

(图片来源网络)
评估对象基本情况
本案例评估的目的是在质押目的下对省道XX段二级公路(含A收费站和B收费站)收费权,2015年12月31日为评估基准日,10年预测期(2016年1月1日到2025年12月31日)的收费权质押价值,并对评估价值发表专业意见。
省道XX 段收费公路位于东部发达地区,地势平坦,较少遇见恶劣天气。2007年年底建成通车,2008年由C公司承接开始收费经营,全长39.47公里,含A和B收费站,二级公路,速度55km/h。
在质押物方面,XX段收费公路,路产质量良好,路网完善,协同效益逐渐显现,车流量和通行费收入稳步增长,能提供充足的现金流。承接公司资产负债率较低,在行业中处于较低水平,融资空间较大。在银行监管操作方面,为取得*款贷**,承接公司将XX段收费公路(含A、B两个收费站)质押给Y银行,并与Y银行签定质押合同。Y银行的资产负债率较低,对无形资产质押建立了专用还款账户,一年一次检查账户还款情况。虽经营较好,但Y银行规模较小,专业质押从业人员较少,不能及时对收费权价值进行有效监管。
评估思路
本文依据XX收费公路的状况,首先预测通行费收入、通行服务成本、期间费用以及固定资产折旧和资本性支出等相关项目,依此调整现金流;其次预测各贡献资产价值,接着运用加权平均资本成本确定折现率;最后从全部经营收益中减去全部贡献资产的贡献在一定期限内折现得到现值和。利用层次分析法和模糊综合评价法确定XX公路收费权质押的风险等级及相应的*款贷**折扣率,最后确定被评估公路收费权的价值。
1. 未来现金流的预测
▼(1)通行费收入和通行服务成本
XX收费公路的通行费收入以及通行服务成本在公司的年报以及公告中进行了披露,因此从中获取过去8年间(2008-2015年)XX收费公路的通行费收入以及通行服务成本情况。从8年数据得知XX收费公路的通行费收入和通行服务成本是逐年提升的。于是对2008-2015年的通行费收入和通行服务成本进行线性拟合。从过去8年的历史通行费收入和通行服务成本的线性拟合结果,得到两个拟合方程:
Y1=1852.9+211.97X (4.1)
Y2=1052.7+123.75X (4.2)
式中,X表示年份,Y1表示通行费收入,Y2表示通行服务成本,单位为万元,4.1式中拟合优度是R2为0.974,4.2式中拟合优度是R2为0.954,表明这两个线性回归对观测值的拟合程度都很好。因此可根据两个拟合函数对2016-2025年的通行费收入和通行服务成本进行预测。(预测结果见表1)
▼(2)期间费用
①管理费用和销售费用。因为管理费用和销售费用通常和通行费收入有联系,因此我们计算出2008-2015年的管理费用发生额分别占通行费收入的百分比。由8年的数据显示管理费用、销售费用占通行服务收入的占比较稳定,分别在7%、2%左右。因此,取销售费用和管理费用占通行费收入的百分比的平均值作为2016-2025年管理费用和销售费用的预测百分比,分别为7%、1.91%。预测结果见表1。
年的利息费用为18.85万元。
▼(3)企业所得税
XX承接公司所得税率为25%,本案例按25%计算XX段二级公路的未来所得税费用。
▼(4)资本支出
近年来,随着经济的发展,车流量增大对路面损耗加大。因此预计2021年将对该公路段进行大修和油路翻修。另外已知2015年通货膨胀率3%,2016年机器设备的更新成本为95.15万元,可预估2016-2025各年资本性支出见表1。
(下图可点击手动放大)

▼(5)固定资产折旧
XX收费公路的折旧和摊销除了包括目前所有的固定资产折旧和无形资产摊销,还要考虑未来资本性支出的折旧(摊销)额。该段收费公路采用直线法摊销,对于未来10年间资本性支出的折旧(摊销)额,出于简化考虑,基准日固定资产公允价值为960万元,我们按10年进行平均年限法计提。
▼(6)调整自由现金流
在预测2016-2025年通行费收入、通行服务成本、期间费用以及折旧摊销后,调整自由现金流量,预测出在未来10年间XX收费公路的自由现金流情况,如表1。由于数据的限制,先不考虑利息免税对XX收费公路未来收益的影响,计算结果见表1。
2. 折现率
本文运用超额收益法对XX公路收费权质押进行评估,由于公路收费权是一种无形资产,能给企业带来超额获利能力,因此整体的折现率将偏低于公路收费权质押的折现率。从总资产、净资产、营业收入、净利润等主要指标来看,和XX收费公路所在企业较为接近的上市公司主要有皖通高速、中原高速、福建高速,因此将该3家上市公司作为可比企业。
▼(1)公司整体的期望收益率
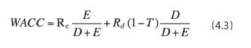
本文运用加权平均资产成本法计算被评估公司XX的预期收益率即折现率。因此必须合理估算出XX公司的债权收益率和股权收益率。计算公式如下:

