
电热半导体制冷片(组件)利用帕尔贴(Peltier)效应进行制冷。Peltier效应是指电流通过电热偶时,一个节点发热,另外一个节点吸热的现象。这是由法国物理学家Jean Peltier在1834年发现的。
到了1960年左右,出现了利用N型、P型半导体材料制作的制冷片。因其体积小、制冷快、寿命长、无噪声等优点而被广泛应用在军事、医疗、实验装置中的制冷。

一片半导体制冷片
为了提高制冷片的效能,通常半导体制冷片中包含众多由N、P型半导体组成的制冷小单元。它们组成阵列排列,相互之间电气上是串联在一起。它们的冷端和热端则是并联在一起,夹两片陶瓷片之间进行固定。

左:^^一个制冷单元;^^右:^^串联在一起的制冷单元阵列
制冷片外部引线具有正负极性,由红、黑两种颜色区分。改变电流方向,就会改变制冷片的吸热和发热表面。

TEC1-12706半导体制冷片

由于制冷片是半导体材料制成,同时又具有热电效应,所以直接使用数字万用表测量制冷片外部引线,就会发现输出的阻值会在很大范围内变化,并且随着制冷片受热而剧烈变化。
下图实验显示当手触碰制冷片表面时,数字万用表读出的阻值发生很大的变化。

手摸制冷片,引起制冷片两面温度发生变化,使得测量电阻改变。真正的原因是制冷片产生电压,使得数字万用表读出的电阻阻值不准确。
直接使用数字万用表可以测量到制冷片两边的电压。当在制冷面使用手掌加热时,制冷片输出负电压。当喷射酒精将制冷片降温时,制冷片输出正电压。

改变半导体制冷片两边温度会引起输出电压改变极性
制冷片既然可以产生电压,也可以产生电流。下图显示使用数字万用表的测量电流档对制冷片输出电流测量。
将手放在制冷片一个表面时,制冷片输出的电流接近1mA左右。

半导体制冷单元输出电流

既然半导体制冷片在有温度差的情况下能够输出电压和电流,所以可以用于发电。下图显示的是一个使用制冷片发电去给手机充电的系统。
在锅里放置冷水、冰块等。在锅底贴有制冷片,通过煤气罐从制冷片底下加热。制冷片就会产生电能供给手机充电了。

发电锅原理
当然了,上述发电方式效率是不高的。制冷片的实际用途还是用于制冷。

由于制冷片热惯量很小,所以它的制冷速度非常快。使用红外摄像头观察制冷片在通过电流时的温度变化,可以看到在几秒钟之内制冷片便达到热平衡了。
实验中的制冷片工作在外部12V电压下,流经的电流约3.4A。

红外摄像头下显示制冷片在通过电流时的发热端温度变化

^红外摄像头下显示制冷片在通过电流时的吸热端温度变化
在通过电流时,制冷片在冷热两端会产生一定的温度差。如果将制冷片的发热端使用散热片进行散热,来降低热端的温度,这样会使得吸热端的温度也得到了进一步降低。
下图显示了通过导热胶粘贴在散热片上的制冷片。

使用导热胶将制冷片粘贴在散热片上
工作在12V,3.4A下的制冷片。经过散热器将制冷片的发热面温度保持在室温,则制冷表面的温度很快就会达到零下30度。

在制冷表面滴下自来水滴,它很快就会凝结成冰。
在下图实验中,在水滴中加入了两个电极,使用万用表测量电极之间的电阻。在室温下,水滴中电极之间的电阻大约是100k欧姆左右,随着温度降低,电阻增加。当水滴凝结成冰时,电极之间的电阻就会上升到10M欧姆。

水滴中电极电阻随着结冰和融化过程的变化曲线
当关掉制冷片电源,温度上升,冰重新融化成水滴后,电极两端的电阻重新回到100k左右。这个实验显示水和冰的导电性能相差很大。
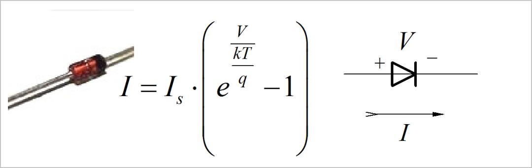
对于制冷片上的温度测量,可以使用铂电阻、热电偶、半导体温度传感器进行测量。使用普通的二极管也可以进行测量。
二极管的正向导通电流与端口电压之间的关系为下面公式所描述:

公式中:
- Is:反向饱和电流,它与二极管的型号和温度有关系。
- k:玻尔兹曼常数:1.38E-23 J/K
- q:电子电荷:1.609E-19 C
- T:温度,开尔文
上面公式显示在相同电压下温度T越高,流过的电流越小。但实际二极管的电流曲线和温度的关系却是,随着温度增加,流过的电流就越大,表明二极管是一个负温度系数的器件。如下图所示:

1N4148二极管在三种温度下的电压-电流关系
实际二极管之所以具有导通特性负温度系数,主要原因是在二极管电压电流公式中,反向饱和电流Is也与温度有关系,并且随着温度的增加而急剧增加。Is的增加遮盖了二极管电压电流公式中指数中的温度T的影响。
根据二极管负温度系数特性,在固定流过二极管电流时(比如流经二极管电流为恒定的1mA),二极管两端的电压则会随着温度的升高而降低。
下图显示了在五种不同导通电流下1N4148二极管端口电压与温度之间的曲线。显示了电压与温度之间良好的线性关系。利用这种关系可以利用普通的二极管完成温度的测量。

在不同的导通电流下二极管前向电压与温度之间的关系
下面动图显示了放在制冷片上的二极管在通有1mA恒流情况下随着降温时间出现的端口电压的变化。在玻璃封装的二极管周围滴有自来水,最终降温使得水凝固成冰,将二极管冻在制冷片上。
动图显示,随着温度降低,二极管端口电压上升。由于电压与温度之间呈现反向线性关系,所以将下面的曲线上下颠倒过来看,可以认为是制冷片上表面温度随着时间降低的曲线。

二极管导通电压随着降温过程而发生变化
将上面的二极管更换成一个510欧姆的小型金属膜电阻,使用数字万用表测量电阻阻值。
下图显示随着降温,电阻被最终冻结在制冷片上。电阻的数字大约增加了6欧姆左右。这个实验结果也是非常奇怪的。通常情况下,电阻的阻值应该随着温度的升高而增加,不知道为何在这个实验中所使用的电阻则是随着温度的降低而增加阻值。

金属膜电阻随着温度降低阻值变化曲线
上面实验显示金属膜电阻的温度系数非常小。
下面是对一个小型铝电解电容的温度实验。电解电容的标称值为10uF/16V。将电容横放在制冷片上,并用自来水滴在电容与制冷片之间以加强传热性能。
随着制冷进行,电解电容温度降低并最终被水冰冻在制冷片上。电解电容的容值从最初的9.4uF降低到8.2uF。

电解电容随着温度降低容量变化曲线