
文 | 派大星随笔杂谈
编辑 | 派大星随笔杂谈
高性能柔性有机薄膜晶体管(OTFTs)在显示驱动器、智能卡和射频识别标签方面显示出巨大的潜力。
其中聚合物栅极电介质被认为是将OTFTs集成到新兴显示和标记技术中的关键部件,这是由于它们固有的机械柔性和易于大面积制造的可加工性。

介电性能如良好的绝缘特性(即低电流泄漏和高击穿电场)通常被认为是高性能器件的先决条件之一。
同时,一个非常重要但经常被忽视的问题是聚合物电介质与有机半导体的相容性。然而,调节有机半导体在聚合物绝缘体上的分子堆积的关键技术仍然不足。

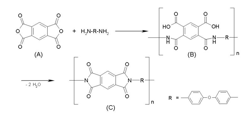
聚合聚合物电介质
在过去的几十年里,人们研究了许多聚合物电介质及其对器件性能的影响,酰亚胺(PI)是一种综合性能优异的绝缘体材料,在有机电子学中表现出良好的可行性。
利用低温处理来控制PAA的酰亚胺化,以制备用于坚固介电层的无规共聚物的新结构,其不仅含有苯环和脂环族环以获得高链堆积密度,从而提高绝缘性能,而且含有有利于分子堆积和电荷传输的强极性基团(COOH/CONH)。

通过新的结构化共聚物电介质实现的上述两个优点的良好平衡有助于具有空前性能的柔性OTFTs(迁移率高达5.6厘米2 V−1 s−1并五苯的工作电压低至3 V)和出色的稳定性。
此外,还成功地制造了诸如反相器和振荡器之类的柔性逻辑电路。

聚合聚合物电介质实验采用的方法
1.XPS和UPS测量
实验所采用的样品是通过在清洁的ITO玻璃基底表面旋涂5~7 nm的PAA膜制备的,然后退火形成共聚物膜,然后在与光电子能谱仪相连的蒸发室中原位沉积厚度递增的并五苯层。

x射线光电子能谱(XPS)是在2 × 10的基底压力下在克瑞托斯轴超DLD超高真空表面分析系统中进行的−9托与单色铝Kα (1486.6 eV)作为激发源。
紫外光电子能谱(UPS)测量是在一个克瑞托斯轴超DLD光电子能谱在3 × 10−8用氦放电灯(21.22 eV)作为激发源,样品偏压为-9 V。
2.电容测量

用HP 4284 A精密LCR计在20 Hz至100 kHz的频率范围内测量频率相关电容。
3.ATR测量

衰减全反射(ATR)红外光谱通过傅立叶变换红外光谱(FTIR张量-27,BRUKER)。在玻璃晶片上制备样品,然后在不同的退火温度下处理。

聚合物电介质实验的测量结果
1.电介质的合成与表征
根据先前报道的程序前体PAA可以容易地大量生产,通过聚合均苯四甲酸二酐(PMDA,C10H2O6)与4,4′-氧二苯胺(ODA,C12H12N2o),然后通过在200℃下的原位退火处理将PAA酰亚胺化成共聚物膜。

通过增加链堆积密度(增强苯环和脂环之间的相互作用)来保证绝缘性能,保留一定数量的极性基团(COOH/CONH ),优化分子堆积和电荷传输,兼容低成本柔性器件的溶液加工。
用x射线光电子能谱(XPS)测定了PI和共聚物的C ls、N ls和O ls的结合能,分析了它们表面的化学组成。这些光谱被解卷积成与不同*能官**团相关的典型光谱特征。
除了酰亚胺基团(O = C–N–C = O,C 1s、N 1s和O 1s峰分别位于约288.4、约400.6和约531.7 eV)之外,还有羧酸基团(–COOH,C 1s和O 1s峰分别位于约289.1 eV和约533.3/~532.2 eV)和氮氢键(–NH–N峰位于约400.0 eV)2a、b、c。
同时,在完全(100%)酰亚胺化的聚酰亚胺表面上仅检测到纯酰亚胺基团。亚胺化程度通过衰减全反射红外光谱(ATR)测量。

