代数基本定理表明了复数域的特征,就如同实数连续性定理表明了实数域的特征。我前面写过一篇“用确界存在证明实数是连续的”,用无限小数表示实数,确界存在表明实数系没有“空隙”。现在从实数系的零点存在定理出发,证明代数基本定理。

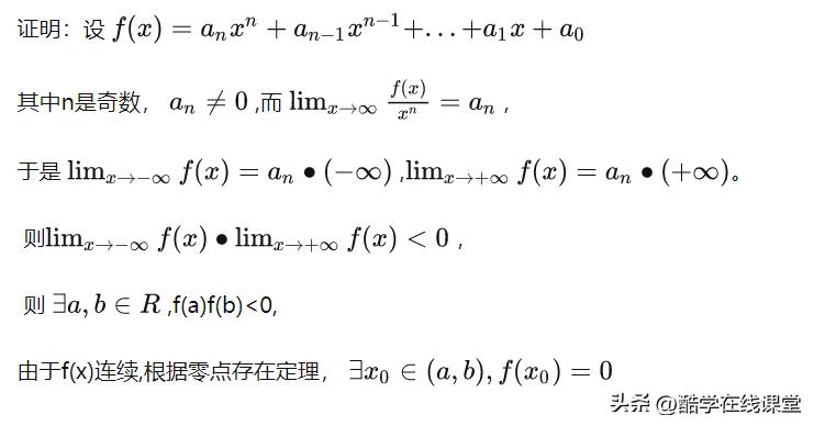
引理1 、 每个奇次实系数多项式必有一实根 。

引理2 、 复系数二次多项式的根都是复根 。

接下来是关键的证明,前面已经证明了奇次实系数多项式有一个实根,也就是有一个复根,但是缺少偶次实系数多项式的情况,引理2的二次多项式是一个偶次的情况,现在应用数学归纳法来证明每个次数大于等于1的多项式有复根。
引理3 、 每个次数大于等于1的实系数多项式必有复根 。




这个证明关键在于构造G(x)这个实系数多项式,构造的方法类似于拉格朗日预解式,根的任意置换使多项式不变,说明多项式系数是根的对称式,所有对称式都可以用基本对称式表示,所以G(x)是实系数多项式。而G(x)次数又满足归纳假设,于是G(x)有复数根。现在证明代数基本定理。

实际上代数基本定理说复系数多项式必有一个复数根,很快我们就可以知道复系数多项式所有根都是复数根,也就是复数域是代数封闭域。
设f(x)是一个复系数多项式,则它一定有复数根,设根为a,则f(x)=(x-a)g(x),g(x)也是复系数多项式,所以它必有一个复数根,这样f(x)就可以在复数域中完全分解。
用确界存在证明实数是连续的(数学分析)
如何推导三次方程和四次方程求根公式
为什么n大于等于5时,n次对称群不是可解群