转发自:爱爱吃铜锣烧
概率论总结
目 录
一、 前五章总结
第一章 随机事件和概率 …………………………1
第二章 随机变量及其分布……………………….5
第三章 多维随机变量及其分布…………………10
第四章 随机变量的数字特征……………………13
第五章 极限定理………………………………...18
二、 学习概率论这门课的心得体会……………………20
一、前五章总结
第一章 随机事件和概率
第一节:1.、将一切具有下面三个特点:(1)可重复性(2)多结果性(3)不确定性的试验或观察称为随机试验,简称为试验,常用E表示。
在一次试验中,可能出现也可能不出现的事情(结果)称为随机事件,简称为事件。
不可能事件:在试验中不可能出现的事情,记为Ф。
必然事件:在试验中必然出现的事情,记为S或Ω。
2、我们把随机试验的每个基本结果称为样本点,记作e 或ω. 全体样本点的集合称为样本空间. 样本空间用S或Ω表示.
一个随机事件就是样本空间的一个子集。
基本事件—单点集,复合事件—多点集
一个随机事件发生,当且仅当该事件所包含的一个样本点出现。
事件间的关系及运算,就是集合间的关系和运算。
3、定义:事件的包含与相等
若事件A发生必然导致事件B发生,则称B包含A,记为BÉA或AÌB。
若AÌB且AÉB则称事件A与事件B相等,记为A=B。
定义:和事件
“事件A与事件B至少有一个发生”是一事件,称此事件为事件A与事件B的和事件。记为A∪B。 用集合表示为: A∪B={e|e∈A,或e∈B}。
定义:积事件
称事件“事件A与事件B都发生”为A与B的积事件,记为A∩B或AB,用集合表示为AB={e|e∈A且e∈B}。
定义:差事件
称“事件A发生而事件B不发生,这一事件为事件A与事件B的差事件,记为A-B,用集合表示为 A-B={e|e∈A,eÏB} 。
定义:互不相容事件或互斥事件
如果A,B两事件不能同时发生,即AB=Φ ,则称事件A与事件B是互不相容事件或互斥事件。
定义6:逆事件/对立事件
称事件“A不发生”为事件A的逆事件,记为Ā 。A与Ā满足:A∪Ā= S,且AĀ=Φ。
运算律:
设A,B,C为事件,则有
(1)交换律:A∪B=B∪A,AB=BA
(2)结合律:A∪(B∪C)=(A∪B)∪C=A∪B∪C
A(BC)=(AB)C=ABC
(3)分配律:A∪(B∩C)=(A∪B)∩(A∪C)
A(B∪C)=(A∩B)∪(A∩C)= AB∪AC

小结:
事件的关系、运算和运算法则可概括为
四种关系:包含、相等、对立、互不相容;
四种运算:和、积、差、逆;
四个运算法则:交换律、结合律、分配律、对偶律。
第二节:
1、 设试验E是古典概型, 其样本空间S由n个样本点组成 , 事件A由k个样本点组成 . 则定义事件A的概率为:P(A)=k/n=A包含的样本点数/S中的样本点数。
2、 几何概率:设事件A是S的某个区域,它的面积为 μ(A),则向区域S上随机投掷一点,该点落在区域A的概率为:
P(A)=μ(A)/μ(S) 假如样本空间S可用一线段,或空间中某个区域表示,并且向S上随机投掷一点的含义如前述,则事件A的概率仍可用(*)式确定,只不过把 理解为长度或体积即可.
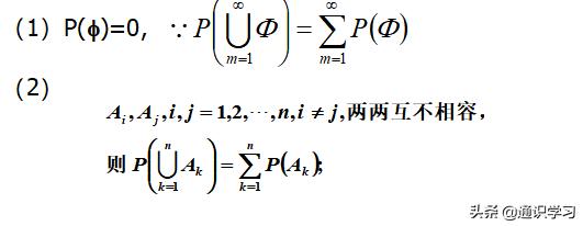
概率的性质:

(3)
(4) 若AÌB,则P(B-A)=P(B)-P(A), P(B) ≥ P(A).
第四节:条件概率:在事件B发生的条件下,事件A发生的概率称为A对B的条件概率,记作P(A|B).

而条件概率P(A|B)是在原条件下又添加“B发生”这个条件时A发生的可能性大小,即P(A|B)仍是概率.
乘法公式: 若P(B)>0,则P(AB)=P(B)P(A|B)
P(A)>0,则P(AB)=P(A)P(B|A)
全概率公式:设A 1 ,A 2 ,…,A n 是试验E的样本空间Ω的一个划分,且
P(A i )>0,i =1,2,…,n, B是任一事件, 则
贝叶斯公式:设A 1 ,A 2 ,…,A n 是试验E的样本空间Ω的一个划分,且P(A i )>0,i =1,2,…,n, B是任一事件且P(B)>0, 则

第五节 :若两事件A、B满足
P(AB)= P(A) P(B) 则称A、B独立,或称A、B相互独立.
将两事件独立的定义推广到三个事件:
对于三个事件A、B、C,若
P(AC)= P(A)P(C) P(AB)= P(A)P(B)
P(ABC)= P(A)P(B)P(C) P(BC)= P(B)P(C) 四个等式同时 成立,则称事件 A、B、C相互独立.
第六节:定理 对于n重贝努利试验,事件A在n次试验中出现k次的概率为

总结:
1. 条件概率是概率论中的重要概念,其与独立性有密切的关系,在不具有独立性的场合,它将扮演主要的角色。
2. 乘法公式、全概公式、贝叶斯公式在概率论的计算中经常使用,请牢固掌握。
3. 独立性是概率论中的最重要概念之一,亦是概率论特有的概念,应正确理解并应用于概率的计算。
4. 贝努利概型是概率论中的最重要的概型之一,在应用上相当广泛。
第二章:随机变量及其分布
1 、随机变量:分为离散型随机变量和连续型随机变量。
分布函数:设 X 是一个 r.v,x为一个任意实数,称函数
F(X)=P(X≤x)为 X 的分布函数。X 的分布函数是F(x)记作 X ~ F(x) 或 F X (x).
如果将 X 看作数轴上随机点的坐标,那么分布函数 F(x) 的值就表示 X落在区间 (x≤X)。

1、 离散型随机变量及其分布
定义1 :设x k (k=1,2, …)是离散型随机变量X所取的一切可能值,称等式P(X=xk)=PK, 为离散型随机变量X的概率函数或分布律,也称概率分布. 其中PK,≥0;ΣPk=1
分布律与分布函数的关系:
(1)已知随机变量X的分布律,可求出X的分布函数:
①设一离散型随机变量X的分布律为
P{X=x k }=p k (k=1,2,…)
由概率的可列可加性可得X的分布函数为

②已知随机变量X的分布律, 亦可求任意随机事件的概率。
(2)已知随机变量X的分布函数,可求出X的分布律:

一、 三种常用离散型随机变量的分布
. 1(0-1)分布:
设随机变量X只可能取0与1两个值,它的分布律为
P{X=k}=p k (1-p) 1-k , k=0,1. (0<p<1)
则称X服从(0-1)分布,记为X~(0-1)分布。
(0-1)分布的分布律用表格表示为:


























