各套试卷在试卷结构设计上既有针对各单项语言技能的专门考查,如听力部分、阅读理解部分和写作部分,又有针对综合语言技能的考查,如语言知识运用部分,体现了基础性和综合性的考查要求;在问题情境的设计上,既有需要考生进行真实的口语和书面交际的任务,又有需要考生发挥想象力和创造性的写作任务,体现了应用性和创新性的考查要求。
试卷内容设计科学,试题质量不断提升
2018年高考英语全国卷命题继续采用“一纲多卷”形式,各套试卷充分考虑不同地区考生群体的能力水平,合理控制试卷难度,进一步提高试题区分度,有利于减轻学生的负担。
2018年高考英语各套试卷所采用篇章材料的难度水平呈阶梯分布,在材料话题难度、题型搭配以及考点设置等方面,难易搭配合理,题目类型多样,考查要点覆盖面广,试卷中难、较难、较易和容易各难度层级试题比例得到进一步优化;通过合理设置选择题的干扰项等方式,进一步提高了试题的区分能力。
总体来看,2018年高考英语全国卷命题在稳定中求发展,各套试卷质量整体跨上新台阶,充分体现落实《实施意见》的要求和精神,为考试招生制度改革的进一步深化打下了坚实的基础。
选择题典型试题分析与学习




非选择题典型试题分析、作答评价与学




数学
“试卷稳中求新,在保持结构总体稳定基础上,科学灵活地确定试题内容,强调数学应用,突出关键能力。”教育部考试中心命题专家认为,2018年高考数学卷一个突出的特点是,根据文理科考生数学素养综合要求,调整文理科同题比例,为新一轮高考数学不分文理科的改革进行了积极探索。
探索内容改革,助推素质教育
教育部考试中心命题专家介绍,根据文理科考生数学素养的综合要求,调整全国Ⅱ卷、全国Ⅲ卷文理科同题比例,为新一轮高考数学不分文理科改革进行了积极探索。试题采用“Y字形排列”,即文理科容易题和中档题相同,构成试卷的基础,在中途文科增加中档题,理科增加较难题,组成文理科不同难度结构的试卷。通过这样先合后分的设计达到多个目的:一是增加文理科共同题的比例,二是提高文科试卷的得分率,三是增强理科试卷的区分效果。
北京市古城中学数学特级教师刘永江认为:“文科与理科合卷是未来数学高考改革的既定方向,如何兼顾文理倾向不同学生,保障试卷考查结果公正性,科学合理设计新形势下的数学高考试卷,就自然而然成为迫在眉睫的问题。”
从2017年开始,北京市数学高考试卷进行大胆尝试,在文理同题上迈出了可贵的第一步。在今年的数学高考试卷中,刘永江更加强烈地感受到了这种变化的力度。
刘永江说,从今年北京数学卷来看,文理同题的数量有所增加,达到了6道题,占到了总题量的30%。“另一个特点是题干相同,问题却不同。例如,文理的第17题题干是相同的,但是在具体问题的设计上,命题组充分考虑到了文理生差异,体现了高考的公正与公平。”
浙江省今年是第二次实行数学文理合卷。浙江省数学特级教师、浙江省首批正高级教师、嘉兴市第一中学校长卢明分析,今年的试题继续秉持2017年“文科起点,理科终点,有效区分”的命题策略,“文科起点”就是“保底分”,如今年的选择题第1至5题,每题4分,难度较低,只要概念清晰,仔细作答,基本都能做对;“理科终点”就是“有效压轴”,控制数学尖子生的高分及140分以上的高分段人数;“有效区分”就是通过中档题和解答题的分步设问,让不同水平考生有不同表现,以达到有效区分目的。
聚焦主干内容,突出关键能力
“多考一点想的,少考一点算的。”在教育部考试中心命题专家看来,2018年数学全国卷立足于培育学生支撑终身发展和适应时代要求的能力,重点考查学生独立思考、逻辑推理、数学应用、数学阅读和表达等关键能力,重视学科主干知识,杜绝偏题、怪题和繁难试题。通过高考引导中学教学遵循教育规律、回归课堂,用好教材,避免超纲学、超量学。
事实上,数学的符号语言是数学抽象性的一种具体体现。数学符号语言的翻译能力,也恰恰是学生应当养成的一种基本数学素养。在刘永江看来,今年的北京市数学高考试卷中,命题组适当地增加了数学符号语言的运用。
刘永江举例说,比如文理的第8题,将原来学生常见的不等式组的形式用集合语言进行了表达;还有理科第12题把不等式组的表达改为了连续不等式的表达形式。他认为,这些看似形式上的变化,背后表达的是对数学抽象这一核心素养的全新诠释。
湖南省首批正高级教师、株洲县第五中学学术委员会主席阳志长同样认为,今年全国卷在注重培养能力的同时,也在向素养提升的方向转变。
他解释说,考生要具备数学思想,能够读懂命题者的隐性意图,并将之转化为显性的解决问题的手段。他举例说,文科第19题为“节水问题”,要求学生进入问题情境,运用所学数学知识进行数*运学**算、数据处理、统计推断,回答现实问题;理科第19题“产品检验问题”,不仅考查概率、期望等数学知识,还重点考查学生运用所习得的数学知识、思想方法,创造性地解决实际问题的关键能力和必备品质。
强调数学应用,考查数学思维
在教育部考试中心命题专家看来,把高考内容与国家经济社会发展、科学技术进步、生产生活实际紧密结合,通过设置真实问题情境,来考查学生灵活运用所学知识分析解决实际问题的能力,引导学生从“解题”走向“解决问题”,也是此次高考数学的一大亮点。
同时,在今年高考命题中,应用题部分还将数据准备阶段的步骤减少,给考生呈现比较规范的数据格式或数据的回归模型。“采取‘重心后移’的策略,把考查的重点后移到对数据的分析、理解、找规律,减少繁杂的运算,突出对数学思想方法的理解和运用能力的考查。”教育部考试中心命题专家说。
教育部考试中心命题专家举例说,如全国Ⅱ卷第18题,以环境基础设施投资为背景,体现了概率统计知识与社会生活的密切联系。试题采用真实数据,增强了试题情境的真实性和可靠性。全国Ⅲ卷第18题减少了烦琐的数据整理步骤,将考查重点放在运用概率统计思想方法分析和解释数据之上,突出了考查重点。
教育部考试中心命题专家介绍,今年数学卷还体现出鲜明的创新导向,创新试题的呈现方式和设问方式,让学生从不同角度认识问题,鼓励学生主动思考、发散思维,激发学生的想象力和思想的张力,把学生从标准答案中解放出来。
“如文科数学全国Ⅰ卷第17题在所求数列中加入了讨论,判断问题,通过层层递进、逐步深入的设问展现了思维的过程,充满了探究的味道,体现了新课程标准研究型学习的理念。”教育部考试中心命题专家说,希望通过增强试题的灵活性和开放性,采取多样形式,降低题海战术、机械刷题的效果,从而起到减负的作用,引导基础教育向素质教育扎实推进。
全国一卷
一、 总体评价
1、难度适中,利于发挥
全卷整体难度比2017年略易,从前往后坡度较缓,无偏难怪题,符合一线师生预期,有利于考生考场正常发挥。简约而不简单,深刻而不深奥,加强了对“核心素养”的考查;
除了压轴题,几乎是一马平川。除了选择第12题较难以外,选择、填空题没有往年的梯度,大部分都比较容易,今年解答题梯度也不明显,立体几何、解析几何题比往年难度有所降低。整套试题计算量也适中。但试题陷阱林立,特别是选择题,很多粗心考生很有可能中招,可能感觉良好而得分不佳。尽管这样,相信今年考生应该开心一回了。
选择题基础题偏多,复数、集合、概率、数列、向量、切线、三视图、函数与导数圆锥曲线等都比较常规,有一定基础的学生做对11个,问题不会太大。
有特点的题目:第10题,此题计算面积时与初中几何勾股定理有很大关系。
第12题,并没有考查常考的热点函数与导数压轴题,考查了立体几何,难度在于找到符合题意的平面,而且要找到与平面每条棱所成角度一样。若学生对立方体非常熟悉,才能解答。
填空题:线性规划、数列、排列组合非常常规,第16题在思维上对学生可能有难度,大部分学生可能会直接去化简合并,但不会成功;直接求导讨论函数的极值点会成功。
17、18题,解三角形和立体几何,常规题。
回避了全国各地模拟考试中的热点题型,例如在全国各地二模考试中,第17题普遍为数列题,自2011年以来首次没有了程序框图题及第二次无二项式定理题(2012年新课程卷也无二项式定理题);
几乎出乎所有人意外的是“概率统计题”出现在了试卷的第20题的位置,让人既感意外,但又在情理之中,突出了应用意识与创新意识的考查,同时进一步落实了“少考一点算,多考一点想”又一命题理念。
19、21题第一问基础好,没有问题,19题第二问需要花点时间,21题压轴题有一定难度。
2、考试内容
考试内容、范围与去年基本没有大的变化。值得注意的是,今年删掉算法与框图知识点,数列没考解答题,而加重了计数原理与概率统计知识的考查(三道题)。立体几何、函数与导数、解释几何知识点是历届高考永恒的主题。
3、能力立意,注重应用
在一如既往重视基础知识和基本技能的同时,注重考查逻辑推理能力、应用能力、运算能力、空间想象能力、创新能力,强调对数学本质的理解。试题从学科整体意义和数学素养的高度立意,重视通性通法,淡化特殊技巧,加强针对性,有效检测考生对数学知识中所蕴涵的数学思想方法的掌握程度。第9、16、21题考查了函数与方程的思想,第7、9、10、16题考查了数形结合的思想,第21题考查了分类讨论思想。
4、平中见奇,适度创新
填空题与解答题虽然难度偏易,但灵活性较强,全卷在平实、平和中适度彰显创新性、综合性与实践性,以体现高考的选拔功能与导向作用。如理科第3、7、12、16、20题均体现了本卷的创新性、综合性等特点。第3、15、20题考查学生的实践意识与应用能力。第10题考查数学文化。
本卷创新性还体现在概率统计大题与解析几何大题的序号调整上,解析几何大题的难度明显降低,今年理科数学2卷也有类似的调整,这给中学界传达出这样的信息:各知识板块的难度与题序在高考试卷中不是一成不变的,命题者会根据当年相关情况适当地做些调整和创新。
本卷美中不足的是第21题与湖南省2011年文科数学第22题几乎雷同。我们认为,为了保证高考的公平性,高考试题尤其是后面六道大题应尽最大可能规避陈题。


二、2019备考复习建议
1、 今年考查内容删除或减少的必考知识点,明年可能会出现或增加,比如删除的内容:算法与框图(选择题:无 填空题:无 解答题:无);减弱的内容:(数列:选择题(4) 填空题(14) 解答题:无) 关注变化,有备无患。
2、 函数与导数、立体几何、解释几何内容历届高考分值很大,备考应该注重强化基础知识的巩固和知识网路的构建,通过提升学生知识迁移能力、综合分析能力去提高应考能力。
3、高三复习既要注重主干知识,又要不忘边缘考点,例如排列组合题不是主干知识,属边缘考点,但2018年全国高考理科数学I卷中考了且为填空题;既要多做题,又要消化好已做的每道题,更要举一反三,融会贯通,又如2018年全国高考理科数学I卷中的概率统计题与2016年全国高考理科数学I卷中的概率统计题如出一辙。
排列组合题↓↓↓

4、高度重视对基础知识、基本技能的理解与运用。在复习中引导学生回归教材,理解数学本质,真正发挥教材的示范引领作用与育人功能。还可以借助数学趣题、数学家故事等数学文化内容来激活课堂,激发学生的数学学习兴趣。
5、新课程改革正在启动,教师的专业水平和育人能力正朝着“理解数学、理解学生、理解教学”这一核心素养落实,高考也应该与之衔接。试题更加不可能向高难度方向发展,今年的试题就是体现。但数学三大能力的培养永远都是核心,打好双基,培养三大能力才是应考的王道。注重培养学生的逻辑推理、实践应用、数形结合、反思领悟等能力,重视培养和提高学生的运算能力与运算速度。
6、培养学生思维的灵活性与创新性。不盲目追求题量,而是注重引导学生经历相关知识的发生发展过程和试题分析求解的全过程,充分挖掘典型试题的内在价值与迁移功能。可通过设计变式题和在各模块知识的交汇处命制试题,以及适当设计一些新背景题、创新题来培养学生的思维能力与创造意识。
(*以上内容综合自:深圳师者情怀(ID:sz-szqh)(作者深圳黄元华、常德刘强弘)、惠高实验教研(ID:hgsyjy)、知行生涯(ID:DTZX-100)、明师教育(ID:ms4008838128),特表感谢!)
