
分享兴趣,传播快乐,增长见闻,留下美好。
亲爱的您,
这里是LearningYard学苑!
今天小编为大家带来《考虑保鲜努力与增值服务的生鲜电商供应链的协调与信息共享》生鲜电商供应链协调。
欢迎您的用心访问!
本期推文阅读时长大约5分钟,请您耐心阅读。
Share interest, spread happiness,
increase knowledge, and leave beautiful.
Dear you,
this is the LearingYard Academy!
Today I bring you "Coordination and information sharing in the fresh produce e-commerce supply chain considering preservation efforts and value-added services" Fresh produce e-commerce supply chain coordination .
Welcome your visit!
The reading time of this tweet is about 5 minutes, please read it with patience.
本期推文通过思维导图,精读内容,知识补充三个板块,展示博士论文《考虑保鲜努力与增值服务的生鲜电商供应链的协调与信息共享》生鲜电商供应链协调,请读者跟着小编一起来学习吧!
This issue tweets through three panels of mind map, intensive reading content, and knowledge supplement to showcase the PhD thesis "Coordination and information sharing of fresh produce e-commerce supply chain considering preservation efforts and value-added services" Fresh produce e-commerce supply chain coordination, readers are invited to follow the editorial!
思维导图
本次推文将介绍此论文的第三章考虑保鲜努力与增值服务的生鲜电商供应链协调的生鲜电商供应链协调,思维导图如下:
This tweet will present the third chapter of this thesis on fresh produce e-commerce supply chain coordination considering preservation efforts and value added services for fresh produce e-commerce supply chain coordination with the following mind map:

精读内容
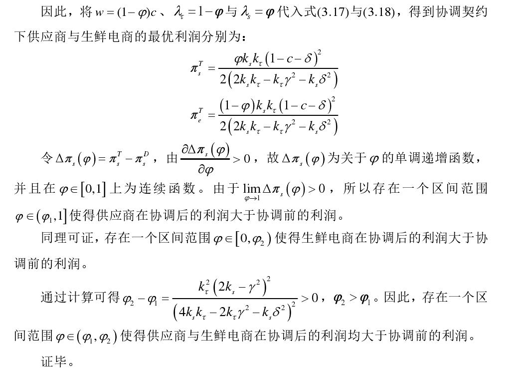
上次推文将分散决策的收益和集中决策的收益进行了对比,说明合作的必要性,这期推文将介绍如何确定合作合同。作者首先发现一个双向成本分担契约无法实现供应链协调,需要在结合收益共享合同才能协调供应链。所以作者设定了成本分担函数参数和收益共享参数。
The last tweet compared the benefits of decentralised decision making with the benefits of centralised decision making to illustrate the need for collaboration, and this tweet will describe how to define a collaboration contract. The authors first found that a two-way cost-sharing contract would not enable supply chain coordination, and that it would need to be combined with a benefit-sharing contract in order to coordinate the supply chain. The authors therefore set the parameters of the cost-sharing function and the benefit-sharing parameters.

随后构建了供应商利润函数和生鲜电商利润函数。
A supplier profit function and a fresh produce e-commerce profit function were then constructed.

为实现供应链协调,协调后的供应链决策和收益应该与集中决策下的决策和收益相等。作者然后用逆向归纳法得到销售价格p和服务水平s和保鲜努力t,由于协调后决策相同,因此联立集中模式下的结果,得到协调后的批发价格和双向成本分担比例、收益共享比例。随后带入到供应商利润函数和生鲜电商利润函数中,得到协调后供应链的收益。
To achieve supply chain coordination, the coordinated supply chain decisions and benefits should be equal to those under centralised decision making. The authors then used reverse induction to obtain the selling price p and service level s and preservation effort t. Since the post-coordination decisions are the same, the results under the joint centralised model were used to obtain the post-coordinated wholesale price and two-way cost-sharing and benefit-sharing ratios. This is then brought into the supplier profit function and the fresh produce e-commerce profit function to obtain the benefits of the coordinated supply chain.




随后作者证明了可行收益共享区间的存在性,通过求导的方法,发现在0-1之间存在收益共享的区间。
The authors then proved the existence of a feasible revenue sharing interval, which was found to exist between 0 and 1 by means of a derivative method.

最后总结,实现该协调契约需要同时满足两个条件,1.供应商定的批发价格低于成本比例等于电商提供的保鲜成本分担比例。2.供应商给电商分担服务成本比例与分得销售收益比例相等。
To conclude, two conditions need to be met in order to achieve this coordinated contract: 1. the supplier sets a wholesale price below cost equal to the share of the cost of freshness provided by the e-commerce company; 2. the supplier's share of the cost of service to the e-commerce company is equal to the share of sales revenue.

知识补充
论文此章节作者使用了成本分担和收益共享契约,那么供应链中还有其他哪些种类契约呢?
1.退货契约(回购契约)
供应商对零售商没有卖的产品以小于批发价的价格进行回购,故该契约的转移利润就是在上述批发价契约所付利润的基础上,扣除那些没有卖掉的产品的回购值。其目的是给销售商一定的保护引导销售商增大采购,使需求不确定性而产生,而后针对分散决策供应链中具有需求则更新的批发价合同引起的双重边际化问题,利用收益共享合同进行分析并得到解决方案。
2.数量折扣又称批量作价
这是企业对大量购买产品的顾客给予的一种减价优惠。一般购买量越多,折扣也越大,以鼓励顾客增加购买量,或集中向一家企业购买,或提前购买。数量折扣又可分为累计数量折扣和一次性数量折扣两种类型。
3.二部定价契约
传统的二部定价契约中,制造商提供给零售上的批发价格是等于其生产的边际成本,而零售商则交纳一定份额的特许费。
4.批发价格契约
批发价格契约中仅有批发价格是固定的,零售商根据批发价格来决定自己的订货量。此时,供应商根据销售商的订购量组织生产。供应商的利润是固定的,零商的利润取决于其产品的销售量,但同时零售商也要承担产品的库存处理,风险完全由零售商承担,销售商承担产品未卖出去的一切损失。
In this section of the thesis the authors use cost-sharing and revenue-sharing covenants, so what other types of covenants are there in the supply chain?
1. Return covenants (buy-back covenants)
The supplier buys back the products not sold by the retailer at a price less than the wholesale price, so the profit transferred in this covenant is the buyback value of those products not sold, deducted from the profit paid in the wholesale price covenant described above. The aim is to give sellers some protection to guide them to increase their purchases so that demand uncertainty is created, and then to analyse and obtain a solution to the problem of double marginalisation caused by wholesale price contracts with demand renewal in decentralised decision making supply chains using revenue sharing contracts.
2. Quantity discounting, also known as volume pricing
This is a price reduction offered by a company to customers who buy a large quantity of a product. Generally, the larger the purchase, the greater the discount, to encourage customers to increase their purchases, or to concentrate their purchases with one company, or to buy in advance. Quantity discounts can be divided into two types: cumulative quantity discounts and one-off quantity discounts.
3. Two-part pricing contracts
In a traditional two-part pricing contract, the wholesale price offered by the manufacturer to the retailer is equal to its marginal cost of production, while the retailer pays a share of the royalty.
4. Wholesale price contracts
In a wholesale price contract, only the wholesale price is fixed and the retailer determines its own order quantity based on the wholesale price. In this case, the supplier organises production according to the quantity ordered by the seller. The supplier's profit is fixed and the retailer's profit depends on the volume of its products sold, but at the same time the retailer is responsible for the disposal of the product's stock and the risk is entirely borne by the retailer, with the seller bearing all losses if the product is not sold. 在
今天的分享就到这里了。
如果您对今天的文章有独特的想法,
欢迎给我们留言,
让我们相约明天。
祝您今天过得开心快乐!
That's it for today's sharing.
If you have a unique idea about today’s article,
welcome to leave us a message,
let us meet tomorrow.
I wish you a nice day !
参考资料:DeepL翻译,知乎,百度
参考文献:刘墨林. 考虑保鲜努力与增值服务的生鲜电商供应链的协调与信息共享[D].重庆大学,2020.
本文由LearningYard学苑整理发出,如有侵权请在后台留言!