通过定义导致完全亚胺化(100%)的300°C退火,计算出共聚物的亚胺化程度(200°C)为89%,这进一步证实了共聚物中存在极性基团(COOH/CONH)。
研究这些绝缘膜的介电性能,测试了电流密度和击穿电场。采用金/绝缘膜/氧化铟锡(ITO)的夹层器件结构,并且通过原子力显微镜(AFM)测量每个绝缘膜的厚度。

共聚物膜的电流密度低至10−8一厘米−2在5V的偏压下观察到,比PAA低一个数量级,表明苯环和脂环的存在提高了绝缘性能。
此外,PAA介质层只能承受小于400MV·m的电场−1,而这种具有相同厚度的共聚物膜表现出高得多的击穿电场(约650MV·m−1)几乎是PAA的两倍,非常接近完全交联的PI(约660MV·m−1)。

并五苯在电介质上的生长模式及表面能表征
使用X射线衍射(XRD)和2D掠入射X射线衍射(GIXRD)来检测沉积并五苯薄膜的结构有序性。在共聚物表面上形成的高度有序的并五苯薄膜仅显示出(00l)晶格平面。
方向的垂直“布拉格棒”反射qxy(面内)与方向上的衍射峰结合q2D·GIXRD的z(面外)揭示了这种并五苯薄膜的内部侧边分子堆积模式。

此外,通过AFM进一步分析了不同厚度(4.5、15和50纳米)的并五苯薄膜的形貌。很明显,并五苯晶粒表现出树枝状结构,具有约1.5微米的较大晶粒尺寸在共聚物表面上。
随后,通过测量水和乙二醇的接触角来评估介电膜和介电膜上的并五苯的表面能。绝缘体和并五苯之间的表面能匹配非常重要,这可能有助于从该界面开发出更有效的晶体管沟道。

柔性有机薄膜晶体管
为了证明共聚物膜在柔性器件中的适用性,在PET衬底上制备了以该共聚物作为栅极电介质和20 nm Au气相沉积层作为源电极和漏电极的并五苯基OTFTs。

显示了空气中Au/共聚物(160 nm)/ITO在20 Hz至100 kHz范围内的比电容与频率的函数关系。每单位面积的电容(CI)经测量约为20nf·cm−2(频率为20赫兹)。
此外,这些器件在大气环境中很稳定,几乎不受空气中的水分或其他杂质的影响,这表现在它们在空气和真空中几乎相同的性能上。

器件的坚固性可归因于共聚物和并五苯之间的紧密相互作用,使它们的界面不受环境条件的影响。
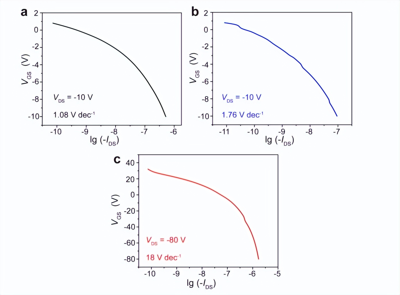
这种OTFT的典型输出特性显示了线性和饱和状态下漏极电流的预期栅极调制,测量了OTFT的向前和向后特性,滞后效应可忽略不计,小于基于PAA的器件。
在超过4500次传输特性循环测试中,器件表现出出色的工作稳定性和在60天的货架寿命测试期间良好的环境稳定性。

共聚物与并五苯之间的界面电子结构
结合原位厚度相关的紫外光电子能谱(UPS)测量,以研究共聚物和并五苯之间的界面电子结构。很明显,在并五苯在共聚物上原位增量沉积后,真空水平(VL)从4.89 eV逐渐降低到4.57 eV,这表明在接触时电荷(电子)从并五苯转移到共聚物。
其中HOMO位置直接来自UPS测量,最低未占据分子轨道(LUMO)边缘通过将共聚物和并五苯的3.46和2.30 eV的光学带隙分别添加到它们相应的HOMO能级来估计。