全国二卷
数学全国二卷(理科)保持其一贯的风格,保持平稳,坚持考查通性通法,基础与能力考查并重,难度甚至略微有所降低,几乎没有偏难怪的考题,不少题目直接由课本题目改编而来,比如填空题前三个题目,但是要得高分,必须谨慎细心。大题中,解析几何和立体几何的出题顺序有所调整。试卷整体还是坚持对基础知识的考察,注重数学在生活中的运用。理科难度稳中略降,表现在解答题中解析几何题难度明显下降,导数的应用也略有下降。
一、试卷特点
1、内容传统,遵循考纲和考试说明
今年数学试题所涉及的知识内容均限定在考试大纲的范围内,复数、集合、向量、算法、函数、三角函数、立体几何、解析几何、线性规划等依然在客观题中进行考察,计算量适中。解答题和以往一样,依然考察六种题型,数列、统计、立体、解析、导数、选修,但各题梯度变化不明显。
理科解答题17题数列只需直接代入公式,相当于我们平时模拟题中的一道选择题。解答题21题考察的是导数中的零点问题,其中理科第二问容易写出结果,但讨论全面不容易。
文科第二问思路比较常规,但严密证明有难度。
选修考察内容基本,难度较以往有所降低。整套试题涉及内容都是我们在教学中重点强调,在考前反复训练的。
2、体现了新课标的课程理念
对新课标中所增加的内容有所考察,例如理科选择题第8题中考察了数学文化。解答题第18题考察了学生利用统计知识解决实际应用问题的能力,要求学生对数学模型建构过程的理解要准确,才能准确甄别哪个模型更好。
3、结构稳中有变,创新不明显
客观题中没有对三视图进行考察。主观题立体几何和解析几何互换了位置,使得试题难度降低。整套试题解析几何部分圆锥曲线覆盖全面,但运算量减小,更侧重于定义、性质的考察,例如理科第12题,19题。16题考察了近几年出现频率较低的圆锥。
文理选填区别较大,解答变化较小。文理选择6个相同,6个不同,填空1个相同,3个不同,但解答题相同题目较多,除了立体第二问和导数。
4、两个重大变化
(1)今年理科把往年一直延续的第19题(立体几何解答题)与第20题(解析几何解答题)的位置对调,变为第19题为解析几何解答题,第20题为立体几何解答题。并且立体几何的难度与往年基本持平,没有上升,而解析几何题的难度明显下降。
预测今后将保持这一新的排序。这个排序的变化是一个标志性的信号:降低试卷的整体难度!
(2)文理科试题的重合度显著增高。其中选择题有6个题完全一样,2个题相近;填空题有2个题完全一样,1个题相近;解答题必考题部分有3个大题完全一样(第17、18、19题),选考题完全一样(选考题往年也完全一样)。即全卷23个题有13个题完全一样,还有3个题接近!而往年远低于这个比例。
这一变化预示着:已经开始为未来文理科高考合卷做准备;微降理科试卷的整体难度,升高文科试卷的整体难度,预测今后将保持这一变化,但今后理科继续降低难度的空间不大。
二、题型及考点分析
基础知识题保持稳定,主干知识常考常新。概率统计、立体几何、圆锥与曲线、函数与倒数等知识点分布和去年相比保持稳定。
知识点既全面又突出重点,整体来说凸显了数学科学和人文价值,考察了学生后续学习潜力。
整张试卷集中考察了高中数学的主干知识和高频考点,主要表现为:对基础和数学能力的考察,继承了往年试题的传统;在题型设置方面,平稳中有变化;在加强数学应用意识和创新意识的培养方面,变化中有创新;对规范和严密性考察,绵里藏针。
在函数、立体、解析、概率统计、三角和数列等部分的考察继承了往年的传统,函数共考察27分,立体共考察22分,解析共考察22分,概率统计17分,三角共考察15分,数列共考察12分,总计115分。
在题型设置方面,今年的试卷在平稳中存在一些变化。比如小题中没有考察三视图,课改10年以来,这是第一年没考三视图,当然这也许和新一轮课改中将要删除三视图有关;第16题以求圆锥体侧面积的形式考察了旋转体轴截面、线面角、正弦定理等知识的综合运用,在知识点的相互联系上有一定的变化;还有一个较大的变动:大题中19题以往考立体几何今年考察了解析几何, 20题以往考察解析几何今年考了立体几何,考察内容互换了,同时,解析几何难度明显下降,而立体几何难度相对较大,主要体现在规范性要求高和计算量增大上。
今年的概率小题第8题以哥德巴赫猜想为背景,考察古典概型知识的运用,背景充满了数学文化的韵味,又新颖独特;大题第18题,以生活中大家比较关注的环境问题为背景,考察对统计概念的理解,第二问以开放的情景进一步考察了学生对统计知识的运用,即突出了数学的应用价值,又体现了创新意识的重要性。
虽然整张试卷难度不大,但用心研究会发现,想打高分甚至满分并不容易。比如:20题(2)首先要由已知二面角得到M点的坐标,再利用M点的坐标计算线面角,这一过程中对同学们的书写规范、计算速度和准度都有较高的要求;22题(1)看起来不难,但很容易出现严密性方面的疏漏,直线的参数方程化为直角坐标方程的过程中如果引入正切值表示斜率,那么很容易丢掉倾斜角为直角的特殊情况,易被扣分;21题(2)常规解法为分类讨论,其中对0<a<0.5的讨论比较有难度,想要严密完整解答也是比较难的,这道题在数学尖子生中有一定的区分度。
三、2019高考备考建议
第一,在以后学习过程中还是要夯实基础,以后考试中基础分一定要得到。拉开分值的往往不是所谓的难题,而是基础题。
第二,要重视教材,回归课本。教材是命题的依据,很多题目解题的切入点都是书上的基础知识。要学会总结,学会运用知识的交汇。
第三,在备考中,要注重梳理总结,注重错题。一定要重视规范答题,运算要规范,表达步骤要规范齐全,推理要清楚,卷面要整洁。
在教学中一定要加强学生核心素养的培养。用数学眼光观察世界、分析世界、解决问题,而不是在题海中增加学生负担。
(*以上内容综合自哈尔滨师范大学附属中学王海燕老师,哈尔滨市第三中学南岗校区刘丹老师,哈尔滨市第三中学李爽老师,西安铁一中朱琳老师,长安一中罗理想老师,内蒙古招生考试(ID:nmgzskszwx)(作者:内蒙古师大附中朱彧老师)等几位老师的观点,特表感谢)
全国三卷
2018年全国三卷理科数学试题从整体上讲,没有片面或者过度的追求创新,试题简洁明快、自然清新,阅读量小,在平和中见新意,在朴实中见灵动,非常重视基础知识、基本技能和基本思想方法的考查,坚持能力立意,突出对高中数学主干内容的考查,没有什么偏题和怪题,对中学数学教学有很好的导向作用。
具体来说,今年理科三卷试题有以下一些特色:
试题注重对基础知识和基本技能的考查,贴近高中教学实际,试卷中的每种题型均设置了数量较多的基础题,许多试题都是单一知识点或者最简单知识的交汇,这类试题能够很好的稳定考生情绪,也对中学数学重视基础知识和基本技能教学具有良好的导向作用。
同时试题也对支撑数学知识体系的主干内容进行了重点考查,如函数与导数、平面向量与三角函数、立体几何、解析几何、数列、计数原理与概率统计等内容的考查竟然高达130分,这充分的体现了理科三卷试题对主干知识的重视程度。
今年理科三卷数学试题以稳为主,没有片面或者过度的追求创新,但很多试题还是在平和中见到了一丝新意,如第3题,以中国古建筑借助榫卯连接木构件为背景,很好的命制了一道三视图试题,考生需要先观察卯眼的直观图,再想象其俯视图,这和以往多数通过所给三视图想象直观图的命题方式相比,确实增添了一些新意,另外也传播了中国悠久的文明和智慧;再如第8题,以考生熟知的“移动支付”为切入点,很好的考查考生对概率和离散型随机变量等数学知识的理解和应用,同时也体现了中国互联网科技的飞速发展;第12题也是一道很有亮点的试题,以简单的对数运算为载体,考查考生综合运用数学知识分析和解决问题的能力,在解题过程中需要具备思维的灵活性、解题的创造性;第21题第一问不等式证明问题考查了考生转化与化归的思想方法,不同水平考生可以利用不同层次的方法解答,能够体现考生的数学能力和思维水平,第二问起点低,问题看似常规,但落点高,实际解答过程对考生的逻辑思维与运算求解能力提出了很高的要求,这类问题有利于发展学生的数学思维品质,有利于高校选拔有潜能的新生。
总之,今年理科三卷数学试题难度结构科学合理,能区分不同层次的考生,达到有利于科学选拔人才、有利于中学实施素质教育、有利于维护社会公平和稳定的目的。
北京卷
2018年普通高等学校招生北京数学试卷的试题题型、分数设置保持稳定,难度分布基本合理。试卷内容覆盖知识全面,重点知识重点考查,突出数学概念及应用,注重考查知识的形成过程。
一、立足主干知识
2018年北京高考数学试卷以《考试说明》为依据,着力于函数与导数、三角、数列、概率、立体几何、解析几何这些主干知识,通过设计解答题来重点考查。
二、突出思想方法
