第二十二节 “氵,江,四”三点水,江字,四字解析。
写字是一门艺术,一手漂亮的文字也能让许多人爱不释手。生活和学习中大家都要把汉字书写得漂亮让人欣慰。
一、手写规范汉字,从偏旁及简单的汉字开始:
1、“氵”三点水的手写规范解析:

首先,①点,顿点的写法,不用点得太立或过于水平就可以,力度轻到重,不宜点得过长;然后②点,顿点的写法,大小与①点差不多,力度重到轻,起笔竖向上略超出①点的起笔左面一些,收笔与①点的中点竖向齐平(大约);然后③提,力度重到轻,起笔与②点的起笔齐平(竖向上),收笔与①点的收笔齐平(竖向上),不要提得与①点的收笔挨着过近如上图(2)。
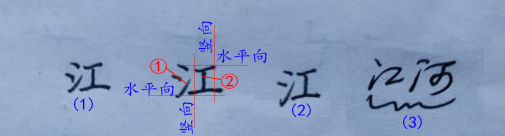
2、“江”字的手写规范解析:

首先,①三点水上面讲过;然后②“工”的第一横,横略短、左矮右高,起笔与①三点水的第一点的收笔差不多一样高,收笔与①点的第一点的起笔一样高(水平向),力度均匀,竖起笔与第一横的中点,收笔与①三点水的提的中点大致一样高(水平向),第二横略左矮右高,力度均匀,左右两边分别超出上面一横的左右两边一些即可。上图(3)大家也可以练习,带笔写法。
3、“四”字的手写规范解析:

首先,①竖,斜着的竖,不宜斜得过大,也不宜竖得太高,力度均匀;然后②横折钩,横折钩的横左矮右高,略长些,收笔与①竖的收笔齐平(水平向),起笔与①竖的起笔一样高或略下一点,力度微轻折重后均匀至钩;然后③撇,小撇,稍立些,力度重到轻,然后④竖弯,小的竖弯,③撇和④竖弯分别在②横折钩的横的中点两边,③撇到与①竖的中点略下些(水平向)不要挨着,④竖弯也不要挨着②横折钩的折钩,转弯处大约约③撇的收笔一样高,力度均匀,竖弯是竖略长(或高),弯短。
总之,“氵”虽然简单,大家一定要练习标准规范,否则很多三点水的字都会写得自己都不满意。