【题1-3】
某办公楼为现浇混凝土框架结构,混凝土强度等级C35,纵向钢筋采用HRB400,箍筋采用HPB300。其二层(中间楼层)的局部平面图和次梁L-1的计算简图如图1-3 ( Z)所示, 其中KZ-1为角柱,KZ-2为边柱。假定,次梁L-1计算时代=80mm ,α=40mm 。楼面永久荷载和楼面活荷载为均布荷载,楼面均布永久荷载标准值 qGk = 7kN/m2 (己包括次梁、楼板等构件自重,L-1荷载计算时不必再考虑、梁自重),楼面均布活荷载的组合值系数0.7,不考虑、楼面活荷载的折减系数。

【题1】
假定,楼面均布活荷载标准值qQk = 2kN/ι 准永久 值系数0.6。不考虑受压钢筋的作用,构件浇筑时未预先起拱。试问,当使用上对次梁L-1的挠度有较高要求时,为满足受弯构件挠度要求,次梁L-1的短期刚度BS(10^14 N ·mm2 ),与下列何项数值最为接近?
提示:简支梁的弹性挠度计算公式: L1=5ql^4/(384EI)
(A) 1.25 (B) 2.50 (C) 2.75 (D) 3.00
【题 2】
假定,不考虑楼板作为翼缘对梁的影响,充分考虑L-1梁顶面受压钢筋3金25的作用,试问,按次梁L-1的受弯承载力计算,楼面允许最大活荷载标准值(kN/m2 ),与下列何项数值最为接近?
(A) 26.0 (B) 21.5 (C) 17.0 (D) 12.5
【题3】
假定,框架的抗震等级为二级,构件的环境类别为一类,KL-3梁上部纵向钢筋业28采用二并筋的布置方式,箍筋φ12@100/ 200,其梁上部钢筋布置和端节点梁钢筋弯折锚固的示意图如图3所示。试问,梁侧面箍筋保护层厚度c (mm)和梁纵筋的锚固水平段最小长度l (mm),与下列何项最为接近?
(A) 28, 590 (B) 28, 640 (C) 35, 590 (D) 35, 640

答案:
1.【答案】(B)
《混规》表3.4.3,挠度限值为:10500/400=26.25mm
梁上恒载标准值:gk =7× 2.5 = 17.5kN Im
梁上活载标准值: qk = 2 ×2.5 = 5.0kN/m
荷载准永久组合:qq =17.5+5.0 ×0.6 = 20.5kN/m
5x20.5x(10.5x1000)^4/(384B)=26.25
B=1.236X10^14 N mm^2
第7.2.5条,θ= 2.0
第7.2.2条第2 款,
B=Bs/θ, Bs = 2.472 x 10^14 N · mm2
答案选 (B)。
2.【答案】(D)
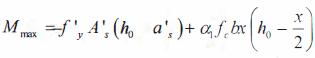
《混规》第6.2.10条,当受压区高度x= !;b ho = 0.518x 570 = 295.3mm时,梁的受弯承载力最大。

= 360 ×3 x 490.9 x (570 - 40) + 1.0 x 16.7 ×300 ×295.3×(570-295.3/2)
=905.8 kN m
楼面均布荷载设计值:q= (8 ×905.8 I 10.52 ) I 2.5 = 26.29 kN/m2
qQk = min[(26.29 一 1.2 ×7) / 1.4ρ6.29 一 1.35 ×7) I (1.4 x O乃]
= min(l 2.78,17.18) = 12.78kN/m2
答案选(D)。
3.【答案】 (C)
(1)《泪规》第4.2.7条和条文说明, 并筋应按单根等效钢筋进行计算, 并筋的等效直径应按截面面积相等的原则换算确定, 并均按并筋的重心作为等效钢筋的重心:井筋等效直径的概念适用于保护层厚度、 钢筋锚固长度等有关条文的计算及构造规定。
二并筋的等效钢筋直径=1.41x 28=39.5mm 取40mm。
第8.2.1条第1款,等效钢筋中心离构件边的距离=40/2 + 40 = 60mm。梁侧面箍筋保护层厚度c= 60 -28/ 2-12=34mm >20mm。
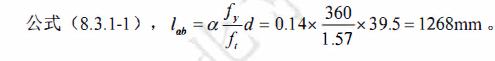
(2)公式(11.6.7)

第11.1.7条, 框架抗震等级为二级,


图 11.6.7( b), 锚固水平段长度l>= 0.4l abE = 0.4× l 15× 1268= 583mm。
答案选(C)。