其中:WACC为公司整体的收益率;Re为股权收益率;Rd为债权收益率;E为付息债务的价值;D为股权账面价值。
①债权收益率。 评估基准日为2015年12月31日,债权收益率取2015年一年期*款贷**利率4.35%。
②股权收益率。 由于每个公司的股权收益率是不同的,本文利用资本资产定价模型分别估算出三个可比公司的股权收益率,并取算数平均值即可求出XX收费公路的股权收益率。
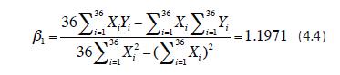
首先计算无风险利率。长期国债利率可认为是只存在系统性风险的利率,因此公路收费权资产评估中,选用长期国债作为无风险利率。本文选取了8年(2008-2015)上市交易的长期国债,计算出其平均利率为3.92%。接着确定β系数。本文分别计算三家可比公司的β系数,取三家β系数的算术平均值算作承接公司的β系数。对于每家β系数,本文采用线性回归法,为了保证计算结果的可靠性,分别选用2013年1月-2015年12月共36个月的月个股回报率和对应的沪深300上证指数回报率。
分别定义皖通高速、中原高速、福建高速的个股收益率为iX 、Γi、Ψi,沪深300指数收益率为iY ,i=1,2,3,4......36。则皖通高速的β1为:

同理可得:中原高速的β2 =1.3978,福建高速的β3=1.2303,因此三家公司β系数的算数平均值为1.2751,即为XX收费公路的β系数。
再次确定市场期望收益率。为了更好地反映市场的整体收益率,本文选用了2013-2015三年的上证指数月收益率,计算出几何平均数作为我国的市场期望收益率,结果如下:

因此XX收费公路股权期望收益率为:

利用加权平均资本成本法,分别算出三家可比公司债权和股权的占比,再乘以相应的税后债权收益率和股权收益率,即可求出XX公路收费权质押的整体期望收益率即整体折现率为10.77%。
▼(2)超额折现率。
以上计算的是XX公路收费权的整体期望收益率,本着收益与折现率应配比的原则,超额收益对应于超额折现率。

利用可比公司公路收费权质押折现率的平均值在10年内计算等额年金现值系数为17.56%,因此XX公路收费权质押的折现率为17.56%。
3.折扣率
为确定XX段公路收费权质押评估的折扣率,向银行从业人员发放问卷,并且回收了22份问卷。接下来利用 层次分析法确定各影响因素的权重。另外邀请5位专家对收费公路风险进行打分,利用模糊综合分析法确定公路收费权质押的风险等级,从而查阅相关文献得到该风险等级对应的银行*款贷**折扣率的大小。
▼(1)一级子风险指标权重的计算
以“公路收费权质押风险”为准则,对“质押物风险、估值风险、内部管理风险、法律风险和环境风险”进行两两比较,得到判断矩阵,据判断矩阵A-B,采用乘积方根法,计算各指标的权重,计算结果如表2所示,并进行一致性检验。
▲表2一级子风险指标

▲计算判断矩阵的最大特征值λmax。

因此,一级指标判断矩阵与一致性检验符合要求,权重向量W=(0.3061,0.3894,0.1495,0.7775,0.0775)。
▼(2)二级子风险指标权重的计算
按照与上述同样的方法,计算质押物风险、估值风险、内部管理风险、法律风险和环境风险下各二级子风险指标对一级子风险指标的权重,并进行一致性检验。计算结果见表3,并通过一致性检验。
▼(3)确定评价等级和风险等级标准
在各风险因素的权重的基础上,确定风险评价等级。为便于评价收费公路质押风险,将XX收费公路的风险分为较低、一般、较高、很高四个等级,评语集E={e1,e2,e3,e4}= {较低,一般,较高,很高},分别对应打分标准为0-25%,26%-50%,51%-75%,76%-100%。各类风险打分标准依据是邀请评估机构和银行专家协定商讨制定的。
▼(4)构造模糊评价矩阵
为了确定XX公路收费权质押评估的风险等级,邀请5名专家(银行专家、资产评估专家)对XX公路收费权质押风险进行评价,专家根据XX公路收费权质押的案例及风险打分依据表对12项二级子风险指标逐一进行评价,经统计整理和归一化处理得到如表3的数据。根据表中的数据,得到模糊评价矩阵UF 。利用权重W及模糊评价矩阵UF ,对项目风险、估值风险、内部管理风险、法律风险和环境风险分别进行评价得到单项风险评价R。
结果如下:

由单项风险评价R和一级子风险指标的权重可以进行综合风险评价,最终得到XX公路收费权质押的风险等级及折现率。

根据综合风险评价计算结果,最大隶属度为0.49,即公路收费权质押风险处于25%-50%的风险区间,风险大小对应于“一般”等级。查阅相关文献,处于一般等级的风险,银行会给出25%的风险折扣。

4.多期超额收益的计算
▼(1)确定贡献资产价值
①流动资产。XX收费公路的资产结构较稳定,每年流动资产增加值占通行服务费收入的30%左右,因此本文利用2015年XX收费公路的通行费收入以及流动资产期末余额,按每年占通行费收入的30%的比例计算流动资产增加额,按2016年央行一年期*款贷**利率4.35%计算流动资产回报率,其税后利率为3.26%,计算XX公路收费权2016-2025年流动资产的贡献价值。
②固定资产。由于固定资产在经营过程中自身价值发生损耗,因此投资者期望收益应包括回收固定资产自身价值和投资回报两部分。固定资产的贡献包括两部分,即固定资产损耗的补偿、固定资产投资的回报。
▼(2)确定XX公路的评估价值
运用超额收益法评估XX公路收费权价值,将预测的2016-2025年XX收费公路每年的自由现金流减去各贡献资产的价值在10年期内折现即可得出XX收费公路的收费权质押价值,最终的评估结果见表4。

结论
高速公路在我国交通运输体系中占有重要地位,与国民经济和社会发展具有密切关系,具有不可替代性。加强对公路收费权质押价值的评估是商业银行亟待解决的问题。本文研究在质押目的下公路收费权的价值评估问题,利用超额收益法对公路收费权质押进行估价,在此过程中折现率的确定采取加权平均资本成本法。另外利用层次分析法和模糊综合评价法,评定公路收费权质押评估的风险等级,由此确定质押物风险大小,对应选取适合的折扣率,并应用到公路收费权质押评估中,使得对公路收费权的质押评估更加准确。
▼第一 ,本文考虑了公路收费权质押的风险因素,使得公路收费权质押的价值评估更精确。本文运用层次分析法和模糊综合分析法度量风险的应用范围扩展到当前热门的公路收费权质押评估,据此得出公路收费的风险等级,对应确定公路收费质押*款贷**的折扣率,将此结果应用到超额收益法对公路收费权质押评估中。将这两种方法的有机结合使用,有助于对公路收费权质押的价值评估。
▼第二 ,本文运用超额收益法评估公路收费权质押价值,评估过程对评估机构有指导作用。方法的运用将大大提高公路收费权质押评估的准确性,指导银行*款贷**工作的进行。第三,本文选取了XX公路收费权的案例,运用上述方法对该公路收费权质押进行评估。
建议
▼(1)银行加强贷后风险监管,建立全面风险预警机制
银行在评价质押物的风险时,不应只是在贷前进行风险管控,在贷后更应该加强日常检查,保证借款本息的归还,减少*款贷**损失,建立全面的风险管理。
▼(2)*款贷**企业建立信息披露机制
加强*款贷**企业的信息披露机制,建立完善的信息公开程序,加强与银行的交流和沟通,将有利于*款贷**的发放,维护企业和银行良好的关系,进而为公路事业以及金融事业的发展作出贡献。
▼(3)公路收费权质押评估考虑的其他因素
由于本人的能力有限,在实际的银行业务中还应该加强对公路收费权质押*款贷**的风险防范。首先银行加强贷后风险监管,建立全面风险预警机制。接着*款贷**企业建立信息披露机制。
公路收费权质押评估未考虑的其他因素:对公路收费权质押的评估过程中,对通行费收入和通行服务成本的预测是使用历史数据然后线性回归得来的,因此这一部分的预测准确性还有待提高。
另外对管理费用、销售费用的预测上,采用其占通行费收入的比重的方法,不可避免的会出现其他风险。
贡献资产的价值中应包含除公路收费权质押以外的其他无形的资产,但是本文未研究这部分资产对其超额收益的影响,若能够利用其他数据得出这部分资产价值,应将这部分价值扣减掉。
文章来源网络综合整理/侵删