2018年数学试卷中考查了数学中的分析法、综合法、归纳法、反证法、数形结合、分类讨论、等价转化、函数与方程等数学思想方法。
参考例题:
文科19题,理科18题的第二问,需要借助于分类讨论的思想,分成两大类,或更多的小类,再根据极小值点的概念作出解答。理科5(文科6)题、文科7题,都体现了用数学直观的方法去解决问题的考查要求。
三、凸显能力立意,考查数学核心素养
数学课程标准中提出了数学六大核心素养,即数学抽象、逻辑推理、数学建模、直观想象、数*运学**算和数据分析。《考试说明》中提出要突出数学试题的能力立意,坚持素质教育导向。其中,逻辑推理是得到数学结论、构建数学体系的重要方式。
参考例题:
理科16题是一道立体几何的问题,在第二问中需要学生自主思考找到三条互相垂直的直线建立空间直角坐标系。文科20题,在第三问中,通过让学生论证三点共线,培养学生探索精神。
随着人工智能的迅猛发展,大数据时代的到来,数据分析在科学、技术、工程和现代生活中有着更加广泛的应用。
参考例题:
文科17题和理科17题的概率统计题贴近生活。题目给出了近几年在国内市场上放映的两千多部电影的真实数据,从多个角度进行分析,目的是为了预测和提高电影质量。文理科试题在同一个真实背景下,各有侧重。
四、考查数学创新精神
北京学生视野宽,知识面广,在综合地应用数学知识去分析问题、解决问题方面具有一定的优势。他们敢于质疑,独立思考,具有较强的创新能力。因此,2018年试题强调开放性和创新性,选择非常规的情境和思维深刻的问题,让学生综合地运用所学的知识,多角度、多层次地思考问题。
参考例题:
文科11题和理科13题,属于开放型试题,答案不唯一,分别以简单的不等式和函数的单调性概念为载体,创设合适的数学情境,提出合适的数学问题,引发学生开放性思考,创造性的构*反造**例。
参考例题:
文理科第8题,以不等式组的解集构成的点集为载体,考查基础知识的同时,考查逻辑推理能力和创新性思维。本题的解题思路多样,可以从代数角度出发,先考虑点在集合内,再用补集的思想,就能快速的解决问题;也可以按照线性规划的知识去画题设中的集合表示的区域,因为含有参数,所以表示的是一个动态的区域,合理的分类讨论是关键。
五、对文科试卷的评价
2018年北京高考数学科目文科试题突出立德树人,突出数学核心素养的考查,重视考查学生对数学概念的本质的认识,注重通性通法,强调数学实际应用和学生的生活体验,体现中国传统文化。在减轻学生负担和指导日常教学等方面都做了积极的探索。
1、注重基础,突出主干
和2017年试卷相比,多数试题的知识呈现形式及顺序基本不变,如选择题前三道试题考查的内容和前四道解答题考查的顺序完全一致。
从考卷看文科选择题前六个,填空题前五个,文科前四个解答题都非常注重基础,有利于考生稳定心态,正常发挥水平。同时试题对高中数学课程的主干知识:函数、导数与不等式、三角函数、数列、立体几何、解析几何、统计概率等内容,保持了较高比例的考查,保持文科试卷注重基础考查的特色。
2、关注本质,注重能力
试卷中,很多题目注重知识之间的联系和适度的综合,关注数学问题的本质,呈现方式和设问方式比较新颖,考查考生思维的灵活性。
参考例题:
第(7)题考查三角函数定义,呈现形式新颖;第(8)题,考查元素与集合的关系,在平面区域变化过程中,恰当选择解决方法;第(14)题通过三角形面积来考查余弦定理,从几何角度考查极限的思想。
3、联系实际、重视文化
参考例题:
试卷第(5)题以音乐为背景,将音律和数学知识自然结合,考查等比数列的概念和通项公式,结合巧妙,背景真实,和2017年以围棋为背景的试题一样,让学生体会数学在应用中的价值以及古代中国数学的文化成就。
参考例题:
第(17)题,以真实数据为背景,考查学生运用概率和统计知识解决实际生活中的问题,希望考生在新情境中提取有用信息,考查分析问题和解决问题能力。要求学生分析所给的条件,把实际问题数学化,合理建立模型,进行理性思考。
4、立意素养、体现选拔
试卷以突出数学思想方法的考查和数学核心素养的培养为立意,在关注考生未来发展,体现选拔功能等方面进行了精心的设计。
参考例题:
第(15)题将等差、等比数列知识与指数、对数运算相结合,突出数*运学**算核心素养的考查;第(6)和第(18)题考查直观想象核心素养;第(19)题突出考查逻辑推理核心素养。第(20)题梯度明显,体现北京特点,考查创新意识。
六、对理科试卷的评价
2018年高考数学北京卷在坚持重视基础的同时,注重思想方法的考查。试卷突出考查了学生的数学素养、数学应用意识、理性思维等,在数学文化方面也有所体现。
1、整体稳定,适度创新
整份试卷平和稳定、注重基础考查,例如选择题的前几题是学生熟悉的集合、复数、程序框图等问题,这与2017年试题位置相同,面貌相似,但在细节的呈现上,稍有差别,这些题目入手容易,有助于考生的稳定发挥。
试卷突出了基本技能、基本思想方法的考查。例如读图、读表、计算、数据处理等基本技能,数形结合、转化与化归等基本数学思想方法。
参考例题:
例如选择题第(7)题,以点到直线的距离为考点,从一个新颖的视角考查了学生对运动与变化问题的认识和理解;例如选择题第(8)题,以集合的形式呈现,以线性规划知识为考点,考查学生转化与化归的数学思想。
2、注重理解,考查本质
试题在考查通性通法的基础上,注重数学本质的考查,同时避开了模式化的命题思路,这就要求学生在对相关的数学概念理解的基础之上,选择合适的方法解决问题。
参考例题:
例如填空题第(12)题本质上考查的是线性规划问题,但在问题的呈现方式上有别于常见的不等式组;例如填空题第(14)题考查圆锥曲线概念与性质,而不是单纯的计算;再例如解答题第(18)题的第二问,学生可以通过分类讨论的方法解决问题,但是如果对极值概念有深刻的认识,则可以避免繁琐的讨论,优化解法。
3、强调数学应用,体现传统文化
试卷在注重知识和方法考查的同时,强调数学的应用,并且体现了传统文化。
参考例题:
例如选择题的第(4)题,以音乐中的“十二平均律” 为背景,有机的将我国古代音律方面的成就与数学中的等比数列概念结合在一起,同时还考查了指数运算;再如理科第(17)题,将电影评分问题与概率统计知识相结合,背景中的数据真实,问题源自生活实际,却又高于生活,突出了数学的应用价值。
4、关注数学核心素养,引导课堂教学
整套试卷对数学核心素养进行了充分的考查。
参考例题:
例如选择的第(6)题考查了逻辑推理素养,第(7)题,第(10)题考查了几何直观素养,第(20)题对数学抽象素养进行了考查等等。填空第(13)题保持了去年开放的命题风格,以举例证伪的形式,考查知识的形成过程,引导课堂教学更加注重过程和方法。
纵观整份试卷,在主干知识,核心思想方法,数学本质的考查上,保持北京试题的特点,避免了“偏题,怪题,难题”,为减轻学生过重的学业负担起到了积极的引导作用。
(*以上内容来源于首都教育,特表感谢)
上海卷
2018年普通高等学校招生全国统一考试(上海卷)数学科目考试于6月7日下午顺利结束,市教育考试院随即邀请了上海交通大学张晓东、华东师范大学林磊、延安中学张雄、控江中学许敏、上海财经大学附属北郊高级中学张林森等沪上部分学科专家就此次数学卷进行座谈研讨。专家们普遍表示,试卷严格遵循上海市数学课程标准的要求,整体结构设计合理,注重核心素养和关键能力的考查,体现科学性、公平性。立德树人,体现学科育人价值。
一、注重核心素养和关键能力的考查
试卷重视逻辑推理能力的考查,要求学生在比较复杂的情境中,对问题所出现的信息进行合理整合、抽象出问题中所隐含的数学本质。
试卷对学生自主学习能力、创新意识与实践能力均有一定的考查要求,不仅要求学生对数学概念有记忆性认知,还需要一定数学素养的支撑。例如,提出“接近”数列这一新的概念,需要学生在自主学习的基础上进行探索、研究,形成解决问题的策略与表达。又如,通过一个图像的旋转,考查学生对函数概念的理解。
试卷注重对直观想象能力的考查,要求学生能借助几何的直观和空间想象,建立数与形的联系。例如学生通过阅读三个代数式子,把直线和圆位置关系的代数表达转换成几何特征,进而求解一个最值问题。
二、突出学科特征与能力培养
试卷延续了难度从低到高的设计理念,从基础试题开始,能力要求逐渐提高,突出学科特征与能力培养,对不同思维水平的学生有很好的区分效果,有利于科学选拔。
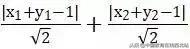
试题注重考查数学学科的表达特征,如对实数x1、x2、y1、y2满足等式的数学理解,对所求表达式

