我们还是惯例,先复习费马小定理。

我们可以得到这个推论:

证明不难:

说明:≡−1(mod p)的意思和≡p−1 (mod p)是一样的。
例如:1!≡−1 (mod 2)
2!=2≡−1(mod 3)
4!=24≡−1 (mod 5)
6!=720≡−1 (mod 7)
10!=3628800≡−1 (mod 11)
显然,推论写成:

都是等价的。
反过来,如果p不是素数呢?
如果p不是素数,不妨设p=m⋅n
则m、n是p的因子,也是(p−1)!的因子
所以,(p−1)!能被m、n整除
即(p−1)!能被mn=p整除
即(p−1)!≡0 (mod p)
于是,我们得到了一个惊世骇俗的结论:

现在我宣布,我解决了困扰数论届数百年的素数判定问题!
费马微微一笑:小子!想太美了,你知道阶乘的运算量有多大吗!你知道阶乘之后作求模运算量有多大吗!这性质能用来判定素数吗?压根没法用。
数学佬怂……
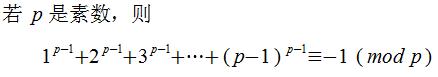
类似的推论还有:

证明更容易:

验证起来一点都不难,不在此处一一列举,朋友们可以代入2,3,5,7,11试试,再大就别试了,计算量实在不是人类干的。
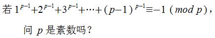
反过来:

很遗憾,这个结论不如我们前面那个,这个猜想是错的,已经被数学家证明了。(偷偷告诉你,我不会证,也看不懂,丢人啊)反例至少有12000位!
想不想看看这个数学佬看不懂的证明长什么摸样?不是几百页啦,区区几行,抄录如下:
