引言
电力电子控制涉及到到对电流、电压、功率、频率等个物理量的控制,但是对于不同功率、电压的设备物理测量值随着设备额定容量不同又有变化。怎样在控制程序里面处理这些不同容量、电压、电流、频率的统一呢?答案采用标幺化,为了在同一套代码系统中能够表示同一物理量的不同大小,程序设计前需要对各物理量进行标幺化,标么值是有名值和同量纲物理量的基值之比,其是无量纲的物理量。
采用标幺化控制的意义:体现同一类控制对象所有固有共性特点(控制对象都是采用相同的等效模型即使物理数学方程相同),此外,对系统计算及控制的数字化实现也有着很大的实用意义,可以简化运算,使实际系统计算得到的变量值都限制在一定的范围内,不仅不必进行繁琐的进制转换,也不用担心变量溢出带来的系统崩溃问题。通常经过标幺化后,所有的物理量的标幺值都限定在[-1,1]之间,那么在DSP内部的表示方法就可以采用统一的数据格式。标幺值是没有量纲的,
比如采用标么值表示电机矢量控制系统中各物理量,既保留了电磁能量转换关系,又体现了不同容量和电压等级同类电机所固有的共性特点,方便同类电机之间的对比。
基准值选取
1. 功率基准值Sb : 三相交流系统额定功率,通常比如电机控制中电机的额定功率,逆变器的额定功率;该基准值不仅可用有功功率P标幺,也可以用于无功功率Q标幺。
2. 电压基准值Ub: Ub 通常为三相交流电压的相电压幅度(最大值);如采用SVPWM调制 Ub=Udc3 ,Udc为直流母线电压;通常选取硬件能采集到最大值
3. 电流基准值Ib : Ib=23∗SbUb 。根据功率基准,三相系统的视在功率 Sb=3Urms Irms= 3∗Ub2∗Ib2 。换而言之:电流基准值就是三相系统相电流的幅度(最大值);通常选取硬件能采集到的最大值
4. 阻抗基准值Zb: Zb=UbIb 。
5. 频率基准值fb: 系统额定频率。比如50Hz, 或 60Hz;
6. 角频率基准值 ωb : ωb=2πfb ;
6. 电感基准值Lb: Lb=Zbωb 。
7. 电容基准值Cb: Cb=1ωbZb 。
8. 电阻基准值Rb: Rb=Zb 。
----------------以上三相系统常用的基准选取----------------------------------------
---------------电机系统专用的基准值选取-------------------------------------------
9. 电机机械转速Nb:电机的额定转速N;同步电机转速与额度频率的关系 N=60f/p , 其中p为电机极对数,60代表60秒/分钟;电机机械转速单位 转/min( 特别说明:只有交流电机的转速的与频率有关系,直流电机、步进电机转速与频率无关)
10. 电信号角频率的基准值: ωb=2πfb , 电磁信号角频率
11. 机械的角速度基准值: Ωb=ωbp , 其中p为电机极对数。这也是电机机械角频率与电磁信号角频率的关系;
12. 转矩基准值: Tb=SbΩb,;
13. 磁链基准值: ψb=Ubωb=LbIb, ;
14. 转动惯量基准值: Jb=SbΩb2, ;
标幺应用
同步电机
电机中的物理量不是相互独立的,因此需要确立一些基本物理量,其余物理量基值由基本物理量基值通过约束关系得到。
根据电机铭牌一般所标定的参数,这里选定电机的额定输出功率Pn、额定相电压Un的幅值和额定转速Nn为基本物理量,电机极对数p, 额定频fn
根据电机铭牌参数选定基本物理基准值:注意相关单位
1. 额定功率基准值Sb=Pn;
2. 额定电压集中制Ub=1.414 Un;
3. 额定转速基准值Nb=Nn;
4. 频率基准值fb=fn;
根据电机学相关公式计算得到其他相关物理量基准值:参考上基准选取公式计算
补充一下:
- 时间基准选取
tb=1/2πfb=1ωb
2.匝数基准值的选取:每相有效串联的匝数Nb
Nb=WKw1
3.磁路面积基准值的选取:每极电枢表面积 Ab=πDaLfe/2p
永磁电机控制标幺相关公式汇总:
1. 永磁电机磁链定义: 磁链=空载相反电动幅值/电角频率
Ψ=EΨ0ωs = ((Eabrms2/3)/(p∗N∗2∗π/60) =7.8 (Eabrms)/p/N) -----(1)
2. 对称多相绕组磁势基准值: Fb=2mπpNbIb ,其中m为相数,如3相,m=3, Nb为匝数基准值 ---(2)
3. 电感基值满足:Lb=tbZb , ---(3)
4. 磁链基值满足:ψb=tbUb=LbIb , ---(4)
5. 磁链与磁通基值满足:ψb=Nbϕb , ---(5)
6. 磁感应强度与磁通基值满足:ϕb=2πAbBb , ---(6)
7. 磁场强度与磁感应强度基值满足:Bb=μ0Hb , ---(7)
8. 电压、电流、容量、相数基值满足:Sb=mUbIb , ---(8)
9. 电压、电流、阻抗基值满足:Ub=ZbIb , ---(9)
10. 电角频率基值满足:ωb=2πfb , ---(10)
11. 时间基准与电角频率基值满足:tb=12πfb=1ωb , ---(11)
12. 磁阻、磁势和磁通基准满足:Fb=Rmbϕb , ---(12)
13. 机械角速度、电角度和极对数基准满足:ωb=pΩb , ---(13)
14. 转速每分钟基准满足:nb=30πΩb , ---(14)
15. 转动惯量基准满足:Jb=ptb2 Tb , ---(15)
16. 运动阻尼系数基准满足:Cvb=ptb Tb , ---(16)
17. 转矩、容量和机械角速度基准满足:Sb=Ωb Tb , ---(17)
同步电机运动方程标幺
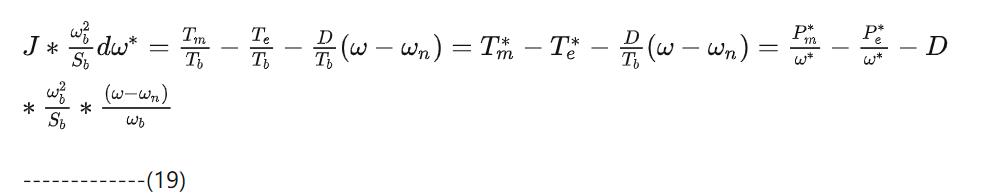
Jdω/dt=Tm−Te−D(ω−ωn) ------------(18)
其中 J为转动惯量,D为阻尼系数, 假定同步电机的极对数p=1; 根据公式(17)转矩标幺值对公式(18)
两边同时除以Tb;

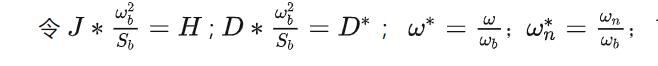
对(19)化简得到:

可推出
公式(18)的标幺方程为:

对比由(18)得到同步运动方程转换方程式:

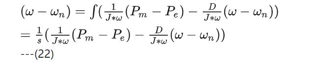
由(21)和(22),两个方程形式一样,但是方程中系数代表不同的含义:
根据方程(22)可得如下求电机角速度的控制框图:
