
3月14日,也是所谓的“π日” (Pi day)。 2011年,国际数学协会正式宣布,将每年的3月14日设为国际数学节。π不仅仅在几何学、数论和统计学等方面有着广泛的应用,同时也在宇宙学、热力学、力学和电磁学等领域中大放异彩。所以今天小编就带大家(回想起被数学支配的恐惧)一起感受圆和圆周率的魅力吧。

某不存在的网站上庆祝π日的Doodle,2010年3月14日。
01
“π”什么
π的中文名字是圆周率,是一个数学常数,定义为圆的周长和其直径的比值,约等于3.1415926535897......。大约在18世纪中期之后,人们开始用希腊字母π来指代它,所以有时也会拼写为“pi”。

圆周率π的朴素定义(不朴素的定义详见下文)
关于π的值3.1415926535897......,它是一个无理数(也就是说π是无限不循环小数),同时也是一个超越数(所谓“超越数”,是指不满足任何整系数多项式方程的实数的数)。


“超越数”这个名字出自欧拉1748年的评论:“它们超越代数方法所及的范围之外。”但直到1844年,超越数的存在性才被法国数学家刘维尔证明。
02
“圆”可不可以不圆?
不知道有没有小伙伴会与小编有类似的问题,圆形可不可以不是圆的呢(这是何等握草的脑回路)?如果圆形不是圆的,那么世界又会发生什么变化呢?
要弄清这个问题,首先让我们从定义出发,想一想“圆”到底是个什么东东?

喵星人亲自示范如何让自己变圆
生活中圆形的东西比比皆是,不过为了让文章的叙述更为科学(B格更高),我们借用小学生数学课上对于圆的定义:“在一个平面内,一动点以一定点为中心,以一定长度为距离旋转一周所形成的封闭曲线叫做圆。”

当然各位看官自然不是小学生,所以我们改用更为高级一点(其实并没有)的语言描述一下这个问题。根据欧几里德的《几何原本》定义,圆是在同一平面内到定点的距离等于定长的点的集合。


圆的标准方程。两个方程所代表圆的区别在于圆心的位置和半径的大小。
由此看来,一切问题的出发点都可以归结到两点之间的距离。那么问题来了,距离的本质是什么?


这里我们引入范数(norm,这可是连牛津高阶也查不到的翻译)的概念。简单而言,范数可以认为是“距离”或者“长度”概念的推广。而在众多范数中, p-范数与我们的生活最为接近。

范数的严格定义(实际上似乎也不够严格,因为此处应该首先介绍半范数,不过毕竟篇幅(读者老爷们的耐心)有限)。有兴趣的同学可以参考任意一本书名中带有“泛函分析”字样的教科书。


p-范数,又称为lp-范数,“l”这里指的是法国数学家亨利·勒贝格(Henri Léon Lebesgue)。这里留一道家庭作业,为什么p-范数定义中要求p大于等于1?
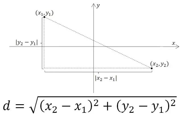
前面讲到的p=2的情形(欧几里德范数),实际上就对应了我们日常生活中所说的“距离”,即在笛卡尔坐标系下两点间的距离公式。当然平面几何中不需要n维向量,只需要二维向量(x,y)就足够了。


二维平面上的两点间距离公式。细心的小伙伴可能已经发现距离公式和前面提到的圆的方程非常相似。事实上,这里给出的两个公式恰好对应前面图中的两个圆。
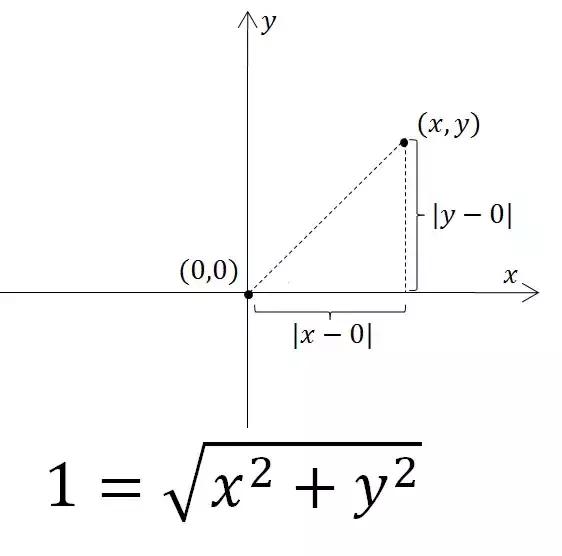
现在让我们再次回到单位圆的问题,考虑一下在不同范数下单位圆的形状有何不同。



当p取不同数值时,“单位圆”的形状。考虑到所有的圆形都可以视为单位圆改变圆心位置和/或改变半径后的产物,所以为了方便起见,这里就给出单位圆的形状。
显然随着p的增大,“单位圆”也就变得越来越胖,而且经历了“由方变圆又变方”的奇妙旅程

03
π能不能不等于3.1415926......
既然“单位圆”都可以不是圆的,那么我们不禁要问,π能不能不等于3.1415926......呢?

