没有标准工时,别谈现场管理, 标准工时是衡量一切工作的标准,意义和价值不言而喻,可是应该如何管理好一个制造型公司的标准工时呢?今天我们一起来看看F公司的标准工时管理规范,以期为我所用,取长补短。
目的
- 规范标准工时作业流程, 明确标准工时的系统更新&签核流程;
- 为人力设备需求评估、产能估算、生产计划、费用率及成本分析等相关工作提供可靠之工时数据。
范围
适用于XXX事业群ODM&CEM所有产品之标准工时管理作业,各BU严格执行。
名词解释
- 标准工时(ST): 具有平均熟练程度的操作者,在标准作业条件和环境下,以正常的作业速度和标准的操作方法,完成某一项作业所需要的总时间。其计算公式为:
- 『标准工时=实测作业时间×(1+评比系数)×(1+宽放率) =正常作业时间×(1+宽放率)』
- 平均熟练程度的操作者: 经培训认可合格,在某工种有1个月以上的工作实践经验者,可视为该工种之平均熟练程度的操作者。
- 标准作业条件和环境: 即工作区域之设备、工装夹具、物料、微气候等处于安全合适的条件下。
- 正常的作业速度和标准的作业方法: 在不会引起过度的精神或身体的疲劳之速度下,以规定的操作步骤、操作方法进行作业。
- 实测作业时间: 即现场实际量测得到的某一项作业实际发生的时间。
- 正常作业时间: 合格工人按规定的作业规范进行工作所需要的时间。
- 『正常作业时间=实测作业时间×(1+评比系数)』
- 工作评比: 即把操作者的实际状态与标准条件进行比较,给出相应评比系数,将实测作业时间调整为正常作业时间之方法。
- 评比系数: 由于操作者的作业速度存在个体差异,需要在实测作业时间的基础上加入的修正系数(本规范中采用平准化法中的评比系数作为标准)。
- 平准化法 (Leveling): 又称西屋法(Westinghouse System)﹐为美国西屋电气公司所首创﹐是时间研究中应用最为广泛的一种评比方法。它将熟练﹑努力﹑工作环境﹑一致性四者作为衡量工作的主要评比因素﹐每个评比因素再分为超佳(或理想)﹑优﹑良﹑平均﹑可﹑欠佳六个等级。
- 宽放率(%): 指为剔除操作者因生理限制、操作方法、客观条件等因素造成的时间延误影响, 给正常作业时间加入的修正系数,通常以工作抽样法获取基础数据来确定。宽放时间主要由四项组成﹐包括作业宽放﹑疲劳宽放﹑生理宽放和管理宽放。
- 宽放率的计算公式: 宽放率(%)=宽放时间/正常工作时间×100%
- 线平衡率=产线所属各工位标准工时之和÷(该线瓶颈工站标准工时×工位总数)×100%
- 瓶颈工站(Bottle Neck): 是指在流水生产线中,单片产品产出时间最长的工站。
- 节拍时间(Tact Time): 即指生产在线连续产出两件相同制品的时间间隔。
- 『节拍时间=有效工作时间÷产出产品数量』
- 工站: 指生产流程中独立且不可缺少的作业站别,可包括1个或多个相同作业的工位。
- 工位: 指生产流程中的最小组成单位,通常由1人进行独立作业.
- SAP: 厂内使用的ERP系统 Systems, Application & Products in Data Processing
- NPI: 新产品导入
- BOM: 物料清单
- MD: 生产变更 (Manufacturing Deviation)
- ECO: 工程变更命令 (Engineering Change Order)
- ECN: 工程变更通知 (Engineering Change Notice)
- MSC: 标准方法变更通知书 (Method of Standard Change Notice)
- SOP: 标准作业指导书 (Standard Operation Procedure)
- Flow Chart: 流程图
参考文件
- NSDII ATP的标准工时制定作业规范
- 厂区标准工时制定作业规范
- CPEI SAP工时维护规范
职责
RD/PM
- 开始NPI前﹐将标准工时预定所需产品基本信息(如BOM等) 及时知会IE;
- NPI和量产过程中﹐若有制程方面的变动需求, 须知IE评估标准工时是否变动。
IE
IE主管
- 制定本部门标准工时的改善考核指标,并进行督导执行;
- 关注标准工时的准确性和更新及时性, 每月进行确认;
- 确认新机种及标准工时升高的机种之工时测定表, 考核其合理性并会签;
- 指定专人统一保管<<标准工时变更申请表>>、<<标准工时签核表>>。
IE工程师
- 根据产品之Flow Chart来制定新机种的标准工时;
- 根据ECN或MD对有生产变动的机种之标准工时进行更新;
- 在无生产变动的情况下, 每月确认/更新各机种的标准工时;
- 将新的标准工时数据更新入系统并确保更新正确;
- 制作机种的标准工时测定表, 若为NPI导入量产的机种或旧机种标准工时变更时会签IE主管和经管IE等相关单位。
经管IE
- 稽核IE工程师制定或更新的标准工时准确性, 各系统工时更新的的一致性和及时性;
- 确认NPI导入量产的机种或旧机种标准工时变更之工时表, 考核其合理性并会签, 并将签核资料复印存盘;
- 每周检讨各BU的生产力,并根据生产力达成状况衡量检讨标准工时的合理性;
- 每月检讨TOP20销量机种MOH超标部分的标准工时并稽核.
