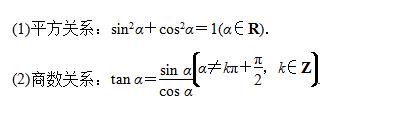
一、同角三角函数的基本关系式

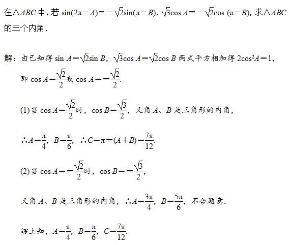
典型例题1:

二、六组诱导公式

“奇变偶不变”是指“当k为奇数时,正弦变余弦,余弦变正弦;当k为偶数时,函数名不变”.“符号看象限”是指“在α的三角函数值前面加上当α为锐角时,原函数值的符号”.
典型例题2:

三、应用诱导公式时应注意的问题
(1)利用诱导公式进行化简求值时,先利用公式化任意角的三角函数为锐角三角函数,其步骤:去负号—脱周期—化锐角.特别注意函数名称和符号的确定.
(2)在利用同角三角函数的平方关系时,若开方,要特别注意判断符号.
(3)注意求值与化简后的结果要尽可能有理化、整式化.
典型例题3:

四、利用诱导公式化简求值时的原则
(1)“负化正”,运用-α的诱导公式将任意负角的三角函数化为任意正角的三角函数.
(2)“大化小”,利用k·360°+α(k∈Z)的诱导公式将大于360°的角的三角函数化为0°到360°的三角函数.
(3)“小化锐”,将大于90°的角化为0°到90°的角的三角函数.
(4)“锐求值”,得到0°到90°的三角函数后,若是特殊角直接求得,若是非特殊角可由计算器求得.
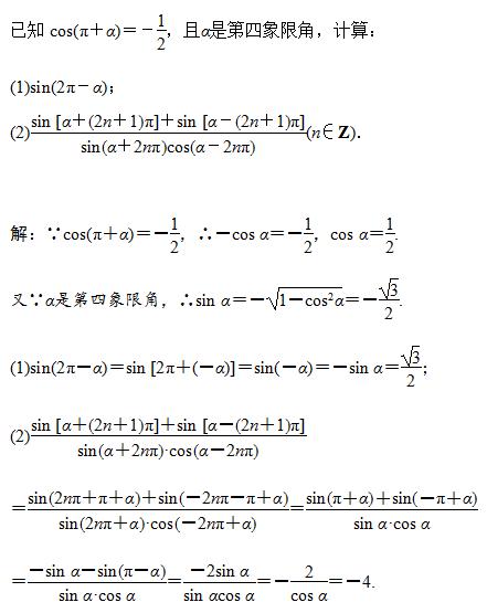
典型例题4:

典型例题5:
【作者:吴国平】