主要内容:
1、 有理数的加减法
2、 有理数的乘除法
3、 混合运算
有理数的运算伴随数学、物理、化学一生,觉得理科难是因为用错了方法。越基础越重要,譬如楼房之地基。如果这里没有掌握好,那么数理化你肯定都学不好。
1、有理数的加减法
加减法运算:所有正数的和减去所有负数的绝对值之和,小数减大数,得数为负;大数减小数,得数为正。
例题:

大家看一下,这样做小学一年级都能做对吧?
错误的做法(这里的错误指的是学生容易做错题):

七年级学生刚刚接触有理数,对于负数、绝对值都是非常陌生的,如果做题都是按照新知识去掌握,相当于用未知掌握未知,这对孩子们来说就像天书了。
晓虞儿的做法是:用已知做未知,轻车熟路。
2、有理数的乘除法。
乘除法的运算:首先判断正负号,负号为奇数个时为负,偶数个时为正。分数和小数变成假分数,除法变成乘法。
因为word文档里编辑的分数无法复制到平台内,所以截成图片了,不知道效果怎么样,如果您有好的办法,以及截图看着是否方便,还请告诉晓虞儿,在此谢谢诸位了。

晓虞儿的做法是:先判断正负号,以后就和小学学的没什么区别了。
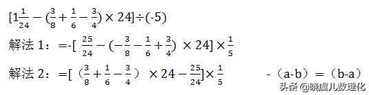
3、混合运算:
熟练运用1和2就能解题无忧了。
例题:

下一步解法(以上2种方法均可按以下3种方法继续做),以2解法为例,计算如下:
解法一:乘法分配律

解法二:直接通分计算

解法三:

解法四、五……略
晓虞儿提示:每一步都可用有若干解法,适合你的、不易错的方法就是最好的方法。上一步的简便算法,下一步就可能是麻烦的。大家可以试试用解法1(注意这个1是数字1)再用多种方法做一遍这道题。
一题多解是学好数理化的重要法宝之一,让你的理科之路越走越宽。
大道至简,知易行难,小道至繁,邪道至玄。

思考题:王大娘去市场卖鸡蛋,第一个人买走一半零半个,第二个人买走了剩下的一半零半个,第三个人买走了剩下的一半零半个,此时恰巧卖完,问王大娘一共卖了多少个鸡蛋?请用多种方法解答。
家长必看、老师必读、学生必修;
有孩子的为孩子保留;
没孩子的为别人的孩子保留;
所有学习数理化的人均可保留;
所有想学数理化的人均可保留。
请多多关注、留言、点赞、转发和收藏,您的举手之劳或将成就身边人的未来,甚善!
更多精彩敬请期待!