本篇将傅里叶变换,下面以FT简称。
网上有很多关于FT的文章,还有动画,一系列首尾相连的棍子,甩啊甩。看着狂拽酷炫,然并卵,看完了觉得FT很牛逼,但依然不明白FT。怎么一个好端端的函数,就是一系列正弦波了?什么时域频域,听着高大上。
本文从最基本的三角级数开始,阐述FT的数学本质。内容非常硬核,如果只想随便看看,搜搜FT的视频,看看甩甩小棍子的即可。
0 序,为什么FT这么难以理解
FT在微积分中放在最后一章的最后一节,本身来讲篇幅不多,概念、定理、推导过程都不多,只是开了个头。之后,FT在信号与系统中出现。但是,信号系统中,着重FT的应用。对FT的导出并不是它的重点。所以就FT的学习来讲,是脱节的。微积分中不谈FT的应用,导致FT的意义没有很好落实。信号系统中FT的导出又是不够严谨的,导致知其然不知其所以然。而FT的思想,微积分教材本身是不阐明的。所以,这就造成了对于每个工科学生来讲,FT就是噩梦,稀里糊涂的睡,稀里糊涂的醒。
我们学FT,必须把各科的教材对应看。光看一册是不够全面的,自然无法体会FT的奥义。
首先:
- FT推导在于微积分,因为用到了定积分的概念,这是形而下。
- FT理解于线性代数,它的数学本质是线性空间的变换,这是形而上。
- FT应用于信号系统,这是形而下中下。
明白了这三点,学习FT就有了路。
其次,学FT,必须学它的根基。把基础打扎实。FT的基础是傅里叶级数,傅里叶级数的基础是三角级数。所以,至少我学FT,一半以上的精力是花在三角级数。弄明白了三角级数的来龙去脉,FT是水到渠成的东西。
1 级数
讲三角级数前,还是得先回顾一下级数。级数是个好东西,它能把不好的变成好的。比如幂级数,一个非常好的用处就是能解方程,无论是超越方程还是微分方程。电路中,整流电路就是靠泰勒级数求解的。
级数又是一个非常反直觉的概念。举几个例子。首先就是大家耳熟能详的
0.9999999999.... = 1
再来一个,条件收敛的常数项级数,调换项,可能导致级数不收敛,也可能导致收敛到其它值。简单来讲就是条件收敛的级数不符合加法交换律。乍一看非常神奇!从小学学起的加法交换律居然不成立了!
微积分中,级数还是一个非常重要的概念和理论。它能证明好多教材在前面中埋下的坑。如,如何判断隐函数有函数,如何判断微分方程有解,甚至有唯一解。
形式上来讲,级数就是无穷个有规律的项的和。所以,我们可以用任何组合,只要有规律的,都可以替代数或者函数。而剩下两个问题:
- 是否收敛于常数或者函数,(废话,不收敛的要来干啥)
- 收敛速度,(当然越快越好)。
问题1,工科有福了,可以不管,有狄利克雷收敛条件保证。万一不满足,不要紧,有广义FT。
问题2,FT不涉及。
2 三角级数
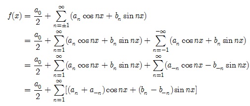
为什么函数要转换成三角级数?这恐怕是第一个问题,暂且按下。我们要解决的是,如果表示成三角函数的级数,怎么个形式?
下面是第一个想到的:

非常自然,但也是非常不好的。因为它不正交。不正交的问题在于非常难求系数。所以化成:

这个形式非常好,正交!非常容易求系数。
什么是正交,为什么正交是我们追求的,看下面的推导过程。
随之而来的第二个问题是,x是实数集,有正有负。为什么到了三角函数的n,教材中只取正整数?负的为什么不要了?
原因很简单,依然是正交。假设我们取了负数,有

可见,除了把系数弄的复杂化,没有任何好处!
3 三角级数的数学意义
这个是形而上,需要重点把握的。
从线性代数的角度看,三角级数的本质是空间变换,将原本x空间的函数映射到三角函数空间。但不同于普通意义的线性代数,这里变换的是函数,而不是一般的实数。
这是学习FT最重要的一点。FT的数学意义必须在线性代数的角度理解。但微积分受限于学科,往往教材不会点明这点。至于信号与系统,压根不算数学书。然而线性代数的教材由于本身不涉及微积分,所以一般也不会说到FT。
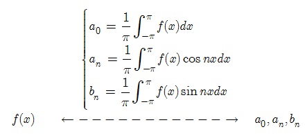
细品上面的黑体文字!再给张图

