在阅读此文之前,麻烦您点击一下“关注”,既方便您进行讨论和分享,又能给您带来不一样的参与感,感谢您的支持。

文 | 晓池扶玥
编辑 | 晓池扶玥
前言
在进一步讨论狄拉克对称化中的麦克斯韦-洛伦兹方程时, 引入磁单极子的概念, 将其视为第二个方程中的"电流行为"(类似于经典力学中的"运动行为")。在第三个和第四个方程中,假设了"磁位移电流"和"磁动势"(分别类似于第四个和第三个方程中的"电位移电流"和"电动势")。
作为结果提出了一个广义的电磁学视觉,其中非均匀、微观和相对论相关的方程描述了静态和振荡现象。在相对论的框架下,提出了类似微观方程,以研究引力和时空,描述了静态和振荡现象:静态方程展示了新定义的矢量场的来源(广义质量密度作为广义质量场的源,广义时间密度作为广义空间场的源),而振荡方程描述了引力波和时空波的传播。

广义电磁学的概念
提出用微观的麦克斯韦-洛伦兹类似方程在狄拉克对称化中统一电磁学、引力学和时空的观点,统一特征是光速c。利用提出的广义电磁学的概念,讨论了电磁学中的守恒定律和物质与电磁波之间的相互作用。
正如所描述的那样,电场和磁场的定义是 根据库仑定律和安培定律提出的, 这使它们与电荷和电流之间的机械力密切相关。就像在力学中一样,在电动力学中,用势而不是电场和磁场来建立理论往往更有用,特别是在与辐射、相对论和相对论协变电磁学相关的研究中。

在量子层面上,电动力学几乎完全是用势来表述的。势的使用自然地引出了狭义相对论和规范场理论 。在这方面,在Lorenz-Lorentz规范条件下 ,通过四个标量和非均匀的波动方程来描述电动力学,其中非零的源是电荷密度和电流密度。
在这项工作中,作为对规范方法的替代,从狄拉克对称化中的麦克斯韦-洛伦兹方程开始,每个方程都以非零的源为特征,提出了一个 广义的电磁学视觉, 其中非均匀、微观和相对论相关的方程描述了静态和振荡现象(§3.1);提出了电场、电荷密度、磁感应场和电流密度的广义定义,而不是使用势。通过类比,将前述的概括推广到引力和时空。
提出了一个宇宙模型,试图通过在狄拉克对称化中使用微观麦克斯韦-洛伦兹类似方程来统一电磁学、引力学和时空,其中光速c是统一的特征。这个宇宙模型在看来与曲率时空和平坦时空的概念是相容的。

经典力学中的"运动行为"
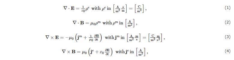
回顾与ρe [C/m3](方程(1),图1) 相关联的电单极 (正或负)。它产生一个在空间中各向同性的电场E,即没有优先方向。E从正电荷q+向外指向,从负电荷q-向内指向。提出了一个磁单极(北极或南极,单位为[A]),与ρm [A/m2](方程(2),图2)相关联。
回顾经典力学中的"运动行为"的概念:在一个粒子集合中,每个粒子都有一个速度矢量,粒子速度的集合形成一个称为"运动行为"的速度场v。如果移动的粒子带有电荷,可以引入相应的电荷运动行为,换句话说,一个在[A]中的"电流行为"。提出了一个由两个相邻的圆形半环组成的电流行为构成的磁单极(图2)。

磁单极产生一个 在空间中各向同性的磁感应场B, 即没有优先方向。B从北极顺时针的两个正半环向外指向(即具有正电荷q+),从南极顺时针的两个负半环向内指向(即具有负电荷q-)(图2)。第三个麦克斯韦-洛伦兹方程涉及"电动势"(方程(3))。一般来说,任何B的变化都会导致∇×E的产生。
jm [(C/m2)(m/s2)]可以被看作是与磁单极的"闭合位移"相关:两个电流行为向彼此加速,完成一个电流环路,从而产生一个磁偶极子(B的变化)(图3)。jm垂直于电流行为的平面,并按图3所示的方向。