因此,界面处空穴和电子的积累导致并五苯和共聚物层中的显著能带弯曲。在并五苯/共聚物OTFT中,通过施加在源电极和漏电极上的电场,并五苯侧的自由空穴可以容易地沿着界面被驱动。
由此得出结论并五苯/共聚物界面有利于电荷传输过程。
1.研究表面极性基团(COOH/CONH)的作用
PAA薄膜的退火温度分别降低到180、160和140℃,相应地,在空气中(相对湿度约为60%)和真空中测试这些共聚物层的电容(从20 Hz到100 kHz)。

观察到空气和真空中的电容差异很小,这证明了这些共聚物层在不同退火处理下的突出鲁棒性。这意味着表面上极性基团(COOH/CONH)的密度相应增加。

该共聚物保留了表面极性基团(COOH/CONH),这些基团可以在并五苯骨架的π电子云与COOH*能官**化电介质中氧原子的非共享电子对之间提供显著的排斥力,导致更有序的堆积和更高的结晶膜,并五苯分子位于其表面上。
因此,引入极性基团(COOH/CONH)对该系统的性能起着至关重要的作用。
2.并五苯沉积速率的影响及其进一步扩展的应用
随着沉积速率的增加,介电层表面上并五苯的晶粒尺寸逐渐减小,这在两种共聚物表面上都可以观察到和PI表面。

并五苯薄膜的相应结晶度也随着沉积速率的增加而降低。因此,并五苯薄膜更多的晶界和更低的结晶度导致迁移率的降低。
与具有PI电介质的OTFTs相比,具有共聚物电介质的OTFTs显示出一致的器件性能改善,进一步证实了共聚物的普遍适用性。

此外,这种共聚物还允许双极操作显示了基于α,ω-双(联苯基)三噻吩(BP3T)的双极晶体管的典型传输和输出曲线。

基于并五苯的柔性OTFT器件也用弯曲试验表征并且在平行(红色)和垂直(蓝色)方向上以5 mm的弯曲半径弯曲柔性器件1000次后,平均迁移率下降小于10%,验证了这些设备的出色灵活性。
3.柔性电路的制造和性能
除了单个并五苯otft外,我们还研究了基于PET衬底上并五苯otft的逻辑电路(反相器和振荡器)的性能,显示了灵活的逆变器阵列和单极性逆变器的结构。

在PET衬底上具有共聚物电介质的反相器显示出增益约为15的开关响应,这意味着它在更复杂的逻辑电路中的潜在应用。用五级环形振荡器评估了柔性低压并五苯OTFTs的动态性能。
弯曲500次后,每级电路的增益和单次延迟几乎没有变化。这些弯曲测试进一步证实了这些电路的出色灵活性,表明它们在更复杂的集成电路中的应用前景广阔。

结论
本次研究主要介绍了一种简单高效的策略来制备一种用于坚固介电层的新型结构共聚物,该共聚物不仅含有苯环和脂环族环,具有高链堆积密度,从而提高了绝缘性能,还含有强极性基团(COOH/CONH ),有利于分子堆积和表面电荷传输。
由共聚物电介质实现的这两种性质的良好平衡有助于具有前所未有的性能的柔性OTFTs(迁移率高达5.6 cm2 V−1 s−1并五苯的工作电压低至3 V)和出色的稳定性。
此外证实了共聚物电介质的普遍适用性,并且成功地制造了诸如反相器和振荡器的柔性逻辑电路。实验结果表明,该共聚物在塑料高性能集成电子方面有着令人振奋的前景。

参考文献
[1] 新型MEMS压力传感器的设计与制造. 饶成明;杜伟略;蒋松昊.传感器与微系统,2022
[2] 复合材料柔软性对倒金字塔微结构阵列传感器性能的影响. 赵凌云;黄汉雄;罗杜宇;苏逢春.高等学校化学学报,2021
[3] 柔性阵列式压力传感器的制备研究. 刘双斌;秦会斌.传感器与微系统,2021
[4] 高迁移率有机晶体管中红荧烯薄膜的生长前沿成核.应用物理.91, 193505.(2007)