一、中考初中化学综合题
1.金属及其金属材料在人类生产、生活中的作用发生了巨大变化。
(1)我国第五套人民币硬币的成分如下:一角币用不锈钢,伍角币在钢芯表面镀铜,一元币在钢芯表面镀镍(Ni)。为探究镍在金属活动性表中的位置,课外小组的同学设计了如图所示实验。

①B中有气泡产生,反应的化学方程式为_____。
②C中观察到的现象是_____。
(2)首钢旧址中,一座座废弃的高炉已经锈迹斑斑,用硫酸可以除去铁锈,其化学方程式为_____。这些废弃的高炉曾经用于炼铁,用化学方程式表示一氧化碳和赤铁矿(主要成分为Fe2O3)炼铁的反应原理_____。
(3)钛*粉白**的化学名称是二氧化钛(TiO2),无毒,有极佳的白度和光亮度,是目前性能最好的白色颜料。以主要成分为TiO2的金红石作原料,通过氯化法可以制备钛*粉白**,主要流程如下:

①TiO2中钛元素的化合价是_____。
②补全TiCl4与氧气反应的化学方程式:TiCl4+O2
_____Cl2+_____。
③根据绿色化学理念,生产过程中应充分利用原料和减少有害物质排放。从绿色化学的角度看,该工艺流程的明显优点是_____。
【答案】Ni+2HCl=H2↑+NiCl2 无现象 Fe2O3+ 3H2SO4 == Fe2(SO4)3+ 3H2O Fe2O3+3CO
2Fe+3CO2 +4 2 TiO2 氯气循环利用或减少有害气体排放
【解析】
【分析】
【详解】
(1)①B中有气泡产生,是镍与盐酸发生了反应生成了氢气,反应的化学方程式为:Ni+2HCl=H2↑+NiCl2。
②由于镍能与稀盐酸反应,说明了镍在金属活动性顺序表中位于氢的前边,活动性大于铜,所以C中观察到的现象是无现象。
(2)铁锈的成分是氧化铁,用硫酸可以除去铁锈,其化学方程式为Fe2O3+ 3H2SO4 == Fe2(SO4)3+ 3H2O;用赤铁矿(主要成分为Fe2O3)和一氧化碳炼铁的反应物是一氧化碳和氧化铁,写在等号的左边,生成物铁和二氧化碳写在等号的右边,根据得失氧进行配平,反应条件是高温写在等号的上边,所以化学方程式为:Fe2O3+3CO
2Fe+3CO2
(3)①氧的化合价为-2价,设钛的化合价为x,x+(-2)×2=0,x=+4;
②补全TiCl4与氧气反应的化学方程式:TiCl4+O2
2Cl2+TiO2。故填:2;TiO2;
③根据绿色化学理念,生产过程中应充分利用原料和减少有害物质排放,氯气有毒,可以循环使用,氯气循环利用或减少有害气体排放。
故答案为
(1)+4;
(2)2,TiO2;
(3)氯气循环利用或减少有害气体排放。
2.央视《是真的吗?》栏目中有一段视频:将“锡纸”剪成一段两头宽中间窄的纸条,然后两头分别连接电池的正负极,观察到“锡纸”立即燃烧。据此,某实验小组同学取某种“锡纸”进行了以下探究。
(1)“锡纸”燃烧的原因:“锡纸”两端接入电池两极后造成短路致使“锡纸”燃烧,从燃烧的条件分析:开始“锡纸”不燃烧,但短路后却能燃烧的原因是 。
(2)探究“锡纸”中金属的成分:“锡纸”中的金属是锡吗?
(查阅资料)①“锡纸”是锡箔或铝箔和纸粘合而成;②锌粉是一种深灰色固体;
③ 锡(Sn)与酸或盐溶液反应生成+2价的锡盐。
(提出猜想)猜想Ⅰ:“锡纸”中的金属是锡;猜想Ⅱ:“锡纸”中的金属是铝。
