虽然无理数是初中的概念,但是在小学的时候我们就接触了其中之一—— π ,定义为圆的周长和直径的比值,计算方法可以由下图中的圆的内接多边形与外接多边形周长来逼近。
只要取的边数足够多,圆的内接多边形与外接多边形的周长就越接近圆的周长,计算结果也会越来越逼近
π
。
但是在高中阶段,指数和对数计算中的自然常数 e是怎么来的呢?
名字与发现人
自然常数 e的名字取自瑞士数学家、自然科学家 莱昂哈德 · 欧拉( 就是那个提起欧拉公式需要问 “ 哪一个欧拉公式 “的欧拉)。一说是因为 e是 “ 指数 ” ( exponential )一字的首字母。另一看法则称 a , b , c 和 d 有其他经常用途, e 则是第一个可用字母。还有一种可能是,字母 “e” 是指欧拉的名字 “Euler” 的首字母。
Leonhard Euler
,
1707-1783
有时也被称为 纳皮尔常数 ,以纪念苏格兰数学家约翰 ·纳皮尔( John Napier )发现了对数。他于 1618年出版的对数著作附录中的一张表中 , 第一次提到自然常数 “e”, 但他没有记录这个常数。
John Napier
,
1550-1617
但真正第一次将 e 看作是一个常数的是瑞士数学家雅各布·伯努利。他是我们在初中物理里面学到的“伯努利原理”的发现人丹尼尔·伯努利的大伯。事实上,整个伯努利家族虽然是商业起家,但是却出了一百多位科学家。每当我们提起伯努利 XX (原理、公式……)时,需要问的是“哪一个伯努利发现的”。
Jakob Bernoulli , 1654- 1705
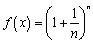
如何得到e?
我们做出这样的一种假设,我向小橘借了 1 千克猫粮,约定明年这时候还它 2千克。相当于是1 00% 年利率,并且 1年1还。
但是转头第二天小橘觉得有点亏,决定在年利率不变的基础上,改为半年一还,也就是到第 6 个月的时候,我需要先还 0.5 千克猫粮给小橘。
看起来似乎跟一开始一样,但是有个问题,我并不能在半年到的时候还的起 0.5 千克。因此,这 0.5 千克就又相当于是小橘借给我了,计入下半年的计算中。这边有个专业名词叫 “复利”,最后我需要还的是 2.25 千克。
其计算方法可以看作,是每个周期都将上一个周期的本金和利息都计入这个周期的本金来计算本周期的利息,即
千克。
等到了第三天,小橘希望比之前拿的更多,因此改为一年三还,即每四个月还
千克,显然,由于我还是不能还得起,所以最后我要还
千克,大致上是
2
.37
千克。
所以我们会发现,每当我们增加次数,由于复利的存在,最终我们还的猫粮是在变多的。
小橘也发现了这一点,要求接下来每一分每一秒都要归还利息,以期待最后自己能拿到无穷多的猫粮。那么,他能成功么?
当然不能,我们构造这样子的一个函数
,并画出相关图像:
可以看出,在我们提高每年次数的时候,最终给小橘的猫粮数量虽然会增加,但是却会不断逼近
2.718281828459045
,在数学分析中,我们记作:

小橘的梦想破裂了。
e与自然界
当然小橘并不会借我 1千克猫粮,更不会这么贪得无厌想要1 00% 的年利率还要加上复利。但是自然界中,很多生物甚至非生物都处于连续增长中。而不管是否是 1 00% 的增长率,都可以通过指对恒等变换的方法产生一个以 e为底的增长。
比如鹦鹉螺的外壳切面呈现出完美的等角螺线:
如果采用极坐标,等角螺线的表达式即为
。
大的如台风、漩涡星系中都存在等角螺线,这也是
e被称为“自然常数”的原因。
上海矩道网络科技有限公司(简称
“矩道科技”)是一家以“让教育多一个维度”为愿景的高新技术企业。公司致力于3D互动教学系统、虚拟现实VR教育系统的研发、应用与市场拓展。专注于虚拟仿真在常态化教学中的应用与推广。截止2021年底,矩道科技已服务千余所学校。
我们希望:每个学生都拥有属于自己专业而安全的 VR/3D实验室。