数列是高中数学的重要内容,又是学习高等数学的基础。在高考和各种数学竞赛中都占有重要的地位。数列求和是数列的重要内容之一,除了等差数列和等比数列有求和公式外,大部分数列的求和都需要一定的技巧。在这里将通过例题简单介绍一下数列求和的七种方法。
1、直接计算法



2、倒序相加法
等差数列前n项和的推导过程就是倒序相加法。


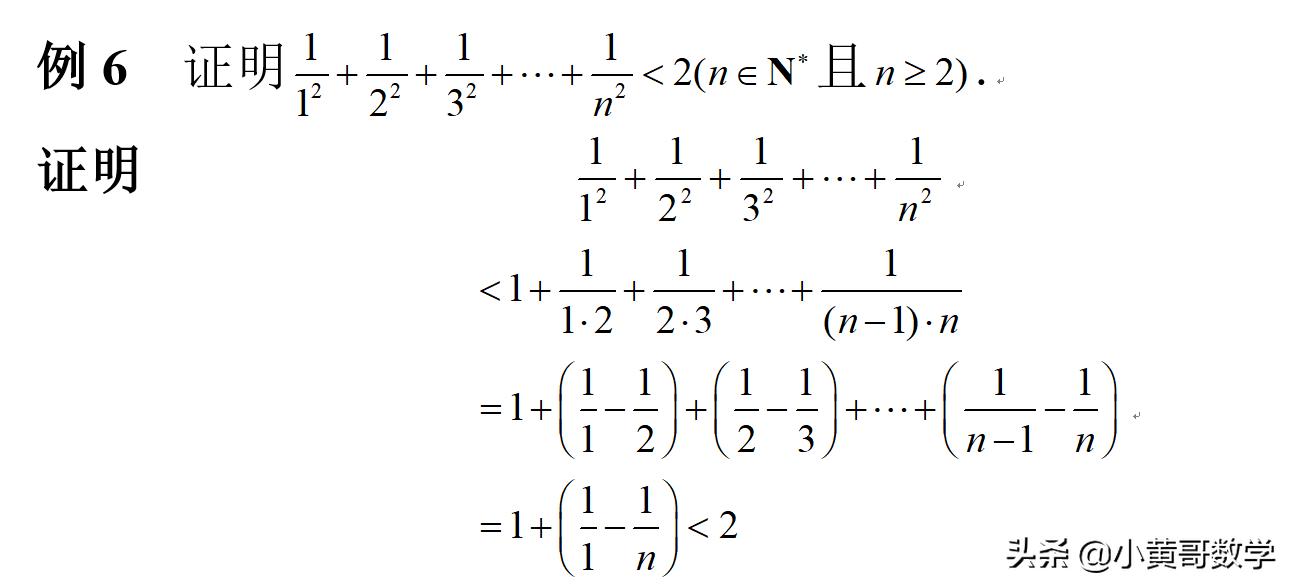
3、裂项相消法


4、分组求和法
对于等差数列+等比数列形式的,都可以用这方法。



5、错位相减法
对于“等差×等比”的形式,都可以用此方法。



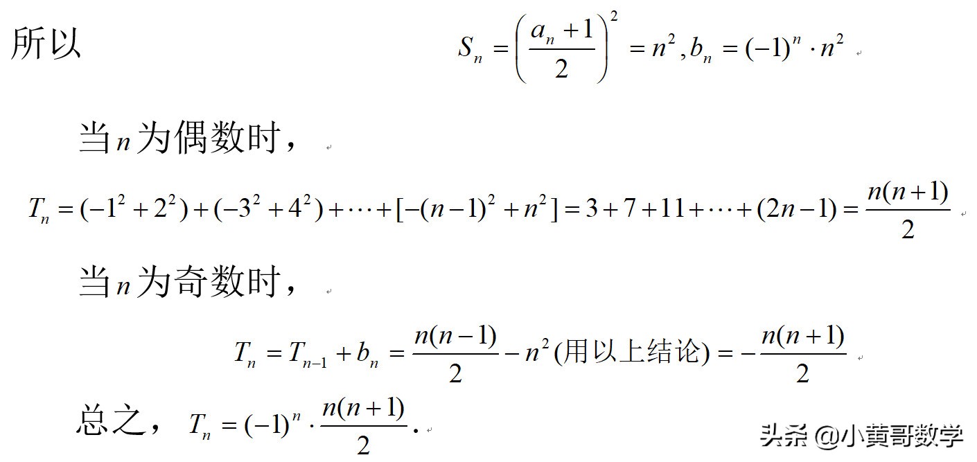
6、待定系数法

所以下面的结论成立:

进而用公式待定系数可得到


7、求导积分法