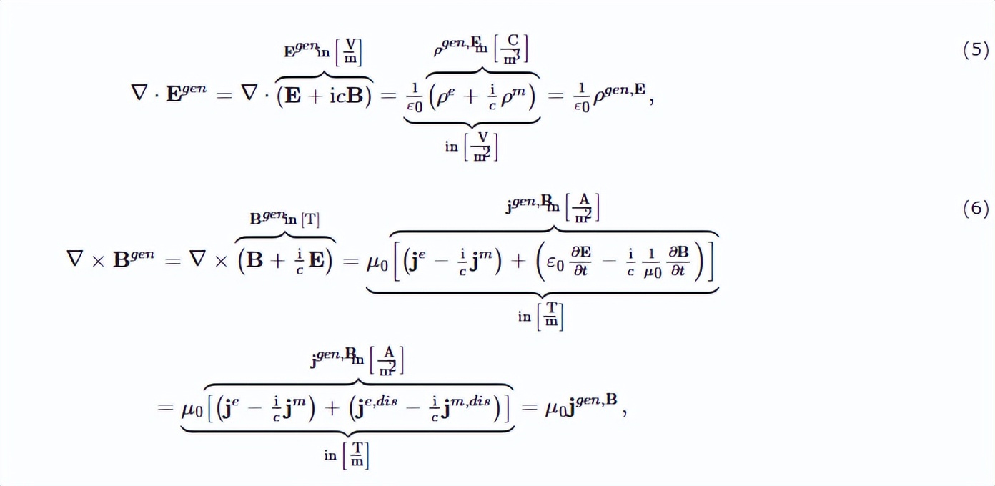
与B的变化相关的矢量jm,dis=1μ0∂B∂t可以被解释为具有位移特征的jm,并且根据与电位移电流je,dis=ε0∂E∂t的分析类比,可以假设为"磁位移电流"(图4)。一些考虑。麦克斯韦写道:"光和磁性是同一实质的表现" 。由于基于静态的G(方程(9)),光子波函数是一个有争议的概念,它不能具备Schrödinger的概率性波函数的所有特性。
自由空间中流动的电流密度
在方程(6)中,位移电流的行为就像在自由空间中流动的电流密度:它们的"存在具有深远的物理后果,因为它预测这样的物理观测量,如 电磁能量、线性动量和角动量 可以在很长的距离上传输,甚至穿过空旷的空间"。

标量ρo∈R是局部质量密度[kg/m3],标量ρq∈R是局部质量流密度[kg/s·m2],复标量ρgen,O∈C是广义质量密度[kg/m3],与广义引力单极gen1∈C[kg]相关,矢量jo∈R3是切向质量流密度[kg/s·m2],矢量jq∈R3是环形质量流密度[kg/s2·m]。
矢量jo,dis=εg∂O∂t∈R3是 切向质量位移电流 [kg/s·m2],矢量jq,dis=1μg∂Q∂t∈R3是环形质量位移电流[kg/s2·m],复矢量jgen,Q∈C3是广义质量流密度[kg/s·m2],与广义引力偶极ℶgen2∈C3[kg]相关,εg是真空引力介电常数[kg−−√·s/m3],μg是真空引力磁导率[s·m/kg−−√]。

"局部"的几何意义与ρe和ρm中的含义相同,"切向"的几何意义与je和je,dis中的含义相同,"环形"的几何意义与jm和jm,dis中的含义相同(图1-5)。一些思考。"引力光和质量感应场是同一实质的表现"(方程(15))。
在方程(15)中,质量位移电流的行为就像在自由空间中流动的质量流密度:它们的存在具有深远的物理后果,因为它预测引力效应可以在很长的距离上传播,甚至穿过空旷的空间。
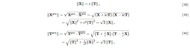
发展了电磁学/引力学/时空的类比,复矢量Xgen=X+icT∈C3是广义空间场[m],描述了时空的静态特征。
提出了 时间作为空间的源头的概念, 将宇宙大爆炸想象为一个分布时间的爆炸,使得空间存在于时间存在的地方。根据所提出的引力源和引力光的概念,还引用了Shurtleff的一项研究,他指出存在一种平坦时空,其对称性可以作为引力和电磁场中物质运动的基础。

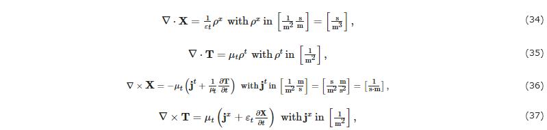
矢量X∈R3、标量ρx∈R和复矢量T∈C3
矢量X∈R3是空间场[m];矢量T∈R3是时间感应场[s];复矢量Tgen=T+icX∈C3是广义时间感应场[s],描述了时空的振荡特征。通过c在方程(31)中展示了时空的静态特征和振荡特征之间的相对论联系。
标量ρx∈R是局部时间密度[s/m3],标量ρt∈R是局部时间流密度[1/m2],复标量ρgen,X∈C是广义时间密度[s/m3], 与广义时空单极ℷgen1∈C[s]相关, 矢量jx∈R3是切向时间流密度[1/m2],矢量jt∈R3是环形时间流密度[1/s·m],矢量jx,dis=εt∂X∂t∈R3是切向时间位移电流[1/m2],矢量jt,dis=1μt∂T∂t∈R3是环形时间位移电流[1/s·m]。