(进行实验)设计方案并进行实验。
|
实验操作 |
实验现象 |
实验分析与结论 |
|
取打磨后的“锡纸”片放入试管中,滴加氯化锌溶液 |
“锡纸”表面有深灰色固体析出 |
根据实验现象,结合金属活动性顺序可知猜想 (填“Ⅰ”或“Ⅱ”)成立;反应的化学方程式为: 。 |
(交流讨论)①实验中打磨“锡纸”的目的是 ;
②下列物质的溶液不可以替代氯化锌溶液完成上述实验的是 (填序号)。
A.氯化铜 B.硝酸银 C.硫酸钠 D.硫酸亚铁
(反思应用)
电器短路会引起火灾,我们要严加防范。如果电器着火应该采取的灭火方法是: 。
(探究拓展)该小组为了测定镁铜合金中镁的质量分数,取出3g合金样品,将60g稀硫酸分为6等份依次加入样品中,充分反应后过滤、洗涤、干燥、称重,得到的实验数据如下:
|
稀硫酸用量 |
第1份 |
第2份 |
第3份 |
第4份 |
第5份 |
第6份 |
|
剩余固体质量 |
m |
2.0g |
1.5g |
1.0g |
0.6g |
0.6g |
(3)表格中,m= 。
(4)合金样品中镁的质量= 。
(5)计算所用稀硫酸中H2SO4的质量分数。(要求写出计算过程,下同)
(6)计算当加入第4份硫酸溶液且充分反应后所得溶液中溶质的质量分数。
【答案】(1)温度达到了着火点;(2)Ⅱ;2Al+3ZnCl2=3Zn+2AlCl3;除去表面的氧化物;ABC;先切断电源,然后用干粉灭火器扑灭或者用沙土盖灭;(3)2.5g;(4)2.4g;(5)20.4% ;(6)23.9%
【解析】
探究一:“锡纸”与氧气接触,但是开始“锡纸”不燃烧而短路后却能燃烧的原因是短路时,温度升高,温度达到了“锡纸”的着火点;
探究二:【进行实验】铝比锌活泼,而锡不如锌活泼,所以打磨后的“锡纸”片放入试管中,滴加氯化锌溶液.若有深灰色固体析出则为铝,若没有深灰色固体析出则为锡;铝与氯化锌反应生成锌和氯化铝;故答案为Ⅱ成立;反应的化学方程式为 2Al+3ZnCl2=3Zn+2AlCl3;
【交流讨论】(1)实验中打磨“锡纸”的目的是除去表面的氧化物;
(2)选择的盐溶液中的金属元素应介于铝和锡之间,铜和银均排在锡的后面,钠排在铝的前面,而铁介于二者之间,硫酸亚铁满足条件,故答案为ABC;
【反思应用】
因水能导电,则如果电器着火应采取的灭火方法是先切断电源,然后用干粉灭火器扑灭或者用沙土盖灭;
【探究拓展】
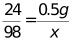
(3)第2和3实验对比中可知,每10g稀硫酸能与0.5g镁反应,可知第一次剩余固体为3g-0.5g=2.5g;
(4)由最后剩余0.6g固体可知,镁的质量为3g-0.6g=2.4g;
(5)根据每10g稀硫酸能与0.5g镁反应,设10g硫酸中溶质的质量为x,
Mg+H2SO4=MgSO4+H2↑
24 98
0.5g x

,解得:x=2.04g
则稀硫酸中溶质的质量分数为

×100%=20.4%;
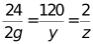
(6)设加入第四份硫酸后生成的MgSO4质量为y、生成的氢气为z,
Mg+H2SO4=MgSO4+H2↑
24 120 2
2g y z