的几何理解,体现了数学表示中不同语言形式之间的换化。这样的试题考查学生的数学阅读等关键能力,对中学数学教学有良好的导向。例如,在讨论两个无穷数列“接近”关系的问题中,对于给定一个数列的前四项,分析第二个数列前四项的取值范围,得到所需结果。在此思考过程中,考查学生的逻辑推理能力和分析问题解决问题的能力。然后需构造出满足条件的两个无穷数列,由此考查学生思维的缜密性。
三、试卷结构稳定,运算量适当
整张试卷与去年试卷的结构、题型、题量、难易度一致。在考试目标上,数学基础知识与基本技能约占40%,逻辑推理能力、运算能力、空间想象能力约占40%,数学应用与探究能力约占20%。考试内容中,数与运算、方程与代数、函数与分析、数据整理与概率统计约占65%,图形与几何约占35%。试题有很好的层次性和梯度。不仅注重数学基础知识和基本技能的考查,还注重数学思想方法的考查,对一些重要的数学思想方法均有涉及,比如数形结合、等价化归、分类讨论等。整张试卷的运算量适当,避免繁杂的数字与字母运算,扩大了学生的思维空间。
四、立德树人,体现育人价值
可喜的是,试卷中出现了我国古代数学的经典名著——《九章算术》,题目中以书中的“阳马”概念为载体,考查了立体几何中的棱柱与棱锥,设计思路新颖。试题将数学文化有机地融入试题,对于弘扬中国传统文化,树立文化自信,很有现实意义。
在有关对群体的人均通勤时间的应用题中,要求在对人均通勤时间函数单调性讨论结论后,说明其实际意义。可知自驾群体在整个上班族中占比达到一定值后,人均通勤时间随自驾群体占比的增加而增加,从而隐含了鼓励公共交通出行的环保理念,宣传绿色生活、保护地球的现代意识,体现了立德树人的思想。
(*以上内容来源于上海发布,特表感谢)
政治
2018年高考思想政治科命题工作,落实立德树人根本任务,贯彻高考评价体系框架理念,全面深化高考内容改革,助力提高学生思想政治素质。
突出重大主题,体现学科促进素质教育的育人导向作用
围绕社会生活中的重大主题,引导学生关注生活热爱生活,培养社会责任感和主人翁精神,逐步形成正确的世界观、人生观和价值观,为全面发展奠定思想政治素质基础。
1、紧扣*党**的理论创新成果,促进发展政治认同素养
突出把握正确政治方向,将习*平近**新时代中国特色社会主义思想和*党**的十九大精神等融入命题,引导学生坚定拥护中国*产党共**领导,树立中国特色社会主义共同理想,增强“四个自信”。如文科综合全国II卷第39题,以*党**的十九大报告和新修订的*党**章有关“*党**的领导是中国特色社会主义最本质的特征”的重大论断为材料,要求学生分析为什么要“坚持*党**对一切工作的领导”,引导学生坚定拥护中国*产党共**的领导。
试题选取习*平近**总书记重要论述为材料,引导学生思考、领悟其中深刻的哲学方法。文科综合全国Ⅱ卷第22题选取了习*平近**总书记在*党**的十九大报告中有关新时代中国特色社会主义发展战略安排的相关论述,不仅使学生了解我国未来的社会发展安排,而且充分认识到社会发展是客观规律性和主观能动性的统一。
2、紧扣学习宪法、尊崇宪法,扎实培养宪法意识
高考以2018年宪法修改为契机,通过试题激发、促使学生更加深刻地认识宪法。文科综合全国I卷第39题的突出特点是通过引导学生对宪法修改过程的分析,提高学生对我国社会主义民主政治伟大实践的正确认识和把握,从而引导学生深刻理解宪法对*党**和国家事业发展的重大意义,助力学生增强宪法意识。
3、紧扣弘扬伟大民族精神,着力增强文化自信
高考命题将伟大民族精神的丰富内涵融入考试内容中,增强试题试卷的文化感染力,发挥春风化雨、润物无声的作用,引导学生增强民族自信心自豪感。文科综合全国Ⅱ卷第40题以我国水稻育种专家袁隆平院士为代表的杂交水稻研发团队长期从事杂交水稻研发推广,取得举世瞩目的成就为素材,充分展现了奋斗精神的时代价值和强大生命力,彰显了中国文化的价值。思想政治全国Ⅳ卷第25题以我国航天人自力更生、自主创新、锐意进取、顽强拼博,攻克了一系列关键技术,推动中国运载火箭实现了跨越式发展的事迹为素材,设计试题,引导学生学习航天人的创造精神,激发创新活力。
聚焦关键能力,深入考查学科思维品质
突出考查学生理论思维能力、法治思维能力、价值判断和价值选择能力,引导学生关注思维过程,提升思维品质,助力素质教育发展。
1、注重考查运用马克思主义立场观点方法把握问题的能力,引导学生培养理论思维能力
培养运用马克思主义基本观点和方法分析、把握问题的能力,是课程标准对学生能力培养要求中明确规定的重要目标。文科综合全国Ⅰ卷第40题,以我国改革开放40周年为背景,要求学生运用生产力和生产关系的辩证关系原理分析不断改革的必要性和重要性,引导学生增强理论思维能力,学会运用唯物史观深刻把握重大问题。
2、加强对法治思维能力的考查,促进学生尊法学法守法用法
加强对学生法治思维的考查,培养学生的法治意识,引导学生在生活中自觉依法行使权利、履行义务,主动地维护社会公平正义,做社会主义法治的忠实崇尚者、坚定捍卫者。文科综合全国II卷第16题,以民法总则的相关规定为材料,引导学生关注我国社会主义法治建设的实践和重要成果,并结合所学知识深化对公民权利和义务的理解。文科综合全国III卷第16题,以《中华人民共和国*歌国**法》的颁布为背景,引导学生思考*歌国**法对于保障公民依法使用*歌国**权利和义务的重要意义,促进学生遵法学法守法,增强国家观念,培养爱国主义精神。
3、强调对价值判断和价值选择能力的考查,助力学生培育社会主义核心价值观
试题弘扬和培育社会主义核心价值观,引导学生增强价值判断和价值选择能力。文科综合全国III卷第40题以甘祖昌的感人事迹为材料,引导学生坚定理想信念,牢记使命,确立和践行社会主义核心价值观。
优化考试内容和考查方式,推动发展素质教育
命题能否实现考查目的和意图,依赖于考试内容和考查方法的正确选择。考试内容的优化,考查方式的恰当,对于构造一个好的考试具有十分重要的意义。
1、围绕学科主干,突出基础考查,体现基础性要求
思想政治科高考试题的基础性主要指向学科主干知识考查。加强学科主干考查,也即对学科基本概念、基本原理和基本思想方法的考查,杜绝偏题怪题和繁难试题,是引导教学遵循教育规律、回归课堂教学、避免超纲超量学习的必然选择,也是保障基础教育人才培养质量的内在要求。试题采用灵活多样的方式考查基础知识、主干知识,意在引导中学的“教”与“学”打牢知识基础,关注灵活运用,摆脱反复刷题、机械训练的沉重负担。文科综合全国I卷第12题,以表格形式考查劳动价值理论中的基础知识,厘清了社会劳动生产率与单位商品的价值量、单位时间创造的价值量和商品价值总量之间的关系,表格信息量大且简洁清晰,便于学生比较;文科综合全国II卷第12题,用需求曲线的移动考查甲、乙、丙三种相关商品的替代互补关系,将基础知识图形化,考查学生的图形分析能力;文科综合全国III卷第15题,用某国2013~2017年对外贸易差额变化图为材料引导考生思考该国平衡总体贸易收支的政策,考查学生从经济数据图中获取关键数据进行判断推理的能力。
2、聚焦问题解决,强调理论联系实际,体现应用性要求
高考强调的理论联系实际,是围绕解决现实问题、聚焦问题解决展开的。文科综合全国Ⅱ卷第14题,通过构建某国财政赤字率和通货膨胀率连续上涨的场景,要求考生思考应对措施。试题考查学生从政策层面寻求解决方案的能力。
3、增强试题灵活性开放性,突出思维考查,体现创新性要求
通过增强试题灵活性开放性,多角度提问、鼓励创造性作答等方式,考查学生的发散性思维和独立思考能力,以此引导学生关注思维能力训练,从题海战术、机械刷题中解放出来。
思想政治全国Ⅳ卷第24题,要求学生结合*共中**中央、国务院支持海南全面深化改革开放,试行建设自由贸易区、自由贸易港的契机,选取一个海南传统产业为例,分析其依托的区位优势,并就如何抓住新的历史机遇促进其优化升级提出建议。试题具有开放性,学生可以根据自身对知识的把握,从旅游业、热带农业等行业中任选一个作答,使学生能够从标准答案的束缚中解放出来,独立思考,从而培养个性化、创新性思维能力。
历史
2018年高考历史试题重点考查核心价值、必备知识、关键能力和学科素养,体现高考内容改革对“助推改变应试教育,提升学生综合素质”的积极作用,实现高考选拔德才兼备人才、促进学生全面发展的素质教育要求。
聚焦立德树人,体现历史学科积极育人导向
1、引导考生树立正确的国家观、文化观、历史观
历史学科通过精心选取素材,构建试题情境,引导考生增强国家认同和民族自信心、自豪感,坚持唯物史观。如文综Ⅱ卷第42题讲述了近代著名洋务企业汉阳铁厂的建立、投产过程,反映出近代中华民族所遭遇的艰难曲折和中国人民的伟大奋斗精神,激励考生为实现民族复兴不断开拓进取。又如文综Ⅱ卷第27题呈现了传统戏曲昆曲的精美与雅致,Ⅲ卷第26题叙述了我国古代药学的发展脉络,具体考查了考生对传统文化的理解及认识能力。