复矢量jgen,T∈C3是广义时间流密度[1/m2],与广义时空偶极ℷgen2∈C3[s]相关,εt是真空时间介电常数[s/m3],μt是真空时间磁导率[s·m]。"局部"的几何意义与ρe和ρm中的含义相同,"切向"的几何意义与je和je,dis中的含义相同,"环形"的几何意义与jm和jm,dis中的含义相同(图1-5)。
一些思考认为:"时空光和时间感应场是同一实质的表现"(方程(33))。在方程(33)中,时间位移电流的行为就像 在自由空间中流动的时间流密度: 它们的存在具有深远的物理后果,因为它预测时空光可以在很长的距离上传播,甚至穿过空旷的空间。
根据前述观点,时间是空间的源头(方程(32)),而时空波能够扩张和收缩时空(方程(36)和方程(37)):时间的变化引起了空间的变化,而空间的变化引起了时间的变化。

时间的负时空
对于一个黑洞,根据远处观察者的观点,时间的负时空变化导致了空间的正空间变化,即空间的压缩/收缩,或者换句话说,将空间积聚到空间中(方程(36))。对于远处观察者的观点,空间的压缩/收缩是空间的负时间变化,导致了时间的负空间变化,即时间的牵引/扩张,。
时间在空间中的稀薄(方程(37))。对于远处观察者的观点,时间的负空间变化是时间的负时间变化(方程(36)):黑洞(时空洞)的正反馈环路是闭合的。

这项工作的主要目标是 对狄拉克对称化中的麦克斯韦-洛伦兹方程进行进一步讨论。 通过对称化,可以假设存在磁位移电流和磁动势;另一方面,在对称化方法中,提出了一个由两个相邻的圆形半环构成的电流行为组成的磁单极,作为两个假设的狄拉克单极之间非规范不变、不可观测的狄拉克弦的替代。
工作的另一个目标是提出一个宇宙模型,试图以微观麦克斯韦-洛伦兹类似方程在狄拉克对称化中统一电磁学、引力学和时空,其中统一特征是光速c。这个宇宙模型与曲率时空的概念以及平坦时空的概念是相容的。

如果时间是空间的源头,可以将宇宙大爆炸想象为一次爆炸(或非常快速的挤出),将时间分布出去, 以便空间存在于时间存在的地方。 由时间生成空间的概念与时空的离散化是一致的,而假设的时空波可以解释"时空不得不起伏,而且它的起伏从下方受到限制,以至于所有过程变得混乱,可观测量在这种混乱中变得平均"。
结语
根据这里提出的引力源和引力光,可以引用Shurtleff的一项研究:"存在一个平坦的时空,其对称性可以成为在引力和电磁场中运动的基础......间接证据可以指出物质在电磁和引力场中所遵循的观测路径。毕竟,观察到的路径与由1)该平坦时空的对称性和2)基于度量的弧长的假设所确定的测地线非常相似"。

类似于 电磁光的正向和推动辐射压力, 可以假设引力光产生负向和拉动的压力,而时空光则不会施加任何压力;可以假设引力光和时空光不像电磁光那样传递能量。
在未来的工作中,推测以下问题会很有趣:引力光和时空光是否只是没有特殊特征的横波?这是一个非平凡的问题,因为洛伦兹假设了光的"旋转振动",而Tamburini成功地利用光的轨道角动量和涡旋在无线通信中。
参考文献
[1] Thidé,B.(2011)电磁场理论。第2版,瑞典空间物理研究所,乌普萨拉。
[2] Finzi,B.(1959)理性力学。第3版,Zanichelli,博洛尼亚。
[3] Bialynicki-Birula,I.(1996)光子波函数。光学进展,36,245-294。
[4] Aste,A.(2012)电磁场的复表示理论。《几何与物理的对称性》杂志,28,47-58。
[5] Maxwell,J.C.(1865)电磁场的动力学理论。《伦敦皇家学会哲学交易》,155,459-512。