这就是一个线性变换,从左边的f(x),变到了,右边的a0,a(n),b(n)。而3个变换积分,就是线性代数中的“矩阵”!细品!
这里要非常地岔开一下!!!
我们从初中收到的教育,y=f(x),就是y是x的函数,就是映射。这个对学FT是一个非常大的阻碍。导致总觉得FT非常不自然。一个函数居然能成为一系列正弦函数的和?!非常地匪夷所思。这个思想的根本问题在于,你还是站在初等数学的角度,或者说站在古典微积分的角度看函数这个概念。函数是x到y的映射。
就像你站在伽利略变换的角度,永远无法理解狭义相对论。你站在均匀空间的角度,永远无法理解广义相对论,一样。
抛弃函数这个概念!欲练神功,挥刀自宫!一切都是级数!一切都是无穷和!
在级数的眼里,任何东西都是一串有规律的表达式的和,无穷和!我们借用信号系统里,冲激函数的概念

明白了?即便在传统意义上的函数,我们依然可以看成一系列有规律的表达式的和,这里就是一串冲激函数的和,只不过每个冲激函数都被调制了!在线性代数的角度,冲激函数就是基,而且是标准的不能再标准、简单的不能再简单的,正!交!基!
那么三角级数,就是原本你是用冲激函数这组基线性组合的,现在我用三角函数这组基来搞线性组合,不可以吗?站在线性代数的角度,当然可以!而且无比自然!
所以,学FT,首先要破除这个我们学了中学6年的函数的思想。将y=f(x),不要看成一个表达式。充分理解了这点。那么接下来的问题就是:
既然x能描述y,肯定不止x能描述y,能找到其他的表达式就行。
这就是线性代数的思想——空间变换!就是找到另一组正交基!这里,由于三角函数系的正交性,自然而然就被我们选中!
稍微总结一下,体会一下,再继续后面的推导过程!
总之,在级数的宇宙观里,没有映射这个玩意儿。一切都是无穷和。加点线性代数的概念,一切都是一组无限维数的正交基的线性组合。充分理解这个观点,直到你对
0.999999.... = 1
有了新的认识。
4 三角级数的推导
接着就是形而下的问题了,如何求系数。
在线性代数角度看,就是求解一个非常“稠密的”线性方程组。
码字太烦,直接上图

以上就是傅里叶级数的三角级数形式。
5 傅里叶级数的复数形式
教材中,包括信号系统的教材,把复数形式的傅里叶级数,用欧拉公式,从三角级数推导。这个方法非常烂!
如果你充分理解了上面的过程。应该有一个问题:还有没有其他的级数?或者站在线性代数的角度,还有没有其他空间了?或者有没有其他的正交基了?舔狗地讲,哪怕不正交也行。答案是有的,女神可不只三角函数一个!指数函数也可以组成正交基

这里一个小问题是,为什么指数函数可以有负数部分了?原因还是在于正交性!
三角函数中,由于负部分对三角函数构成冗余,导致基的非正交,所以我们舍弃了负的部分。而在指数函数中,如果要构成正交,必须引入负的部分。
接下去就可以用三角级数的过程,定积分的思想,推导复数级数。这里略。
用这个思路去理解所谓的“傅里叶级数的复数形式”!或者抛弃“傅里叶级数”、“傅里叶级数的复数形式”两个名词。着眼于“三角级数”、“复指数级数”两个名词,或许更能说明问题。
将欧拉公式看成一种偶遇,正好指数函数是三角函数的复数形式。假装我们发现了新的正交基(复指数),并又满怀豪情地推导了一把。
6 傅里叶变换
微积分中,对傅里叶变换的描述非常少,甚至于标题都是傅里叶积分。直接上图

明白了三角级数的由来,明白了指数级数的由来。FT是无比自然的东西。就是在另一个空间考察函数!而“那个”空间,在信号系统课程里,称为频域,原来的那个空间,称为时域。而在数学里,只有空间,没有时域频域之分。
7 尾声
FT不容易学,原因是要学透它所需要的知识分散在不同的教材。需要融会贯通!
在线性代数的山顶,握着定积分的推导工具,俯视傅里叶变换,俯视时域频域!在我眼里,只有线性空间,只有正交基,只有线性组合。
体会到了这一点,就不难理解傅里叶变换了。至于一串首尾相连的小棍子甩甩的,看看就好。
还有没有其他的正交基?微积分里没有了,这回是真的没有了。。。
还有一个拉普拉斯变换,简单,将不收敛的变成收敛!就这么一个目标。之前用的指数函数,指数是纯虚函数,一直振荡的。拉普拉斯就是将它用完全的复数当指数,使得有一个很强的收敛的包络。
既然你看到这里了,最后再说一个学FT的小窍门,掌握一门画图的工具,MATLAB或者Python(有matplotlib库)。事半功倍!