二次函数是中考数学必考的重点和难点之一。相比于其他函数的学习,二次函数的难度最大。中考的考点当中,二次函数与其他知识点相结合的考点也是错综复杂,常常出现在压轴题当中。

今天我们就从二次函数易错的考点出发,为大家总结五大类,希望能在大家学习二次函数的过程当中,帮助大家规避陷阱。
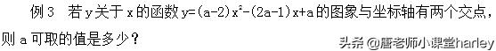
一、忽略二次项系数不等于0
二次函数与一元二次方程。姐的关系可以利用德塔判别式进行判定,德塔等于b平方减四,ac这种题型出现的时候,很多同学都不会错,原因是一开始就知道它是一个二次函数或一元二次方程,但有些题目当中给你的虽然看上去是一元二次方程,但是二次项系数为字母时,一定不能忽略二次项系数为零的情况当二次项的系数为0时1元二次方程就转化为一元一次方程的情况。如果忽略这种情况,就会导致大家在解题时出现漏解的情况。



二、忽略隐含条件
一般情况下,题目当中比较明显的条件都是大家熟知的,而一些隐含的条件往往牵引着整个题目的关键部分。特别是二次函数的二次项,一次项和常数项这些系数相关的判别式或对称轴,顶点等都是大家应注意的隐含条件。在我们排除一题多解的情况时,起到了非常关键的作用。






三、忽略数形结合思想方法的应用
数形结合的思想方法,在初中学习函数的过程当中是非常重要的一种解题方法。那么在二次函数当中进行数形结合也是学习二次函数的主流方法。特别在求对应未知数的值与函数值的比较时,如果能用数形结合画出图形,那么解题过程是一目了然的。求函数在限定范围内的最大值与最小值时还要考虑二次函数的顶点与所求范围的函数值,如果对称轴在是未知数的范围之内,那么最大值和最小值将发生改变,不能只考虑端点的两个数字所对应的函数值。



四、求顶点坐标时混淆符号
在二次函数求顶点坐标时,我们有固定的求坐标的公式,所牵扯和涉及的字母a,b,c都是函数所对应的系数,各系数前面的符号都要带入求值,千万不能忽略,否则算出来的结果都是错误的。





五、忽视根的判别式的作用
二次函数与一元二次方程的关系当中,一元二次方程的两个根即为二次函数对应的与x轴的两个交点。所以△判别式的作用和一元二次方程的根的关系,是我们在求解未知数的过程当中不可忽略的一个重要条件。




综上所述,在学习二次函数的过程当中,我们可以通过数形结合的主流方法将二次函数的图象与性质掌握牢固,在解题的过程当中,解题时的易错和一些细节都是大家特别关注的内容。它有可能导致大家在解题时出现:思路没有问题,过程没有问题,但答案出现披露的情况,每一种情况都要大家细细地琢磨总结常见的易错题型,单纯牢记这些易错点,也是没有太大作用的,还要大家在实际的解题过程当中与题目进行匹配,在实际的运用过程当中能与题目相结合,这样才能使自己的解题更加的熟练,解题思路更加的清晰、缜密。