这个问题其实就已经有点接近数学家的恶趣味了,不过还是在文章的最后(不顾读者的骂声)简要地讲一讲吧。

我们首先考虑极限情况,也就是让p趋近于无限大,那么我们就得到了下面的图形。(没错,就是刚才的图又放了一遍)考虑到圆的面积S等于π乘以半径的平方。由于下面这个图形也属于“单位圆”,所以它的半径就是1,于是我们就得到了上面图形的面积S数值上等于π!由于S这里等于4,所以这种情况下π=4?!(这都是什么鬼)
上面所讲的虽然有些无厘头(事实上是错误的示范),但是最终π=4的结论是没有问题的。(思考题:正确的思路应该是怎样的呢?)考虑到p=1的时候得到的图形本质是跟p趋于无穷时没有什么不同,所以p=1同样应该对应π=4。这里推荐C. L. Adler 与 James Tanton发表在《The College Mathematics Journal》上的文章(是的,你没有看错,这些东西都是College Mathematics):
Adler, C. L. , and J. Tanton . "π is the Minimum Value for Pi." The College Mathematics Journal 31.2(2000): 102-106.
这里我们用Mathematica软件重现了一下文章的结果。



上面图像是范数p的取值与π关系。横坐标为范数p的取值,纵坐标是在不同范数的情况下“圆周率”的取值。图像是依据下面展示的公式绘制的。最后给出一组具体的数值供同学们参考。
由此可见,虽然π本身似乎可以乱动,但是3.1415926......确乎有着某种特殊的意义,至少它是所有可能的π中最小的一个。

同学们,看完今天的科普,大家会不会觉得有些意犹未尽呢?想要了解更多科学家脑洞大开的奇思妙想,敬请关注外研社与当当网联合推出的“科学美国人,带你度π日”专题活动。数十种图书任君挑选,专题内图书“满100减50”。还等什么,快跟你的小伙伴一起来选购吧~~~

《自然》百年科学经典(英汉对照精装版)

《自然》百年科学经典(英汉对照平装版)

《自然》学科经典系列:化学的进程
国内首套英汉双语对照版的《自然》论文精选集,百年自然科学的波澜,尽在《〈自然〉百年科学经典》!

科学美国人系列(点击查看系列介绍)
精选自全球尖端的科普杂志《科学美国人》,展示科学发展趋势,打开科学探索之门!

青少年科学素养文库:沿着大师的足迹
当代中国科学家为青少年量身定做,每本书配有百余幅彩图,透视科学家的研究历程、思维方式和情感命运 !

青少年科学素养文库:科学名著轻松阅读
清新的文字,专业的导读,栩栩如生的插画,精美的印刷……走进大师的世界,了解自然的变迁,感受生命的脉动 !

自然丛书
史怀哲《行走在非洲丛林》、卡逊《海风下》、利奥波德《环河》经典作品,带你眺望远方的世界!

步客口袋书
让阅读无处不在,小开本承载大智慧!

一念非凡:科学巨擘是怎样炼成的(点击查看详细介绍)
央视《加油!向未来》节目科学顾问、中科院物理所曹则贤研究员的力作。重温大师们研究过程中灵光乍现的时刻,非凡一念,成就科学人生!

蜇虫记
世界首创蛰痛分级,幽默的语言讲述关于虫虫世界的生动故事 !

疯狂小虫(点击查看详细介绍)
超精致原比例昆虫矢量大图绘本。漂亮的都是蝴蝶,灰扑扑的才是蛾子?蜂类、蚁类都是群居的?《疯狂小虫》颠覆你的昆虫世界观 !

科学教学——科学史和科学哲学的贡献
一本书读懂科学史和科学哲学,开启全新的科学教学之旅!
外研社科学出版
微信号:fltrpscience


长按识别二维码关注我们