2、激励考生形成正确世界观、人生观、价值观
历史科试题融入正确的世界观、人生观、价值观理念,启迪学生成为中国的世界人和走向世界的中国人。如文综Ⅱ卷第41题以大豆在古代中国及19世纪以后在美国的种植利用为情境,考查我国古代农业科技成就、人类文明交流等内容,凸显了构建人类命运共同体的历史意义。又如Ⅱ卷第45题考查1977~1981年我国科技体制改革的背景、意义等,使考生进一步加深对改革开放历史意义和科学技术在现代化建设中作用的认识。
3、为高校选拔具有家国情怀的学生
历史学科在试卷结构和考试内容选取上都注意与*党**和国家的人才选拔要求相契合,考查适应考生终身发展和社会发展需要人才的必备品格。如文综Ⅱ卷第47题描述了明代蒙古土默特部首领俺答汗之妻三娘子,以其杰出的个人能力与威望,维护明、蒙之间长期和平的事迹,考查考生对历史人物的认识水平和家国同构观念。
4、引导中学落实*党**和国家对历史教育的要求
历史科把马克思主义作为试卷的“鲜亮底色”,向基础教育界释放出强烈信号,即让马克思主义成为师生理解历史与现实的强大思维工具,并成为他们信仰的指引。如文综Ⅰ卷第29题以五四运动后社会主义是否适合中国国情的论争为背景,得出只有社会主义才能救中国的历史结论,考查了考生对历史上马克思主义的认识,引导考生认清科学社会主义和资产阶级改良主义的本质区别。
落实依纲考试,凸显考试与素质教育要求的内在联系
1、强调必备知识,避免“偏、难、怪、深”
历史试题无论主观题问题设计还是选择题选项设置无不以考试大纲为基本依据,对考试内容和要求进行了优化与整合,避免“偏、难、怪、深”,强调考查必备主干知识。如Ⅰ卷第26题和27题分别考查了宋代的手工业发展和明代的中外贸易,Ⅱ卷第32题、33题和34题分别考查了古代罗马法发展、早期资本主义殖民扩张和二战后欧洲经济一体化等。
2、找准关键能力,支撑学生终身发展
历史试题考查多种关键能力,包括信息加工、逻辑推理、独立思考等学习生活中必须具备的重要能力。多数题目都不局限于考查某一种能力,如文综Ⅰ卷第46题以中国*产党共**对第二次世界大战性质的认识为素材,要求考生说明中国*产党共**认识的变化及其国际背景,考生需要运用准确掌握历史时序、客观叙述历史事实、正确解释历史事物等能力进行综合思考。
3、注重学科素养培养,引导学生适应时代发展要求
历史学科坚持从多角度、多层次考查考生的学科素养,引导考生适应时代发展要求。如文综Ⅲ卷第41题以上海和曼彻斯特两个城市的发展为例,对现代化进程中的城市发展问题进行比较视域下的考查,涵盖了时空观念、历史解释、史料实证等学科素养,考生须运用历史唯物主义的基本观点进行说明。
优化考试理念,体现素质教育基本要求
1、夯实学习基础,考查学科主干内容
2018年高考历史试题依据考试大纲,考查基础知识和基本能力,无论是考试内容还是分值权重,重点都在于主干内容,以此保障基础教育人才培养质量。如文综Ⅰ卷第26题以考试大纲“古代中国手工业的发展”为考点,考查宋代民营手工业的发展;Ⅱ卷第26题以“汉到元政治制度的演变”为考点,考查考生对三省六部制度演变的认识等。
2、古今贯通,中外结合,考查知识整合、迁移能力
历史试题注重考查学生对知识的整合和迁移能力,在题目设计中做到古今贯通、中外结合,并以问题为导向,对知识与能力,理论与方法,情感态度价值观进行分层、综合、有效的考查。如文综Ⅱ卷第29题涉及俄国、法国、美国革命成功的历史经验,需要考生综合中外历史知识全面考量,才能深刻理解孙中山讲话的内在含义。
3、注重历史对现实的关照,以史为鉴
历史学科以试题为载体,强调历史的实际应用功能。如文综Ⅰ卷第28题以甲午战争期间清政府与日本在舆论宣传策略方面态度差异的对比,引导考生认识到外交宣传在引导国际舆论方面的重要性,认识到在国际环境局势复杂多变的今天,只有首先抢占舆论制高点,才能掌握主动权,快速反应、沉着应对。
4、创设新情境,提高学生对历史与现实的认识水平
历史科在考查基本思维能力和基本方法的基础上,通过增强情境的探究性和设问的启示性、开放性,考查考生独立思考和分析、解决问题的能力。如文综Ⅰ卷第42题以小说《鲁宾逊漂流记》的相关情节为素材,通过开放式设问,引导学生发现问题,运用已有知识分析小说中蕴含的历史现象,为考生最大限度地发挥自身优势创造了空间,体现了贯彻素质教育的要求。
地理
当前形势下,教育呼唤传统文化回归,提倡联系现实生活,这是时代发展的要求。通过高考地理试题,让传统文化走进学生的精神世界,用现实生活拓展学生的生存视野,这是高考地理内容改革的要求,也是地理教育发展应该实现的目标。
植入传统文化符号,分享古人的生活智慧
一、例1(2018年高考文科综合能力测试全国Ⅲ卷第1~2题)
油纸伞是我国非物质文化遗产,采用传统方法,全手工制作。油纸伞以竹为骨,以纸或丝绸为面,刷桐油以增强韧性并防水,但长期置于干燥环境中易变脆、开裂。近年来,油纸伞走俏国际市场。据此完成第1~2题。
1.与现代钢骨布面伞相比,油纸伞走俏国际市场依赖的主要优势是
A. 携带方便 B. 适用地广
C. 文化蕴涵 D. 经久耐用
2. 下列地区中,宜作为油纸伞重点推销市场的是
A. 欧洲西部 B. 中亚
C. 中东 D. 撒哈拉以南非洲
二、试题解析
1、考查工业区位、地理核心素养(综合思维)
与现代钢骨布面伞相比较,油纸伞携带并不方便,A错误。
油纸伞长期置于干燥环境中易变脆、开裂,适用范围有限,并不耐用,B错误。
油纸伞作为我国非物质文化遗产,具有较高的文化研究和保存价值,所以在国际市场上走俏,故选择C。
2、考查区域自然环境特征与人类活动的关系、地理核心素养(区域认知、综合思维、人地协调观)
油纸伞作为具有一定地域文化的雨具,其中基础功能是防雨,在降水较多的区域适用,选项中欧洲西部和撒哈拉以南的南非洲都有较湿润的气候区,但由于油纸伞制作工序复杂、文化价值高,售价也较高,所以在欧洲更具市场。选择A。
三、试题的特点归陈与质量评价
本组试题以非物质文化遗产油纸伞为主体,以制作工艺、原料属性、性质特点、文化元素和产品市场等有效信息为考察点,要求考生回应现时期油纸伞的市场优势和产品去向;试题信息简明,问题简约,文化味道浓厚,地理思维和畅,堪称精品。这是地理教育考试理念转变的重要举措,也是高考地理试题内容改革的一个重要信号。
1、以文化符号导向,引内容以明道
历史长河中的片言和只语、文化长廊里的精品与花絮,都是高考命题重要的取材线索。油纸伞作为我国重要的非物质文化遗产,历经千年经久不衰,在于其“顶天立地、辐射八方”的文化气质,也在于“伞上伞下、两个世界”的科学想象。试题文化视野开阔,地理思维绵长,主要表现在:
第一,实用性与文化性结合。一方面,试题提供油纸伞的制作材料(竹、纸或丝绸、桐油等信息,可以就地取材)与学生的学习经历、生活体验(避雨、遮阳等)相结合,体现了油纸伞的物质属性和实用价值。另一方面,试题提供油纸伞的制作工艺(制作技艺与艺术构想——竹为骨、纸为面、油为润等信息)与文化传承(伞面设计的文化色彩、人地和谐的生存理念)相结合,突出了油纸伞的精神属性与文化价值。
第二,民族性与世界性统一。民族的就是独特的,具有明显的区域色彩。就本土文化而言,产地不同,油纸伞的文化风格各有差异,如江西婺源、浙江杭州、云南龙陵、福建洋口等;从地缘文化来说,油纸伞传到朝鲜、日本、越南、泰国等地,也有明显的异域风情,尤其是唐朝时在日本盛极一时,称之为“唐伞”。民族的也是世界的,具有很大的普适性。试题提供“近年来,油纸伞走俏国际市场”的信息,反映了文化差异形成的文化欣赏和文化互补。这是对全球化意识和人类命运共同体理念的文化贡献。
2、以文化产品导疑,启问题以智见
手工产业的机遇与挑战。“油纸伞”题组以传统的手工产业开题,把文化内涵物化到油纸伞上。伞文化发展到现在,作为物质产品的竹骨油纸伞与钢架布面伞比较,“性价比”较低,成为高端品质的“小众文化”符号之一。手工油纸伞,原料可以就地取材,利于制作,具有明显的生态效益与社会效益;油纸伞做工精细,制作工艺复杂,时间长、成本高,利润较小,经济效益受到制约;油纸伞受原料和制作工艺的限制,伞体较重,携带不便,使用价值降低。试题信息呈现3个面向,说明生态效益、经济效益与社会效益的匹配度不够,“性价比”较低,竞争力不强;但是,由于油纸伞特殊的文化蕴涵,依然被国人和世人所钟情、所使用、所收藏。
文化产品的局限与传播。油纸伞源于我国南方地区,特殊的气候条件为油纸伞的诞生、发展变化奠定了良好的环境基础,这说明油纸伞的使用具有一定的空间适用性。历史上,中日文化交流,油纸伞传到日本立足并得以发展,是因为有与我国南方相近的气候环境(亚热带季风气候,雨季较长);油纸伞传播到东南亚,是闽粤华人“下南洋”的生活习惯所致,受区域气候(热带季风气候)的影响,油纸伞在当地也有所变化。试题中“近年来,油纸伞走俏国际市场”,是东西方文化差异而形成的文化交融、互惠和欣赏,当然,也与欧洲(特别是西欧)的气候环境(温带海洋性气候,终年多雨)密切相关。物我所需,还需物境相宜。
3、以文化审美导育,赋风物以趣识
油纸伞的审美价值,也是文化遗产价值的一部分,更是高考地理试题的灵魂所在。传递文化远香、涵育地理素养,是民族复兴、社会进步、教育发展的需要,是教育与古人的对话,是科学与文化的对接。油纸伞作为传统的文化产品,其使用历史已有千年,美好的传说很多(如《白蛇传》中的定情物),精彩的故事不断(如《清明上河图》中的人情物景),现实的演绎更加精彩(如伞具表演,伞与细雨为伴,美人与旗袍结缘,博物展览等)。悠久的历史、真切的现实、美好的寓意,赋予高考地理试题更大的魅力,给予现实生活更多的趣味。文化遗产——油纸伞备受人们的喜爱,也深受高考命题者青睐。
截取现实生活片段,彰显今人的生命质量
一、例2(2018年高考文科综合能力测试全国Ⅰ卷第9~11题)
小明同学7月从重庆出发到贵州毕节旅游,收集到的相关高速公路信息如图1所示。据此完成第9~11题。

9. 乙路段和丁路段平均限速均较低的原因可能是这两条路段
A. 车流量大 B. 平均坡度大
C. 雾霾天多 D. 两侧村庄多
10. 小明若从重庆出发乘长途客车经遵义至毕节,为免受阳光长时间照射且能欣赏窗外风景,以下出发时间和座位较好的是
A. 6:00出发,左侧靠窗
B. 8:00出发,右侧靠窗
C. 10:00出发,左侧靠窗
D. 12:00出发,右侧靠窗
11. 避暑是小明此次旅游的目的之一。导致7月毕节气温较重庆低的主导因素是
A. 地形 B. 纬度位置
C. 海陆位置 D. 大气环流
二、试题解析
本题组最能体现生活化地理。考查了区域特征、地理环境与人类活动之交通、地球运动、影响气候的因素等相关知识。
9、本小题要求解题者对信息材料中两地的地理环境有一定了解。
比如说路途中要途经四川盆地与云贵高原两个不同的地形区,该区域间地形起伏较大,乙和丁所在的路段都跨过这两个地形区,重庆和卢州都位于四川盆地内,遵义和毕节则都位于云贵高原上。而限速低则是不允许车速度快以确保行车安全,其原因应该是这两路段平均坡度大,故正确选B。也可以用排除法去分析,高速公路上一般车流量都大,重庆作为直辖市,等级高,服务范围广,往那里去的车流量应该更大,但泸州那一段限速则较高,达到120,所以因车流量大而限速低不正确,A错误;雾霾天气多发生在我国北方区域的春季与冬季,而重庆贵州位于我国南方再加上又是7月,不会有雾霾出现,C排除;高速公路一般远离村庄,且有保护隔离带设置,且所经区域地形起伏大,聚落在山区分部较为零散,所以因为两侧村庄多而限速低,不符合实际情况,D错误。
10、这是一道与日常生活相关的考查地球运动唯一的一题。
小明出发的时间为7月份,路线是从重庆经遵义到毕节,也就是先上南再往西。从重庆到遵义的时间约为3个小时,遵义至毕节约为2小时。可以借助下图:

7月由重庆到遵义往南运行,如从早上或上午出行,则应坐在右侧才能避免阳光照射,A错误;10:00的时候出发坐在左侧会受到阳光照射时间较长,C排除;而12点中午出发时太阳在偏南,但三个小时的路程中,太阳会向西北方向移动,坐在右侧的会受到阳光照射时间较长,D错误;当8:00出发时向遵义方向时,坐在右侧不会受太阳照射,至遵义大约为11:00,然后向毕节出发,至毕节大约为13时,太阳应位于偏西,坐在右侧,同样会避免太阳的照射,所以本题正确选B。
11、本题考查影响气候的因素。
毕节位于高原,重庆位于盆地, 海拔高气温低,故7月毕节气温比重庆低的主导因素是地形,A正确;毕节纬度位置低,按照一般规律,纬度低,太阳高度角小,接受太阳辐射量大,应该气温高才对,故B不正确;两地皆位于内陆,且距海较远,受海陆位置影响小,C错;从图上可以看出两地垂直距离不到300多公里,且都为亚热带季风气候,都受季风影响,D错。
三、试题的特点归陈与质量评价
1、以学科特点为标,建构有逻辑的案例
观于自然,察于人文,因地制宜,因时而异,这是地理学科“区域认知”核心素养形成的基础。地理学科虽然不是象牙塔里的珍品,但却是与世界发生联系的重要媒介和工具,是一切科学诞生的时间坐标与空间维度。高考地理试题要给思考插上理性的翅膀,在特定的时空范围内,从人与自然、人与社会、人与人多重角度,活用有效信息,抽象地理问题,引导学生成为具有丰富地理素养和生活情趣的健康公民。就本题而言,空间上,小明旅游从重庆(四川盆地)到毕节(云贵高原),跨越两大地理单元,地形变化很大,为高速公路“限速”埋下了伏笔。时间上,7月份正值暑期,气候炎热,也为旅行途中选择“座位”和旅游目的地“避暑”作出了铺垫。
2、以现实生活为本,探究有趣味的问题
启迪生存智慧,提升生命质量,是高考地理试题赋予生活的重要意义。世界那么大,都想去看看,看什么,怎么看,是旅游者应该思考的问题。旅游要有目的、有计划、有行动方案,其中,择“时”(季节)、取“点”(旅游点)与选“线”(旅游线路)非常重要。本题组就是一次观察与体验、认识与实践的旅游经历,也是一次地理知识迁移与应用的美丽思考。试题囊括的信息量较大,涵盖的知识点较多,如地形(曲直起伏)、气候(影响因素)、太阳视运动(光照方向)、交通(车流)、聚落(居民点)等。试题中抽象的3个问题含金量也很大:根据行车路段,结合地形分析限速的原因;根据行车方向,结合出发时间分析光照方向;根据毕节的地理区位,结合两地的地理差异分析气温低的原因。其实,本题组的选材重点在于西南地区的特殊性,即地形的复杂性(蜀道难)、交通的安全性(生命价值)、经济的滞后性(环境闭塞)、文化的多元性(民族较多)、旅游资源的多样性(山水民情)以及太阳视运动的规律性(生活体验)等;试题的亮点在于把地形起伏与交通的关系(车速)、地势高低与气候的关系(避暑)、科学乘坐与太阳位置的关系(遮光)设计成问题,试题简约明快,又迂回曲折,问题不是“无底洞”,无法探究,而是“黄金坑”,可以快乐地挖掘。一组试题,既是一个有服务价值的旅游案例,也是一个有导向作用的教学范例。
总结:传统文化入试题 现实生活再创意
概言之,两组试题都是对生活与环境的日常感悟和非常体验,也是重要的地理思考与地理实践,思考拓展了传统文化的有限认知,实践彰显了地理行为的无限魅力。
教育源于生活,地理阐释生活,试题抽象生活,未来创造生活。“油纸伞”只是传统文化的一个符号,每年都会更替(2017年是剪纸),而“小明”却是考试内容改革的一个标志,每次都有新意(已经出现3次)。高考地理试题就是要考查科学的有特色的地理、生活的有用途的地理、现实的有温度的地理、文化的有品位的地理。
如此,试题体现了高考评析体系——必备知识、关键能力、学科素养、核心价值的有机统一,实现了试题功能素养指向和升学指向的完美结合,发挥了立德树人、服务选才、引导教学的核心功能。
物理
2018年高考物理试题注重对基本物理概念、基本物理规律的理解和建模能力的考查,增强了基础性和综合性;注重理论联系实际,加强应用能力的考查;体现物理学科特点,注重了对学生实验能力的考查;进一步深化考试内容改革,落实物理考试大纲的考核要求。试卷注重对中学物理主干内容的考查,覆盖面广,多角度考查基本知识与方法,引导考生认识自然和生产生活中的现象,完善认知结构,为进入高校学习打好基础。
遵循考试大纲,聚焦主干内容
考试大纲是高考命题的依据,是高考科学化、规范化的指导性文件。2018年高考物理命题严格依据考试大纲,聚焦高中物理学科主干内容和要求,以主干的、学生终身发展和继续学习必须掌握的知识为基础设计试题,避免超纲、过难过繁的内容。试卷必考部分主要涵盖力学和电磁学两部分内容,以匀变速直线运动、牛顿运动定律、万有引力定律、机械能守恒定律、动量守恒定律、静电场、电路、磁场和电磁感应等重要内容为主线,选考部分主要考查气体实验定律、热力学第一定律、光的反射和折射、机械振动与机械波等主要内容。各套试卷中考试内容比例和分数权重,高中物理主干内容都是重点。各套试卷中较难的试题所考查的内容都是主干内容,引导教学遵循教育规律,注重基础知识和主干内容,回归课堂教材,避免超纲学、超量学。
凸显学科特点,强化关键能力