,解得:y=10g、z=0.17g;
充分反应后所得溶液中溶质的质量分数为

×100%=23.9%。
点睛:根据化学反应方程式的计算的步骤一般分为六步:
1.设未知量,即---的质量为x;
2.书写用到的化学方程式(即写→配→标→注),特别是化学方程式的配平是至关重要的;
3.将用到的物质的质量关系标注在相应的化学式的正下方;上行是相对质量关系(即利用相对原子质量或相对分子质量乘以相应的化学计量数得来的),下行是纯物质质量(即已知量和未知量x);
4.列计算用到比例式,即上行的相对质量比等于下行的实际质量比;
5.求算结果,注意一定要有单位;
6.写出简明的答案,一般是问什么就答什么。
3.硫酸在工业上有着重要的用途。
I.以黄铁矿(主要成分为FeS2)为原料生产硫酸的原理及工艺流程可简示如下:FeS2
SO2
H2SO4
(原理)
(工艺流程)

(1)黄铁矿是_____(填“纯净物”或“混合物”)工业生产过程中将矿石粉碎的目的是_____。
(2)在吸收装置中,液体由上而下形成喷雾状的目的是_____。
(3)在实验室模拟制硫酸时用如图装置吸收三氧化硫,除了达到与工业上相同的目的外,还可能考虑的因素是_____。
(4)工业上常用石灰乳来吸收尾气中的二氧化硫,请写出反应的化学方程式_____。(提示:生成物有一种是CaSO3)
II.黄铁矿锻烧后的另一种产物是铁的一种氧化物,其中铁氧质量比为7:3,则其化学式为_____。该物质可用来生产氯化铁晶体。氯化铁也是常用的净水剂之一,相比于明矾,其作为净水剂的优点是_____。
III.实验室中常用浓硫酸来配制稀硫酸。实验室用密度为1.84g/cm3、溶质质量分数为98%的浓硫酸来配制500g 20%,需要水_____g.溶解时,应_____,并用玻璃棒不断搅拌。该实验中还需用到的玻璃仪器有烧杯、量筒、_____。请写出稀硫酸的一种用途_____。
IV.某化工厂以黄铁矿为原料产生硫酸。如果该厂生产98%的浓硫酸100t,不考虑其他各生产阶段的物料损失,需要含FeS260%的矿石质量为多少吨?(写出计算过程)________________
【答案】混合物 加快反应速率 增大反应物的接触面积 三氧化硫易溶于水 Ca(OH)2+SO2=CaSO3+H2O Fe2O3, 补充人体需要的铁元素 398 将浓硫酸盐烧杯壁慢慢注入水中 玻璃棒 金属除锈 100t
【解析】
【详解】
I、(1)混合物是由多种物质组成的,黄铁矿主要成分为FeS2,所以黄铁矿是混合物,工业生产过程中将矿石粉碎的目的是:加快反应速率;
(2)在吸收装置中,液体由上而下形成喷雾状的目的是:增大反应物的接触面积;
(3)三氧化硫溶于水,所以除了达到与工业上相同的目的外,还可能考虑的因素是:三氧化硫易溶于水;
(4)氢氧化钙和二氧化硫反应生成亚硫酸钙和水,化学方程式为:Ca(OH)2+SO2=CaSO3+H2O;
II、设铁的氧化物的化学式为FexOy,56x:16y═7:3,x:y=2:3;所以化学式为Fe2O3,相比于明矾,其作为净水剂的优点是:补充人体需要的铁元素;
III、溶液稀释前后溶质质量不变,需要水500g﹣

=398g,溶解时,应将浓硫酸盐烧杯壁慢慢注入水中,并用玻璃棒不断搅拌;该实验中还需用到的玻璃仪器有烧杯、量筒、玻璃棒,稀硫酸的一种用途是:金属除锈;
IV、设需要含FeS260%的矿石质量为x,


x=100t。
4.水是一种重要的自然资源,是生活、生产必不可少的物质.

