对于标定这个吊炸天的技术咱还得从背后的一点一滴去理解,把工作做细了才能准确理解标定过程。这次我们从三个方面详细说明。前提是获得一张高档次的衍射图。



首先标定衍射斑点我们需要能够构建平行四边形,并找到对应的边。请看看这些图,你能给我找出规整的平行四边形吗?请认真看第一个图,不仅斑点不清晰而且没有标尺。你在考验我的耐心吗?第二张和第三张,我看的老眼昏花也找不出平行四边形。第四张图弄得这么小,分辨率又差。真正拍的好的衍射图,需要清晰有序的衍射斑点(这里我们讨论的是单晶衍射),还要有正确的标尺,图像不能压扁变形。为了保证图片的信息正确,请尽量附带一张.dm3格式的原始文件。我可以给大家看看什么样的图片是好图片。


这些图片标起来才有赏心悦目的感觉。
下面我们对SnO2的衍射斑点进行标定。看我是如何不用一切外来软件标定一张衍射图。衍射斑点的图是这样的。

我们还是分三步走
一、计算晶面数据
先选取平行四边形,你可以用线把平行四边形标出来。

估计有小白要问了,画的这么好看这是用什么高级软件?这就是word插入直线做出来滴。既然平行四边形都搞出来了,离成功还远么。
前方高能,多图慎入!用word测量平行四边形的长度和倾斜角度。
你把选中的平四边形用红线单独标出来,用红色标识更明显,把标尺也标识出来。

选中R1边→点击选word项卡“格式”,你会看到有一个高度和宽度。

这个就是以R1这条直线段为斜边的直角三角形的两条直角边的长度,有这个相信计算直角边长度你都会吧,勾股定理嘛,还有这个斜边的倾斜角度,tanθ1=1.17/1.41,这样我们就得到了R1的长度和角度,同理我们可以计算R2、R3的长度和角度以及标尺的长度。然后根据标尺来计算晶面间距。
为了便于讲解,我们把平行四边形分离出来,如下图:

到目前为止算是把斑点图中的晶面数据信息读取完了。
二、第二步是获取物相数据库
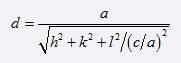
这一步我们来获取数据库,PDF数据库中你查找SnO2,能找到如下卡片。查找到SnO2,a=0.4755nm b=0.4755nm c=0.3199nm,α=90° β=90° γ=90°为四方点阵。

从上面还可以看到一部分晶面指数及对应的晶面间距,理所当然的作为我们的小型数据库。获取SnO2的数据库就是这么简单。
三、开始比对
可以很明显的看到有3组晶面与我们图中所对应的晶面间距非常接近,如下对应。

瞬间你是不是喜极而涕,只剩下这么几个,挑都没得挑。别高兴太早,你看这几个指数怎么都没法相加得到这样的组合,不要慌,咱先来看看上次给你们的公式卡片上SnO2是四方结构

能看到什么奥秘没,

指数对应的晶面间距与指数的正负没有关系,也就是说

的晶面间距是一样的。那么

瞬间多了这么多选择,再看看有没有满足

的组合。我相信你一眼就能看到(1 0 1)+(1 0 -1)= (2 0 0),没错就是它。到目前为止我们满足了
值的匹配,以及

矢量加法,就剩下角度没有验证,要是也能满足,这真是撞大运了。晶面夹角公式为

经过苦逼的计算

非常接近,有没有中头等奖赶脚,爽,酣畅淋漓。

终于终于可以标定了,为了显示你很牛逼,你还可以通过简单的计算把晶带轴标上。晶带轴的计算公式为:

你把R1(1 0 1)、R2(1 0 -1)带入其中,晶带轴[U V W]算出来是[0 2 0]
