【编者按】本文为作者本人授权,转载自公众号“金桥智库”,欢迎关注。
1月17日,中国公布2021年GDP为17.73万亿美元;1月27日,美国终于公布了2021年美国GDP为23万亿美元,同比增长5.7%,较2020年的20.9万亿美元,大幅提升了2.1万亿美元。增速创下了1984年以来的最高纪录,总量更是一年增长一个多意大利或者加拿大的GDP水平,非常亮眼。

随着中美两国先后公布了亮瞎人眼的GDP增长数据,围绕中国经济何时超过美国的话题也多了起来。大家都在热议的一组数据就是在2020年的时候,中国GDP只有美国的70%,而到了2021年,中国的GDP已经达到了美国的77%,照目前这种趋势下去,要不了几年中国GDP就会超过美国,这是百年变局、超英赶美的最后冲刺!
讲道理,如果按照市场的逻辑,中国GDP应该是在2020年超过美国的。因为2020年的时候,美国经济在3月份由于疫情、股市泡沫破裂等因素,引发了大崩溃。如果不是特朗普力挽狂澜,逼着美联储疯狂印钞,使得美国经济获得了“钞能力”,2020年的美国经济很有可能会腰斩式地暴跌,再加上随之而来的美元汇率暴跌,2020年中国GDP超过美国肯定是没有问题的。

但是,狠人特朗普赋予了美国经济“钞能力”,从此世界大不同。虽然2020年美国经济仍然负增长了3.5%,但是与众多因为疫情负增长十几个点的其它经济体相比,美国已经算是最不烂的国家了。这就是为啥特朗普虽然战疫不力,却成了美国史上得票最多的竞选连任的总统。当然,拜登不但窃取了2020年大选的胜利成果,也窃取了特朗普钞能力的经济成果。
拜登执政一年来,乏善可陈,战疫搞得比特朗普还烂,死的人比特朗普执政的2020年还多得多。甚至连基础设施建设法案拖了一年都没通过,抑制通胀也一塌糊涂,导致支持率断崖式下跌,就任不到一年支持率就跌至美国总统史上之最低。但是这不妨碍他站出来“邀功”,摘特朗普的桃子:

“我们终于达成在 21 世纪建设好美国经济,接下来我会敦促国会通过立法来保持这一势头,使美国更具竞争力,加强我们的供应链,鼓励我们的制造和创新,将大量的资金投入到我们的家庭和清洁能源之中,还有降低我们的食物成本。”
那么,我们到底应该如何看待美国GDP增长5.7%,全年增加2.1万亿美元这个事实呢?毫无疑问,维系美国经济高增长的最主要因素就是美联储的疯狂印钞,过去两年不到的时间,美联储印钞超过了美国此前两百年的总和。如何把中美经济竞争看成是一场考试,美国显然是作弊了;如果把中美经济竞争看成是一场体育竞赛,那美国显然是打兴奋剂了!
而且美国的作弊不仅仅只是印钞放水,如果我们仔细分析2021年美国GDP增长的动力,我们就会发现美国还二次作弊了。为什么这么说呢?我们来分析分析一下。
我们以美国第四季度的GDP为例,原先预测机构纷纷指出美国第四季度GDP增长将放缓,会低于前三季度平均水平的5.5%,谁知道美国GDP在第四季度跟打了鸡血一样,飙升到了6.9%,远远超过了前三季度的平均水平。
那么这增长的6.9%是从哪里来的呢?专家们是这样说的,私人库存投资和个人消费支出!其中个人消费支持贡献了大约两个百分点,私人库存投资贡献了大约4.9个百分点。其它的进出口基本与去年持平,非住宅固定投资略有增长,但是这些增长部分被联邦、州和地方政府支出的减少所抵消。
个人消费支出很好理解,毕竟美国政府大把给老百姓发钞票,我们中国人民也是羡慕得很啊。但是对于这个 “私人库存投资” 很多人就云里雾里了,这是个啥玩意儿?
其实这就是美国经济学家发明的新词来糊弄人的,这个私人库存投资呢,不是跟中国一样的,老百姓趁着疫情往家里多囤积一点物资,那个在美国算是个人消费支出。而是指美国的零售和批发商大量囤积物资,尤其是美国的汽车经销商的库存处于历史最高水平。

看明白了吧,由于美国2021年的通胀太厉害了,再加上疫情导致的物流不畅,很多超市经常被买到货架空空。那美国的零售商、批发商和经销商在第四季度就反应过来了,手头的现金贬值太快,不如多囤点物资,蹭蹭地就把美国的GDP拉上去了。
这就好比大公司为了年底冲业绩,给经销商压货,相信大家只要做过生产的都知道里面的套路。比如说,比亚迪去年卖了70万辆汽车,但是为了让增长数据更好看一些,他们完全可以在去年第四季度给经销商再压10万辆的库存,把2021年的销售数据,变成80万辆!美国第四季度的GDP高增长就是这么来的!
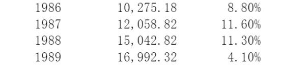
这样的情况其实在中国也出现过的。从1987年到1989年这三年时间里,中国经济过热,通胀非常迅猛,货币贬值得非常快。很多商家都匆忙把现金囤积成物资,以避免通胀带来的损失。大家猜一下,那三年中国GDP增长了多少?

我们今天看到的统计数字是像上面这样的,如果我们只看后面的增长率的数字,1987年增长11.6%,1988年增长 11.3%,1989年增长了 4.1%,好像还比较正常,与改开以来的高增长率接近。但是如果我看一看前面的数字,如果我们以1986年的一万亿GDP为基数,我们就会发现,三年时间中国的GDP增加了70%,接近翻倍!
如果我们按名义GDP来算,不计入价格因素,1987年的GDP增长了约20%,1988年就更猛了,增长率超过了25%。那三年是建国后中国经济最疯狂的三年,数字背后隐藏着大秘密,为啥GDP能增长超过25%?就是因为印钞多了,通胀膨胀太厉害了!

美国去年12月的通胀率是多少呢?是7%!就算美国去年第四季度的GDP是6.9%,也只是与通胀率持平!而如果我们看2021年全年美国的GDP增长率5.7%,大约也就是美国通胀的水平。所以美国就跟我们玩了一个数字游戏,扣除掉物价因素,等于2021年美国的GDP与2020年差不多。
因此,美国经济这种作弊式的增长,其实是没有什么可持续性的。不出意外的话,我的意思是说不发生世界大战之类的重大意外的话,保守估计,中国经济在2025年超过美国是没有问题的。
中国经济虽然在2021年只增长了8.1%,但是中国经济的增长明显要比美国经济更为健康。疫情之下,中国坚定抑制住了放水的诱惑,房价泡沫没有进一步扩大,反观美国股市泡沫过去一年又膨胀了一大圈。
2021年中国经济增长的两大亮点 ,第一个是对外贸易,2021年货物进出口总额391009亿元,比上年增长21.4%,合计突破了6万亿美元, 贸易顺差43687亿元,创下历史纪录,进一步巩固了中国全球第一制造业大国和外贸大国的地位,外贸增动中国GDP增长近三个点。
第二个亮点就是高新技术产业, 得益于特朗普的贸易战和科技战,中国这几年大力发展进口替代和高新技术产业,成为推动经济快速发展的重要因素。 2021年高技术制造业增加值增长18.2%,其中新能源汽车、工业机器人、集成电路、微型计算机设备产量分别增长145.6%、44.9%、33.3%、22.3%。取代了互联网产业成为中国经济新的增长点!

照目前的趋势来看,2025年,中国的人均GDP突破2万美元是没有问题的,也就是说,到时候中国的GDP将会达到28万亿美元左右,超过美国将毫无悬念。美国2021年的GDP是注水的非常态,未来四年能保持2%左右的常态增长率就不错了。
事实上,美国还要花好几年的时间来消化这两年的美元大放水。要知道中国到现在还在消化2008年四万亿的后遗症,美国也不会例外。未来几年,美国的通胀还会持续,美元相对于人民币还会继续贬值。
2021年人民币对美元汇率平均值达到6.4515,相比2020年的6.8974升值6.46%。正是在在人民币升值明显的背景下,以美元计算的中国GDP有了更大幅度的增长,2021年按美元计算的中国GDP增长了约20%,一年就增加了3万亿,而美国只增加了2万亿。
也就是说,中国超越美国进入了最后的冲刺阶段,十二年前,我们不经意地就见证了中国GDP超过了日本,直到今天达到日本GDP的三倍多!未来几年,我们将要见证中国GDP超过美国,而且很快就会冲到美国的GDP的好几倍,至少在建国一百周年以前,中国的GDP将会达到美国的5倍以上!
如果我们从经济的角度来看,可能更纯粹地反映出来的当前大国角逐的国际格局!说得明白一点,所谓百年变局,就是中美角逐世界领导者的位置。日本经济连续三十年徘徊在5万亿左右,德国还不到4万亿,英国和法国正在变得跟中国的一个省差不多,至于俄罗斯更是跌出了全球前十名,连广东省都不如了。中国正在越来越多的领域取代美国的地位,一直到美国最引以为傲的经济领域取代了美国,那么美国世纪也就彻底落幕了!


万国来朝
所以未来几年,中国需要保持足够的战略定力和战略耐心,中国的GDP超过美国将会是一项载入人类历史的标志性事件!一旦中国GDP真的超过了美国,全世界看我们的眼光都将会彻底改变,就好像朝鲜战争一样,当中国人民志愿军在朝鲜战场上击败美军领导的联合国军时,全世界都对我们肃然起敬,到那时,全世界会给我们更大的致敬!