(1)如图所示,实验I是制备蒸馏水的装置,实验II是电解水的装置.
①实验Ⅰ中水从A转移到B中,体现分子的性质是_______.
②实验Ⅱ中反应的化学方程式是_______.试管D中产生的气体可以使带火星的木条复燃,当试管D中气体的体积为n时,试管C中气体体积约为___.
(2)如图是甲、乙两种固体物质的溶解度曲线.
①t2℃时,甲、乙两种物质的饱和溶液所含溶质的质量相同,则溶液质量的大小关系为甲____乙(填“>”、“<”或“=”).
②将甲物质的不饱和溶液变为饱和溶液,下列有关说法正确的是_____(填字母序号).
A 溶剂的质量一定变小 B 溶质的质量可能不变 C 溶质的质量分数一定变大 D 溶液的质量一定变大 E 该饱和溶液还可以溶解其它物质
(3)下图是硝酸钾的溶解度曲线.某同学进行了如下实验,得到相应的溶液①~⑤.下列说法正确的是___(填字母序号).

A ④→⑤可析出53.9g KNO3晶体
B ②③⑤中溶质的质量分数相等
C ①③④均为不饱和溶液
D 保持温度不变,若在④中加入6gKNO3固体可得到饱和溶液.
【答案】分子在不断运动 2H2O
2H2↑+O2↑ 2n < BE CD
【解析】
【分析】
【详解】
(1)①分子在不断运动,所以水从A转移到B中.②2H2O
2H2↑+O2↑、电解水时正极产生氧气、负极产生氢气二者的体积比是1:2,故答案:2H2O
2H2↑+O2↑、2n.
(2)①t2℃时,甲的溶解度大于乙的溶解度,t2℃时,甲、乙两种物质的饱和溶液所含溶质的质量相同,所以溶液质量的大小关系为甲小于乙,故答案:<.②甲物质的不饱和溶液变为饱和溶液方法包括加入溶质、蒸发溶剂或降低温度,加入溶质后溶剂的质量不变,A不正确;降低温度,甲的溶解度减小能变成饱和溶液,溶质、溶剂、溶液的质量都不变,溶质质量分数也不变,所以B说法正确,C和D说法不正确;该饱和溶液还可以溶解其它物质,E说法正确,故答案:BE.
(3)A、50℃硝酸钾的溶解度为85.5g,可只加如了80g硝酸钾20℃时硝酸钾的溶解度为31.6g,所以只能析出48.4g,A不正确.
B、20℃时硝酸钾的溶解度为31.6g到操作②,只能溶解31.6g硝酸钾,剩余18.4g②中溶质质量分数为

;50℃时硝酸钾的溶解度为85.5g,③所得溶液中溶质质量分数为

;从③加入50g,共加入80g硝酸钾,到④溶液中只溶解了80g硝酸钾,降温到20℃时只能溶解31.6g,溶液所得溶液中溶质质量分数为

.故B说法不正确.
C、20℃时硝酸钾的溶解度为31.6g,20℃①100g水中只溶解了20g硝酸钾所以①不饱和,②这一温度下100g水中加入了50g硝酸钾溶解31.6g,所得溶液为饱和溶液;加热到50℃时硝酸钾的溶解度为85.5g,加入的硝酸钾只有50g,所得溶液③为不饱和溶液;再加入30g硝酸钾共80g,50℃时100g水中要溶解85.5g才饱和,④中溶液不饱和;然后将④中溶液降温到20℃析出晶体,所得溶液⑤为饱和溶液,故C正确.
D、50℃时硝酸钾的溶解度为85.5g,④中已经溶解了80g硝酸钾,所以再加入5.5g即可得到饱和溶液,所以加入6g硝酸钾能得到硝酸钾的饱和溶液,D说法正确
5.某兴趣小组用下图所示流程制取氧气,并回收提纯氯化钾和二氧化锰。

