从大的方面来看,很多领域都需要功率测量,而且不同领域功率测量的方法大不相同,例如:在通讯领域,需要测试发射设备(如天线)的发射功率、传输功率、接收设备的接收功率等,这里的测试信号大多都是射频信号,频率较高,看不见摸不着,要对其进行功率测量一般需要使用天线接收或功率传感器,接收时需要设置好频点或频带,再进行功率测量(关于射频功率计具体介绍详细见“射频功率计测量介绍”一文)。
在直流和低频电参数和功率测试领域(最典型用的是电网和电力领域),由于其信号频率较低,一般通过测其电压、电流、电阻等来计算功率即可,而且测试这些基础参数的仪器很多,例如万用表、示波器等,用它们来测量电路中电参数(一般指电压、电流和功率),也可以通过数字功率计来直接测得,在直流和低频技术中测量功率的功率计,也可称为瓦特计。对于电参数测量无外乎需要测量电压、电流、电阻等基本参数,但是对于这些参量的测试需要注意其定义方法,例如:电压参数的定义就有很多种: 电压瞬时值、电压均方值、电压整定值、电压有效值、电压峰值等。下面,本文主要介绍直流和低频领域中的功率等电参数测量和这些参数的定义方法。
一、有多少种功率定义?
功率是表征电信号特性的一个重要参数。电流在单位时间内做的功叫做电功率,用来表示消耗电能的快慢的物理量,国际单位是瓦特(Watt),简称瓦,符号W,用P来表示,功率P=d功/d时间=dW/dt;单位时间内消耗的功率,就是电能,W=P×t,国际单位是焦耳(Joule),简称焦,符号Q,用W表示。例如:我们常见的家用电器中,一个用电器的功率大小是指这个用电器在1秒内所消耗的电能,即1瓦(1W)=1焦/秒(1 J/s)=1伏·安(1V·A);常用的电度表:1度= 1kW·h=3600000J。用电器正常工作时的电压叫做额定电压,在额定电压下工作的功率叫做额定功率,用电器在实际电压下工作的功率叫做实际功率。
电功率作为表示电流做功快慢的物理量,一个用电器功率的大小数值上等于它在1秒内所消耗的电能。电功率等于导体两端电压与通过导体电流的乘积:P=U×I。电功率包括直流电功率、交流电功率和射频功率。在直流电路,通过测量电压和电流即可计算快速计算出直流电功率,即P=U×I=I2R。在交流电路,对于纯电阻电路与直流一样,计算电功率可以用公式P=I2×R和P=U2/R得出,其电能也成为为电热Q,即P=dQ/dt。对于非纯电阻电路,交流功率又包括正弦电路功率和非正弦电路功率。交流电功率还可分为瞬时功率、平均功率(有功功率)、无功功率、视在功率。在电学中,不加特殊声明时,功率均指有功功率。在非正弦电路中,无功功率又可分为位移无功功率、畸变无功功率,两者的方和根称为广义无功功率。关于射频功率计具体介绍详细见“射频功率计测量介绍”一文。下文重点介绍交流低频率电参数的各种参数的电压。
在IEEE技术词典中,列出了十多种不同的交流低频功率定义,其中有两种为最常用的功率类型:视在功率S、平均功率P(也称真值功率、有功功率)。还有许多其它功率定义,如无功功率、Q值、谐波功率、瞬时功率等。
下面为交流功率的计算公式,其中P(t)指瞬时功率,u(t)、i(t)指瞬时电压和瞬时电流;U、I指电压、电流有效值,P指平均功率。
P(t)=u(t)×i(t),

,即平均功率为一个周期内(T)净能量变化速率
在正弦交流电中,无功功率计算公式:Q=UIsin∮;有功功率计算公式:P=UIcos∮;正弦电流电路中的有功功率、无功功率、和视在功率三者之间是一个直角三角形的关系:S2=P2+Q2。在非正弦电路中,有功功率和视在功率的定义不变,然而,此时电压、电流相位差已经没有明确的物理意义,由于无功功率Q与基波及谐波电压、电流的相位角相关,称为位移无功功率Q。为此,引入畸变无功功率D(简称畸变功率),某些文献中也将Q称为无功功率,而将Q和D的方和根称为广义无功功率。总之,非正弦电路中,视在功率S、有功功率P、位移无功功率Q、畸变无功功率D计算公式如下:S2=P2+Q2+D2。
二、多种电参数运算定义
在交流电功率中,区分好瞬时功率、平均功率(有功功率)、无功功率、视在功率等功率值至关重要。在具有纯阻抗的交流电路中,电压有效值与电流有效值的乘积值,称为 " 视在功率S",等于有功功率P;在交流电路中,由于有感性或容性储能设备,电压与电流有相位差,通俗讲就是电压与电流不在同一时间到达;因此,表面看电压有多大、电流有多大,实际并没有做那么大的功,有电源与储能设备的能量转换,所以称为视在功率,单位为VA;交流电的瞬时功率不是一个恒定值,功率在一个周期内的平均值叫做有功功率,单位为W。对于正弦波,有功功率P=Urms×Irms×cosφ,其中Urms是电压的有效值,Irms是电流的有效值,φ是正弦交流电压U与电流I之间的相位角,cosφ功率因数,仅对于正弦波有效。对于非正弦交流电路,采用平均功率 ,P平=∑Un×In×PF,其中,Un包含了谐波电压的电压测量值,In包含了谐波电流的电流测量值,PF是功率因数,一般用于非正弦波形,包含了n次高次谐波,采用离散计算方法。
对于像灯泡、加热器等电阻负载,平均功率的测量和计算很方便。但是,这样的计算不适用于非线性负载。现代的电子技术应用中,开关电源、电子整流器,空调控制系统、感应或脉冲调制马达等都使用了非线性技术,这样,在设计,故障诊断和分析中都需要进行非线性负载的平均功率测量。平均功率运算很重要。
1、算术平均值Avg
公式:

周期性信号的算术平均值是对信号在一个周期T内的平均值,相当于信号中的直流成分。如果平均值等于0,则该信号为纯AC信号。对于DC信号,平均值与瞬时值相同。对于同时含有AC和DC成分的信号,平均值为其中的DC成分。
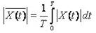
2、整定值
公式:

公式:

整定值是一个周期内绝对值的算术平均值,绝对值通过信号整流获得。 整定值示意图如下:

对于AC正弦波电压 ,U(t)=Vpksin(2πft),整定值等于峰值的2/π=0.637。
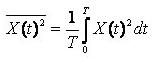
3、有效值rms
信号的均方值等于信号平方值的平均值,公式如下:

;均方根值等于:

。为了使AC信号能够使用与DC信号同样的计算公式,比如电阻、功率等的计算,对信号的均方根值进行了专门定义。AC信号的均方根值与相同幅度的DC信号产生的效果相同。例如:采用230Vrms AC电压供电的白炽灯泡获得的电能与采用230V DC电压对其供电获得的电能是相同的。对于正弦波信号,均方根值是其峰值的0.707。
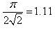
4、波形因数F
信号的整定值乘以波形因数之积等于信号的有效值:

。对于纯正弦波信号,波形因数等于:

。
5、峰值因数C
峰值因数的大小等于峰值和有效值之比,它对于失真信号测量非常重要。公式如下:C=Vpk÷Vrms。
对于纯正弦波信号,波形因数等于√2=1.414。如果峰值因数超过测量仪器的规定值,则测量结果会出现误差。计算有效值的准确度取决于峰值因数,信号的峰值因数越高,有效值计算值的准确度越低。通常,最大允许峰值因数的规定与仪器的满刻度值有关,如果仪器的量程仅被使用一部分(例如500V的量程使用了230V),则峰值因数将按照满量程与实际使用量程的比值增加。
三、如何用示波器测量电功率
如上所述,对于电力耗能方面的功率测量,只要获得几个关键参数(如电压、电流的有效值等),再通过计算便可以获得,所以说可测量这些基本参数的仪器就可进行功率测量,如万用表、示波器等,但是对于某些信号的电压或电流频率较高,这时万用表就力不从心了,可以使用数字示波器观察波形,再利用数字示波器的自动测量和计算功能即可得到结果。下面海洋仪器主要介绍几个通过示波器进行功率测量的实例。
实例1:通讯电源输入功率测量
以通讯电源输入举例。如下图所示,通道1为某电路的电压信号,通道2为其对应的电流,通过泰克的TDS3012C示波器的自动测量功能,分别得到其有效值,为了得到视在功率,我们将测量到的有效值相乘,得到视在功率=120.8V×1.108A=133.8W。为了得到有效功率,我们使用泰克的TDS3012C示波器的数*运学**算(Math)按钮,将电压和电流的波形“逐点”相乘,得到有效功率=88.0W。注意,这里使用的是相乘后的“平均值(Mean)”而不是“有效值(RMS)”来得到有效功率,如前面所叙的平均功率定义。这样,我们很容易的得到该设备的功率因数PF=88.0W/133.8W=0.66,从而为设计功率校正电路 PFC 提供数据。

TDS30012C的功率测量功能
实例 2 :功耗测量
此实例为通过面积测量得到一定时间内的功耗。如下图所示为测量电池供电设备的功耗曲线,其中通道1为某电路中的电压,通道2为对应的电流,M1为通道1与通道2相乘的结果,因此M1为逐点相乘的功率。图中,利用泰克TDS3012C示波器系列的自动测试功能,测得M1的宽度为121秒,面积为57Ws,即为121秒内功耗约为57W。

TDS3012C的自动面积测量功能
四、小结
本文主要介绍了电力功耗方面的功率测量以及测试参数的常用定义方法,在进行功率测量时首先要确定要进行的是哪种概念的功率测量,是视在功率还是有功功率或者是其他,搞清其定义以及计算公式,再确定需要测量哪些参数,在根据信号的特性确定测试设备。最方便的功率测量方法是用功率计测量。具体详细见“ 如何选用电量测量仪或电功率表?”一文。