“算法与程序框图”成为高中数学内容后,每年高考都以一道选择题或填空题的形式考查这部分内容,试题中的算法也多以程序框图的形式呈现,少数试题以程序的形式出现,2019年高考试题中的“算法与程序框图” 试题亦如此.

2019年高考“算法与程序框图”部分的试题有5道,分别在全国Ⅰ卷、全国Ⅲ卷、北京卷、天津卷、江苏卷上。除独立命题的上海卷和浙江卷中未出现外,值得关注的是2019年全国Ⅱ卷也未出现“算法与框图程序”试题.
“算法与程序框图”试题着重考查的知识点,仍然是算法的基本逻辑结构和程序框图,大多数试题均考查了顺序结构、条件结构和循环结构这三种基本逻辑结构.
下面对2019年高考中出现的“算法与程序框图”试题进行分析:
全国Ⅰ卷
【试题】


【解答】

【评析】很多情况下,“算法与程序框图”试题的答案都与算法执行完毕后输出的结果相关. 在2019年高考数学的五道试题中,有四道试题就是依据算法的输出结果来选择答案或填空的. 但是全国1卷这道题不同,该试题要求学生正确理解循环体的意义与作用,并由此补全循环体的步骤,这要求学生从本质上理解算法的意义.
快速解题的方法是:模拟程序的运行,由题意,依次写出每次得到的A的值,观察规律即可得解.
全国Ⅲ卷
【试题】


【解答】

【评析】根据试题中的程序框图可知,这里的直到型循环结构的本质是计算一个等比数列的和.
这道题在五道真题中算是最难的一道了,对于数列而言,求和是一个基本问题,而这道题的解题关键在于判断循环次数.
这道试题除考查学生对算法基本逻辑结构的理解外,更重要的是考查学生是否知道利用算法并通过计算机去解决数列求和问题。
北京卷
【试题】


【解答】

天津卷
【试题】


【解答】

【评析】虽然计算机工作时执行的算法可以涉及大量的逻辑判断,但是在高考算法试题中,体现逻辑判断的条件结构大都出现在循环结构中,单独考查条件结构的算法试题比较少见.
201年天津卷的算法试题加强了对条件结构的考查,除在循环结构中考查了用于终止循环的条件结构外,还在循环体中另外考查了一个条件结构.
由已知中的程序语句可知:该程序的功能是利用循环结构计算并输出变量S的值,模拟程序的运行过程,分析循环中各变量值的变化情况,可得答案.
江苏卷
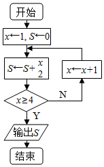
【试题】如图是一个算法流程图,则输出的S的值是

【解答】

依据算法的输出结果来选择答案或填空的题目,快速解题的方法是:模拟程序框图的运行过程,以便得出正确的结论。
我是淋雨老师,每天发布中小学数学例题讲解文章、视频,如果觉得有益的话请点个赞吧,欢迎您收藏、分享和关注,感谢!