制造处处长
- 确认NPI导入量产机种或旧机种的标准工时增高之机种工时变更申请表,考核其合理性并会签;
- 确认标准工时增加的机种标准工时签核表, 考核其合理性并会签.
作业流程与内容
- 新机种导入时, 标准工时的预估制定:
- 在新机种导入试作之前, IE工程师须进行该机种的标准工时预估, 并在SAP系统中建立标准的Routing&相关作业.
- IE工程师在预估新机种的标准工时时, 有两种方法可供采用:
- 类似机种参考法: 如果过去有同系列的机种大量生产并已具备实际量测的工时数据, 进行Flow chart和实物的比较后得出修正版的类似标准工时;
- PTS之MOD法: 模特排时法(Modular Arrangement of Predetermined Time Standard) 是PTS技术中的常用方法,其意为“以模特数的排列来预定动作所需的标准时间”。它以简单的手指动作为最基本动作单元,身体其他部位动作所需时间都以手指动作一次所需时间的整数倍表示。
- 它包括了21种基本动作﹐8个时间值﹐时间单位以MOD表示。换算关系如下:
- 1 MOD=0.129 S ;1 S=7.75 MOD
- IE工程师在SAP系统中建立新机种预估的标准工时后, 在该机种实际量产时必须进行实际作业时间的测量, 新的标准工时数据会签后更新到SAP系统中.
- 量产时机种工时的实际测量和标准作业时间的确定
- 当新机种导入量产时, IE工程师开始根据码表测时法进行实际作业时间的测量。
- 码表测时法: 以工位作业时间为对象,对构成工位的作业要素进行周期重复观察,并测定其工时的一种方法。测时步骤与方法如下:
- 实际测时前的准备工作
- 明确测时目的,确定测时对象。
- 调查作业现场环境和条件。 主要包括诸如机台、工艺装备是否符合规定;工作地在温度、湿度、照明和噪声等条件是否符合要求等。
- 工位的动作细分和确定计时点:
- A. 机动时间与手动时间分开;
- B. 定量作业要素与变量作业要素分开;
- C. 规则作业要素与不规则作业要素分开;
- D. 工位细分后还要规定出各作业要素明显可辨的界限,即计时点;
- E. 测时工具准备 (码表、观测板、记录表) 及观测人员培训。
- 实地测时的观察和记录
- 将机种﹑测量日期﹑测量人﹑工站名称填入<<【XXXBG】工时测量记录表>>。
- 测量方法常用的有:连续测时法、反复计时法、循环计时法。
- 连续测时法:从观察开始就启动码表,在每个作业要素结束时记下其结束时刻,这样连续不断的将各循环周期内所有作业要素一一记录,直至满足测量所需次数时停下码表。
- 反复计时法:在每个作业要素开始时启动码表,作业要素结束时,按停码表,然后把经过的时间记录在表中,同时将码表规零。每个作业要素都如此反复进行。
- 循环计时法:将全部作业要素一次性测完, 在记录时每次舍弃一个作业要素,将其余的作业要素合并为一进行计时&记录的方法,等全部观察次数结束后,再计算出各作业要素的实际时间。
- 如测试方法为连续测时﹐初测记录次数为10次,测完一次后码表不归零﹐任其继续走动﹐直至完成所需次数,然后翻查码表记忆数据﹐将其记录入<<【XXXBG】工时测量记录表>>。当观察到作业因异常原因中断时﹐此次观测应人为中断﹐再从下一次作业开始时观测。
- 若观测对象的一个作业周期时间小于5s﹐则连续测量3~5个作业循环﹐然后按下述公式记录进入工时测定记录表﹐直至完成10次工时测量。
- 『作业工时=测量时间∕观测的作业循环次数』
- 测时资料的整理分析
- 整理和计算各作业要素的实际时间及平均作业时间。在计算前应该将操作和记录失误的异常时间除去。
- 检验测时数列的稳定性。可利用管理图发现异常值,轻则舍弃个别值,偏差太大则重测。剔除异常值也可用三倍标准差法,正常值为x±3σ内的数值。
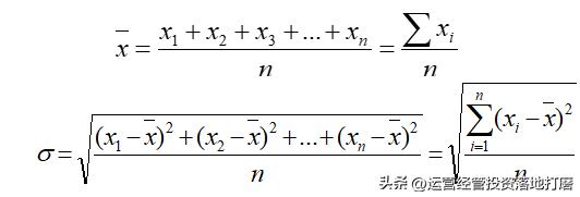
- 设对某一操作单元观测n次,所得时间分别为:x1、x2、…、xn,平均值与标准差的计算公分别为:

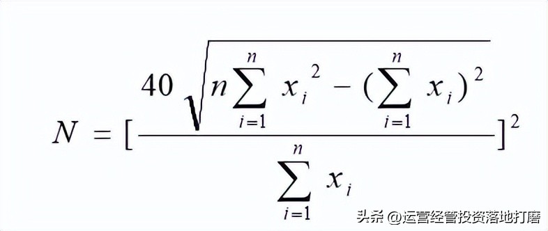
- 剔除异常值后﹐计算出应观测次数N。