物理学科考试大纲规定了高考物理考查的五种能力目标:理解能力、推理能力、分析综合能力、实验能力和应用数学处理物理问题的能力。结合国家经济社会发展对多样化高素质人才的要求和物理学科的特点,高考物理着重考查学生逻辑推理、信息加工、模型建构等关键能力,引导学生培育支撑终身发展、适应时代要求的能力和综合素质。比如,全国II卷第16题利用我国自主建造的世界最大口径射电望远镜所发现的毫秒脉冲星作为背景,考查学生对万有引力、匀速圆周运动等规律的理解和应用。在分析问题的过程中,学生需要根据题给情境利用所学知识建立相应的物理模型,考查学生的模型建构能力。全国III卷第19题利用竖直矿井中装矿石的矿车在两次提升过程的速度-时间图线,考查学生从图像中提取信息、加工信息并结合物理规律作出推理判断的能力。全国I卷第18题考查动能定理、机械能等力学的基本规律,对考生的逻辑推理能力要求较高。
突出基础性,引导学生夯实基础
高考物理注重对基本物理概念、基本物理规律、基本实验技能的考查,突出考试内容的基础性。各套试卷中增加定性理解的试题,适当减少复杂的运算,引导学生加强对基础知识和基本技能的理解和掌握。试题要求学生从物质观念、运动与相互作用观念、能量观念等整体的视角来思考问题,能清晰、系统地理解物理概念和规律,能正确地解决问题,促进学生物理观念的形成与发展。比如,全国II卷第14题引导学生从能量的观念来解决问题,全国I卷第15题要求考生对物体的运动、物体之间的相互作用的观念有深入的理解。同时,今年高考物理加大源于教材试题的数量和分值比例,引导教学回归教材中的基础内容,夯实学生学习的基础。比如,全国I卷第16题考查库仑定律,全国II卷第17题考查光电效应,全国III卷第14题考查第一个人工放射性核素,第24题考查质谱仪的基本原理等,这些情境都来源于教材或学生熟悉的情境,都是基本的、典型的问题,但情境不拘泥于教材,在设问方式上进行创新,引导教学重视学生物理观念的形成,打牢问题解决的基础。
增强应用性,激发学生学习兴趣
今年高考物理注重将物理学的基本概念、规律与国家经济社会发展、科学技术进步、生产生活实际紧密联系起来,通过设置真实的问题情境,考查学生灵活运用物理知识和方法解决实际问题的能力。比如,全国I卷第20题以人类第一次直接探测到来自双中子星合并的引力波为素材,要求学生利用高中所学物理知识解决相关的实际问题;全国II卷第15题贴近生活,要求考生估算鸡蛋坠落对地面产生的冲击力。
增强开放性和探究性,考查学生的创新意识
在实验题的设计中,要求学生根据实验目的设计实验原理和步骤,反思实验结果,提出改进的措施。通过增强试题的开放性和探究性,着重考查学生的创新意识。比如,全国I卷第23题以热敏电阻的温度特性为情境,考查学生在新情境中解决问题的能力。全国II卷第22题要求考生根据实验目的和所给器材,改装电流表和电压表,设计实验电路,较好地反映考生的基本实验能力。全国III卷第22题要求考生给出一条能够提高测量结果准确程度的建议,让考生在反思结果的基础上提出改进的措施,鼓励考生发散思维和批判性思维,体现了考生的创新意识。
选择题典型试题分析与学习建议


非选择题典型试题分析、作答评价与学习建议



化学
2018年高考化学命题贯彻落实发展素质教育和深化高考考试内容改革的考查要求,以高考评价体系为依托[1][2],贯彻了“必备知识、关键能力、学科素养、核心价值”的考查目标,落实了“基础性、应用性、综合性和创新性”的考查要求,有利于发展素质教育。
依据大纲,回归教材,考查学科必备知识
今年的高考化学试题注重基础知识和学科主干知识,紧紧围绕化学实验基本操作、学科基本概念、基本反应原理、常见典型物质等基础内容和要求,体现高考评价体系中的基础性考查要求,有利保障了基础教育化学人才的培养质量,试题设计的具体理念如下。
1、转换呈现方式。通过对实验基本操作和实验现象的考查,有利于引导中学化学在教学过程开设实验课程,培养学生的动手操作能力和实验观察能力。例如全国II第9题考查学生判断甲烷与氯气在光照下反应后的实验现象。教材中关于实验现象的描述为“试管内其他颜色逐渐变浅,试管壁出现油状液滴,试管中有少量白雾。”在试题设计中将实验现象以图示方式给出,要求学生判断正确的实验现象。
2、转变考查方式。对适合学生认知特点的化学学科基本概念、基本反应原理的考查,有利于促进学生全面掌握化学基础的知识内容,为今后进一步学习打下坚实的基础。例如I卷35题考查电离能、键能以及晶格能等基本概念,并不是要求学生死记硬背,而是以Born-Haber循环的形式给出能量变化图,要求学生根据基本概念的定义分析各种能量变化的数值。
3、调整考查物质。今年的高考化学涉及的元素主要为应用广泛的常见元素及其化合物、性质丰富的典型元素及其化合物,这些元素包括铁、铜、锌、硫、硅、氯等。例如I卷含硫的焦亚硫酸钠、II卷26题考查常见的锌单质的工业生产,III卷的食盐的中的碘酸钾。不仅元素化合物试题涉及的物质是典型和常见的,对于实验试题和反应原理试题涉及的物质也是生活和实验室常见的,这些元素及其化合物有利于增加熟悉感、降低学生对物质的陌生度,回归中学化学元素化学教学的本质。
形式多样,数据详实,测评学科关键能力
高考化学试题立足于培育学生支撑终身发展和适应时代要求的能力,重点考查学生独立思考、逻辑推理、信息加工、学会学习等关键能力。今年的化学试题在测评关键能力方面体现了如下几个方面主要特点。
1、创新设问方式,考查独立思考能力
在试题命制过程中,依据考查内容和要求设置不同的设问方式,考查学生的发散性思维和独立思考能力。对于相对熟悉的内容,增加开放性,考查学生的发散性思维。如III卷27题提供了两种合成碘酸钾的方法,要求学生根据题目给出的信息,独立地从中分析比较两种方法的优劣。对于陌生的内容,在主观题中设置选择题,考查独立判断分析的能力。例如I卷28题给出五氧化二氮的分解历程,让学生根据历程的三个步骤,判断反应过程的机理等,从微观过程认识化学反应。
2、提供各种类型的信息,考查信息获取及加工能力
今年的高考化学试题在信息加工能力考查形式和特点主要体现在如下几个方面。
①供量化数据关系。例如II卷27题提供沉积碳生成速率与甲烷以及二氧化碳压强的关系方程,要求学生分析积碳量与反应压强的之间关系,判断选择反应的具体条件。再如III卷28题提供反应速率方程,让学生定量分析比较不同条件下正逆反应速率的大小,从微观和整体认识反应速率和反应平衡。
②提供转化流程信息。物质转化流程信息常见于化工工艺图中。这些工业流程来自真实的工业生产过程,在试题中简化为生产流程或技术单元,要求学生分析流程图中的物质变化及操作,从中分析或选择反应条件、解读并挑选工艺参数,产物分离操作方法等信息,结合已经学过的元素知识、反应原理等知识回答相关问题。例如II卷第26题以锌的冶炼为背景,通过工艺流程图和数据表格等方式向学生提供信息,将生产生活实际与中学化学实际相结合,考查学生对常见金属、非金属及其化合物的基本性质、电化学原理、沉淀溶解平衡等知识内容的掌握情况。
③提供新颖反应信息。在题中提供陌生的反应方程式或转化关系,要求学生从中抽象概括反应具体的细节,并与已有的有机反应相结合,构建一个可解决问题的反应知识体系。例如Ⅰ卷36题,要求学生分析理解整个合成路线,现场学习*腈乙**水解新反应。最后一问要求学生利用题目提供的腈基水解新反应信息和以及学过的有机反应,设计一条合成苯乙酸苄酯的路线。再如III卷36题引入了国际上最新的研究成果,以多*能官**团化合物为目标化合物,用近年发表的有机化学研究论文作为背景材料,提供一个新偶联反应作为反应信息,让学生将此新反应与烷基取代反应、炔烃加成反应、氯代烃取代反应以及羟醛缩合反应相融合为一体,进而解决问题。
3、证据具体详实,考查逻辑推理能力
证据推理是逻辑推理能力在化学学科中的重要表现形式,要求学生能够根据证据,对物质的组成、结构及性质变化进行分析推理,揭示数据和现象的本质特征。①考查基于数据的推理。反应过程中收集的数据以及呈现的图表是重要的证据,可以考查学生通过分析、转化图形曲线的数据关系,结合化学基本反应理论,推演在不同条件下物质转化规律。例如II卷27题、III卷28题均以物质反应转化为题材,呈现不同类型的数据随时间或温度变化图形,加大学生综合分析问题能力的考查。②考查基于实验现象的推理。不同物质具有不同的物理化学性质,具有其典型的反应现象特征。根据不同物质的特征反应现象可以推理物质的组成。③考查基于规律的推理。元素周期律是化学学科中重要规律,也是指导学习元素及化合物性质的重要理论,利用其周期性的变化规律可以推测物质的性质。例如I卷的12题、II卷的10题、III卷的13题均是以周期律和结构知识推理元素及其化合物的性质。
情境真实,应用导向,聚焦学科核心素养
今年的高考化学试题情境来源生产、生活、社会及科研实际,将化学学科联系紧密的环保、医药、材料、能源等交叉学科内容作为试题素材,考查合理正确地使用化学原理与技术分析解决实际问题,体现高考评价体系中的应用性和综合性考查要求。