(1)在溶解固体1的过程中需要控制水的用量,原因有__________(填标号)。
A提高实验效率 B保证固体1全部溶解 C节约能源
(2)若整个流程中物质的量无损耗,则最后所得二氧化锰的质量为________g。
(3)根据化学方程式计算,理论上可回收得到氯化钾的质量是______。
(4)实验结束后,称得回收到的氯化钾的质量比理论值小,可能的原因____________________(写一点)。
【答案】AC 5 14.9g 氯化钾固体没有完全溶解或蒸发过程中氯化钾溶液飞溅
【解析】
【详解】
(1)在回收提纯的过程中需要控制水的用量,是为了提高实验效率,如在蒸发过程中水量太多,会使蒸发时间过长,同时也能节约能源;
(2)二氧化锰在此反应中做催化剂,若整个流程中物质的量无损耗,则最后所得二氧化锰的质量为5g;
(3)设生成氯化钾的质量为x,


x=14.9g;
(4)称得回收的氯化钾的质量比理论值小,可能的原因有氯化钾固体没有完全溶解,蒸发过程中氯化钾溶液飞溅等。
6.⑴化合物可以分为酸、碱、盐及氧化物。在下图中填写不同类别的物质__________(填化学式)实现Ca(OH)2一步转化为CaCO3。

⑵某Ca(OH)2 样品部分变质为CaCO3 (假设其成分均匀)。化学兴趣小组按以下步骤测定该样品中Ca(OH)2 的质量分数。
①配制盐酸:配制500g质量分数为6%的盐酸,需要质量分数为30%的盐酸_____g。
②实验测定:
称取10.0g样品置于烧杯中,加入足量稀盐酸充分反应,烧杯总质量与反应时间的关系如下表所示:
|
反应时间/min |
0 |
t1 |
t2 |
t3 |
|
烧杯总质量/g |
280.0 |
278.9 |
277.8 |
277.8 |
完全反应后,生成的CO2气体的质量为___________g。
③数据处理:计算该样品中Ca(OH)2 的质量分数________(根据化学方程式的计算写出完整的计算步骤)。
【答案】CO2(合理即可) Na2CO3(合理即可) 100 2.2 50%
【解析】
本题考查了碱的化学性质,溶液的配制,根据化学方程式的计算。认真审题,弄清表格中数据与化学反应的关系是进行计算的基础。
(1)氢氧化钙与二氧化碳反应生成碳酸钙和水,氢氧化钙与碳酸钠反应生成碳酸钙和氢氧化钠,二氧化碳是氧化物,碳酸钠是盐,碳酸是酸,二氧化碳、碳酸钠、碳酸类别不相同,所以①可以是CO2或Na2CO3,②可以是Na2CO3或CO2;
(2)设:需要质量分数为30%的盐酸的质量为x。根据溶液在稀释前后溶质的质量不变,则有
500g×6%=x×30%, x=100g;
(3)根据表格中的数据可知,反应生成的二氧化碳的质量=280.0g-277.8g=2.2g;
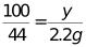
设:碳酸钙的质量为y
CaCO3+2HCl═CaCl2+H2O+CO2↑
100 44
y 2.2g

y=5g
样品中Ca(OH)2 的质量分数=

×100%=50%。
答:⑵①需要质量分数为30%的盐酸100g。
②完全反应后,生成的CO2气体的质量为2.2g。
③该样品中Ca(OH)2 的质量分数为50%。
7.今年,广州“镉大米”事件再次引发了人们对食品安全、环境污染问题的思考。小明同学查阅了镉的相关信息:①镉元素位于第五周期ⅡB族。②镉是银白色有光泽的金属,熔点320.9℃,沸点765℃,密度8.64g/cm3,有韧性和延展性;镉在潮湿空气中缓慢氧化并失去金属光泽;镉可溶于酸,但不溶于碱。③镉对人体十分有害,摄入过量镉污染的食品和水,会引起肺和肾脏疾病。回答下列问题:

(1)根据图中的相关信息,下列对镉元素的判断不正确的是(______)
A 镉属于金属元素 B 一个镉原子中有48个质子
C 镉原子示意图中X=18 D 镉的相对原子质量为112.4g
(2)归纳镉单质的化学性质_______________________________;
(3)“镉大米”主要出现在河水、土壤遭到镉污染的地区,消除“镉大米”需要从源头治理。目前河水治理的方法是:把适量Na2CO3投入被Cd2+污染的河水中,形成CdCO3沉淀,以降低河水中Cd2+的浓度。
①若某河段主要含有氯化镉,与碳酸钠反应的化学方程式为_________________________。
②25℃时,CdCO3的溶解度为2.8×10-6g,则1L河水中含Cd2+的质量为______mg(河水密度为1.0g/cm3,计算结果精确到0.001mg)。国家要求水中Cd2+的含量的标准≦0.005mg/L,用Na2CO3处理的河水____(填“是”或“否”)达标。
【答案】D 镉在潮湿空气中缓慢氧化;镉可溶于酸,不溶于碱;镉有毒性 CdCl2+Na2CO3=CdCO3↓+2NaCl 0.018 否
【解析】
【分析】
【详解】
相对原子质量的单位是“1”,不是质量单位,所以D不正确,化学性质是物质在化学变化中表现出来的性质,镉的化学性质有:镉在潮湿空气中缓慢氧化;镉可溶于酸,不溶于碱;镉有毒性;由于碳酸镉是不溶性物质,所以氯化镉与碳酸钠反应是复分解反应,根据复分解反应的规律可写出两种物质间反应的化学方程式;25℃时,CdCO3的溶解度为2.8×10-6g,则1L(1000g)河水中溶解的CdCO3的质量约为2.8×10-6g×10×103=2.8×10-2mg,所以1L水中镉离子含量为2.8×10-2mg×112/183=0.018mg,高于国家水质标准,所以用碳酸钠处理含镉废水不能达标。
8.工业纯碱中常含有少量的氯化钠。某学习小组对其组成展开探究。现取24g纯碱样品,加入100g水使其完全溶解,再加入96g过量的氯化钙溶液,完全反应后,过滤、洗涤、干燥得沉淀20g。完成下列问题:
(1)反应后溶液中含有的溶质是_____。(写化学式)。
(2)通过已知数据,能求出的量有_____(写字母序号)。
A.反应后溶液的总质量
B.参加反应的氯化钙的质量
C.样品中碳酸钠的质量分数
D.氯化钙溶液中溶质的质量分数
(3)计算反应后溶液中氯化钠的质量分数为_________。(写出计算过程,结果保留到0.1%)
【答案】 CaCl2、NaCl ABC 13.1%
【解析】(1)将24g的纯碱样品溶液水中后溶液中的溶质有碳酸钠和氯化钠,当加入过量的氯化钙后,碳酸钠与氯化钙反应生成碳酸钙沉淀和氯化钠,故反应后溶液中的溶质有过量的氯化钙和生成的氯化钠,化学式为CaCl2、NaCl;
(2)生成的碳酸钙的质量是20g,故可以求出反应后溶液的总质量为24+100+96-20=200g,故A正确;碳酸钙的质量是20g,根据化学方程式可以求出参加反应的氯化钙的质量,故B正确;碳酸钙的质量是20g,根据化学方程式可以求出参加反应的碳酸钠的质量,故可以求出原样品中碳酸钠的质量分数,故C正确;由于氯化钙溶液是过量的,故不能求出氯化钙溶液的质量分数,故D错误。故选ABC。
(3)解:设反应后生成氯化钠的质量为x,参加反应的碳酸钠的质量为y,
Na2CO3+ CaCl2= CaCO3 ↓+2NaCl
106 100 117
y 20g x

故24g样品中氯化钠的质量为24g-21.2g=2.8g,故反应后溶液中氯化钠的质量为23.4g+2.8g=26.2g
反应后溶液的总质量为24+100+96-20=200g

答;反应后溶液中氯化钠的质量分数为13.1%。