在满足±5%精确度和95%可靠度要求的情况下,观察次数由以下公式计算:
- N--确定需要的观测次数,
- n--事先实测次数,
- xi--每一次码表读数
如果N<=10,无须再观测;
如果N>10,应再观测(N-10)次。观测时同样需要注意人为判断数据真实性; 将补测的数据记入<<【XXXBG】工时测量记录表>>﹐表格计算出平均值x-Bar﹐此x-Bar即为观测时间。
- 标准作业时间的确定
- SMT制程段标准工时制定
标准工时计算公式:
标准工时=Max(各机台观测时间×(1+宽放率) );其中宽放率:
- 印刷机宽放率(%)=(手擦钢网时间(分钟.次/小时)+换擦网纸时间(分钟.次/小时)+ 添加锡膏时间(分钟.次/小时))/60
- 贴片机宽放率(%)=(平均换料次数(次/小时)×平均一次换料时间(分钟))/60
- 回焊炉宽放率(%)=0
- 观测时间:
码表法测时: 连续两片PCBA流出至相同位置一次测时,连续测10次,取平均值.
- 说明: 以上方法为通用原则, 涉及具体设备类型对应的标准工时制订方法, 见附件中的附表四<<【XXXBG】SMT段设备标准工时制订原则>>.
- PTH制程段标准工时制定
标准工时计算公式:
- 标准工时=Max(各工站观测时间×(1+评比系数) ×(1+宽放率))
- 宽放率=通常统一为10% (各BU如遇特殊情况可在5%~15%内调节)
- 评比系数=经验值(-0.2- 0.2)
- 观测时间:码表法测时
- Test段标准工时制定
标准工时计算公式:
- 标准工时=(Handling time+ Test time)= ((观测时间×(1+评比系数) ×(1+宽放率)+平均机台测试时间))
- 宽放率=通常统一为10% (各BU如遇特殊情况可在5%~15%内调节)
- 评比系数=经验值(-0.2- 0.2)
- 观测时间:码表法测试Handling time
- 平均机台测试时间:取10次测试时间的平均值
- SI段标准工时制定
标准工时计算公式:
- 标准工时=Max(各工站观测时间×(1+评比系数) ×(1+宽放率))
- 宽放率=通常统一为10% (各BU如遇特殊情况可在5%~15%内调节)
- 评比系数=经验值(-0.2- 0.2)
- 观测时间:码表法测时
- 量产机种标准工时的系统数据更新
- 负责机种的IE工程师按实际测得的标准工时数据制作机种的标准工时表, 经管IE进行确认会签后提交IE主管进行核准;
- 核准通过后, 在3天内IE工程师将新的标准工时更新到SAP系统及相关数据中.
- 标准工时的变更&修改, 数据保存&稽核
标准工时变更时机
- 周期性工时核对:机种NPI过程中﹐IE工程师每半个月更新一次标准工时﹔量产过程中﹐每个月更新一次标准工时;
- NPI或者量产过程中,客户发出的ECO或MD影响到产品的Flow Chart时, 在现场导入操作后两周内完成标准工时数据更新, 并维护至SAP系统;
- IE或相关单位进行制程/设备/设计改善对工时产生影响时, 在现场导入操作后两周内完成标准工时数据更新, 并维护至SAP系统。
标准工时变更方法
- 标准工时变更流程: 若机种制程变更会导致标准工时升高, 由制程变更需求部门填写<<【XXXBG】标准工时变更申请表>>, 然后由IE部门对工时变更的合理性进行评估, 待制造处处长核准后, 再由IE进行标准工时修订作业.
- 任何对工时的制定和修改需要经过IE工程师的同意,其他单位不得修改标准工时数据;
- 标准工时修订方法: 同6.2与6.3 作业流程.
标准工时数据保存
- 所有机种的<<标准工时变更申请表>>,<<标准工时签核表>>数据均由IE部门指派专人统一进行存盘,保存期限1年;
- 经管IE须对签核的标准工时数据复印保存(期限1年), 以利稽核.
标准工时的稽核
- 经管IE进行随机性的系统更新及时性和实际准确性稽核;
- 经管IE每月定期进行TOP20销量机种MOH超标部分的标准工时稽核, 具体作业办法由经管IE另行发文说明.
写在后面:
标准工时的运用是一种科学管理,所以一定要用科学的方法来测量和获取它。同时要建立配套的机制保障其能持续发挥价值,真正为我所用。