1、呈现环境保护的素材,考查学生分析环境污染及防治中的化学基本原理,体现化学学科是生态环境和污染治理的巨大作用。雾霾的形成和治理过程渗透着化学科学的知识、原理和应用。利用化学原理和技术,既可以减少雾霾的形成,还可以研究揭示雾霾形成机理,进一步控制雾霾、治理雾霾。II卷第8题和IV卷12题就是在这样的背景下,以雾霾形成机理的最新研究成果为素材,考查雾霾形成过程中无机颗粒物的化学基本概念,分析雾霾酸度增大的催化过程和机理。I卷7题以新能源汽车动力电池之一的磷酸亚铁锂电池为研究对象,通过湿法冶金工艺处理废旧磷酸亚铁锂电池正极片回收其中的金属,体现了化学在推进生态文明建设、解决生态环境问题等方面的贡献。
2、提供绿色生产技术试题,让学生分析生产过程中的化学方法和技术,体现化学科学为绿色生产和清洁能源的开发提供技术支撑。如I卷13题以协同去除二氧化碳、硫化氢的新型电化学转化装置背景考查电化学的基本原理。甲烷和二氧化碳催化重整不仅可以得到合成气,还对温室气体的减排具有重要意义。II卷27题是以甲烷和二氧化碳催化重整为背景,考查反应平衡和反应速率等基本原理。近年来,随着不可再生的化石能源的日渐枯竭。人们越来越重视以可再生且污染相对较少的生物质来替代煤和石油去合成人们需要的化学品,这一类化合物往往被称作生物质转化平台化合物。如II卷36以葡萄糖以及用葡萄糖为原料制得的山梨醇和异山梨醇等生物质转化平台化合物为背景,考查有机化学的基本概念和方法。
3、以各种药物和食品添加剂等生活密切相关的物质为背景,考查基本化学知识和概念,体现化学在确保食品安全、守护人类健康的巨大贡献。例如II卷36题的治疗心绞痛的药——硝酸异山梨酯,IV卷的抗心律失常药——盐酸美西律,这些试题的素材展示了化学在治疗疾病、提高生命质量、守护人类健康的贡献。在试题体现化学学科在生活中的应用价值,在高考化学试题中普及生活中的化学知识,传递化学的应用价值,让学生体会到化学的巨大价值和神奇魅力。
展现成果,突出贡献,发挥科学育人功能
今年的高考化学挖掘古代科技文献,以我国古代化学化工成果为情境命制试题。例如II卷26题中提到“我国是世界上最早制得和使用金属锌的国家”。III卷35题中提到“《中华本草》等中医典籍中,记载了炉甘石(碳酸锌)入药,可用于治疗皮肤炎症或表面创伤。”这些试题展示中华优秀科技成果对人类发展和社会进步的贡献,引导学生自觉传承我国科学文化,弘扬科学精神。
今年高考化学试题呈现我国化学领域最近取得的重大创新科研成果。例如I、II卷中选取了我国科学家发表在化学顶级刊物上的“一种对天然气中二氧化碳、硫化氢的高效协同去除转化装置”“一种室温下可呼吸的钠、二氧化碳二次电池”,在考试中弘扬社会主义核心价值观个人层面的爱国精神,体现立德树人根本任务。
生物
2018年高考生物科学设计试题,贯彻落实立德树人的根本任务,充分发挥生物学科育人功能,促进树立生态文明观和健康生活观。展现中华优秀科技成果,增强民族自豪感与社会责任感。试卷呈现形式多样,图文并茂,试题亲切感强。紧密联系生活实际,倡导学以致用。重视主干知识、关键能力、学科素养的多方位考查,着眼学生长远发展。用好高考“指挥棒”,积极引导中学教学重视实验操作、科学语言表达等能力,助力推进素质教育发展。
立德树人,发挥生物学科育人功能
1、树立生态文明观,增强社会责任感
高考生物注重对生态学问题的考查,引导学生对生态问题进行深入思考,这有利于强化生态文明意识,形成保护生态环境的社会责任。全国III卷第32题以农业生态系统模式图生动形象地反映生态农业对物质循环利用、高效利用、环境友好的突出优势。高考生物试题对生态学内容的多方位考查,突出生态文明建设的必要性与优越性,有利于正确生态文明观的建立,形成爱护自然、保护生态的社会责任感。
2、加强文化浸润,提升民族自豪感
2018年高考生物试题选取我国杰出生命科学技术成果为素材进行设计,以弘扬中华优秀文化,增强民族自豪感。全国III卷第1题考查由我国科学家完成的重大科技成果,引入1965年由我国科学家率先完成的人工合成有生物活性的结晶牛胰岛素这一里程碑式的壮举,引导学生体会科学先贤在科学研究过程中锲而不舍的拼搏精神,增强民族自豪感与自信心,同时加强了为祖国发展拼搏的社会责任感。
依纲命题,助力素质教育发展
1、基于必备知识命题,体现基础性和综合性
高考生物优化考试内容,精选命题素材,从学科主干知识出发进行命题,着重考查学科必备知识的深入理解和灵活运用,注重学科内知识的综合,导引基础教育抓住核心、稳住基础,遵循教育基本规律开展教学,促进基础教育实施,助力素质教育发展。全国I卷第1题围绕生物膜的结构与功能进行设计,考查生物膜结构在维持生命活动中的作用,以期达到融会贯通、举一反三之效。以学科主干知识为基础,加强对知识的综合理解,渗透结构与功能相适应的生物学观念,引导学生注重对主干知识内容的理解,加强知识内容间的综合。
2、着重关键能力考查,体现应用性
高考生物试题充分发挥高考育人功能的积极导向作用,着力为国家和社会培养高素质综合型人才,立足当下实际情况,着眼学生未来的长远发展,因材施测。高考生物试题在加强学科主干知识考查的基础上,注重考查独立思考、逻辑推理与信息加工等关键能力,引导学生学会学习,增强主动学习意识,提升自主学习能力。全国II卷第3题以人体体液调节等问题为情境,要求考生结合所学知识根据所给现象描述进行判断与推理,考查逻辑推理与信息加工能力。
对生物学的学习注重培养学科视域下思考和解决实际问题的能力,倡导学以致用,以加强学习生物学的触摸感与获得感。高考生物试题精选命题素材,创设日常生活、生产实践、科学探究等问题情境,考查以生物学视角分析和解决实际问题的能力及学科综合素养水平。全国II卷第32题选取高产蛋家禽遗传育种与遗传分析为素材,考查遗传基本规律的理解与综合以及在农业生产实践中的具体应用。将豁眼与正常眼这一清晰易辨的表现型巧妙地应用于雏禽性别的区分,实现在雏禽阶段通过眼睑性状准确辨认雏禽性别并得到较多的高产蛋雌禽,此举可降低饲养成本、提高生产效率、增加产量收益。
3、聚焦学科素养立意,体现创新性
高考生物试题关注生物学科素养立意,体现生命观念与社会责任,注重科学思维、科学探究维度的考查。在生物学科长期学习与思考过程中逐渐养成的科学思维,对于逻辑推理、信息加工等关键能力的提升有积极有效的促进作用。全国I卷第38题选取基因工程经典研究工作为素材,考查基因工程操作过程中用到的核心技术及研究设计方案,还考查根据实验现象分析问题和得出结论的概括总结能力,在科学探究情境中考查科学思维的素养水平。
高考生物试题关注开放性设计,不限定唯一答案,注重发散思维,有利于创新思维的培养。全国I卷第37题围绕马铃薯浸出液为背景进行设计,开放问题设置并明确作答要求,摆脱唯一答案的束缚,留给考生充分思考与发挥的空间,体现创新性的考查方式。
引导教学,深化高考考试内容改革
高考要充分发挥引导教学“一面旗”的导引作用,不断深化考试内容改革,帮助教学纠偏,助力推进素质教育。
1、考查实验探究,引导加强实验教学
高考生物继续加强对实验与探究能力的考查,引导中学生物教学过程中重视实验教学,有助于改善当下存在的“黑板上做实验”等模拟实验的教学方式。全国II卷29题呈现相对完整的实验流程,要求补充关键实验步骤。对实验与探究能力的考查客观上可引导重视实验教学,以推进生物学科素养培育目标的实现。
2、考查思考深度,引导重视语言表达
对生物学事实及规律的深度思考反映了生物学科综合素养层次。在生物学课程的长期学习过程以及日常生活实践过程中,自觉运用生物学知识对接触可及的生物学问题进行思考与解释,体悟科学研究过程与思维方法,科学精准地进行语言和文字的表达与交流,是实现生物学科素养培育目标达成的有效路径之一。高考生物对生命现象思考深度的考查有利于不同学科综合能力水平考生的区分,有助于高校的梯度选才,还有利于改善目前学生语言表达与文字书写能力整体薄弱的状况。全国II卷第31题以顶级肉食性动物对低营养级动物的影响为素材,考查生态学内容以及科学语言表达能力。此类解释与分析的考查有助于加强语言表达能力的重视与培养。
3、考查主干知识,引导教学回归本质
生物学科具有丰硕的学科知识体系,扎实严谨的主干知识框架是学习生物学课程的根基。牢牢把握学科主干,才能使整体学科知识树枝繁叶茂、开花结果。加强对生物学科核心主干知识的理解与综合运用的考查,有利于改善偏离教学本质、脱离教学规律、盲目刷题的现象,引导教学回归本质。全国III卷第32题考查生物方法在处理生活垃中如何发挥作用。将貌似远离却有相通之处的主干知识进行整合考查,有助于引导教学聚焦主干、深入联系、综合发展。