
3月17日,一位名叫超级小桀的斗鱼主播直播参与拼多多的砍价免费领手机活动,但在直播间几万名用户的帮助下依旧没能成功砍下。
图片来源:网络
截至发稿前,拼多多未正式回应此事,而该主播的账户突然多了一个优惠券,显示支付0.01元即可领取手机,但对于17日没能成功砍下手机则无相关回复。

图片来源:主播社交账号文章配图

图片来源:主播社交账号文章配图
拼多多为何永远差一刀?
这并不是拼多多第一次因为“砍一刀”陷入争议。
去年它曾因次被一位较真的律师告上法庭,而这次诉讼也揭开了拼多多的砍一刀活动的“*规则潜**”。
据媒体报道,上海的刘律师在2021年3月参加了拼多多的“砍价免费拿”活动,为此邀请了10多位好友帮砍,期间还充值9.9购买砍价加速包,但耗费半天精力后,砍价结果居然没有任何变化,始终差距0.9%。
于是,刘律师一怒之下,以“提供网络服务时涉嫌违背诚实信用原则,使用虚假数据隐瞒规则已构成欺诈”为由,把拼多多告上了法庭。

刘律师在知乎上发表文章,提供了与拼多多交涉的细节。对于刘律师提出的疑问,拼多多给他的解释是,因页面显示百分比位数有限,所以把一个至少小数点后有6位数以上的百分比,省略显示为0.9%,砍价页面显示的0.9%不是0.9%,而是0.9996427%。
至于为何不在页面显示完整百分比时,拼多多称是因为显示屏有限,而且这个数是除不尽的所以做了省略。
刘律师对于拼多多的解释有些难以理解,“我听到这里只觉得好笑,你都可以在0.9前面加一个0,写成00.9了,却不把0.9后面哪怕一个小数点写出来,这是为什么呢?或许也是贴心地考虑到我们玩砍价免费拿的玩家,数学比较差,都不会计算小数点后2位的加减法吧”。
目前,刘律师在知乎上的文章已被删除。《科创板日报》记者微信联系上了刘律师本人,他回应采访请求时称:案件判决前不接受采访,因为会被投诉。”

据刘律师此前透露,自从2021年4月份起诉拼多多的案件引起舆论关注以来,在短短3个月的时间内被四次约谈。其中两次为拼多多向不同主管机关实名投诉。“这已经严重影响了我的正常工作和生活,我的家人甚至担心我的人身安全,担心我遭到更多的报复。”
1月14日,“拼多多砍价,但始终差0.9%”,话题登上知乎热搜,引起很多消费者的共鸣。

有消费者直言,这跟欺骗消费者有什么区别?

也有消费者指责拼多多,“把用户当猴耍。让你感觉每次只差一点,其实差了好多”。

不过也有砍到猎物的消费者留言:拼夕夕我砍到过一辆电动车,确实能砍到,就是费朋友。

还有消费者说了一个直击心灵的话,“最神奇(离谱)的是:你永远有朋友从拼多多提现成功,而你却从没成功提现过一分钱”
整体来看,拼多多的活动确实是有奖品,但是要领到奖品也确实非常难!
“砍一刀”项目失宠
“砍一刀”一直是拼多多的一把利刃。
大家知道拼多多的标签是社交电商,红包、拼团、砍价等社交裂变游戏玩得飞起。
但是这种玩法并不是其原创的,在很早以前就有很多平台精于此道,只不过他们管这种玩法叫“病毒式营销”。
拼多多将“病毒式营销”发扬光大并推到一个新高度,以大额红包、昂贵礼品等更刺激、更直接的玩法,辅以紧迫感(部分商品24小时内不能把价格砍到0失效),把用户心理拿捏的死死的。
考虑到拼多多面向二线城市以下的消费者,一个百元红包、一辆电动自行车、一台电子产品,这种推广方式简直让目标用户没有任何抵抗力。

从用户数据来看,拼多多的这套体系也确实高效。据财报数据显示,截至去年9月底,拼多多平台年活跃买家数达8.673亿,较上年同期增长19%;三季度,拼多多APP平均月活跃用户数达7.415亿,较上年同期增长15%。
拼多多仅用6年时间从一个用户都没有到月活跃用户超8亿,甚至比行业的“老大”淘宝还多出一个多亿。
不过,高速发展的拼多多也遇到“瓶颈”,因为中国的消费者实在没有进一步开发的余地。
根据中国互联网络信息中心发布的第48次《中国互联网络发展状况统计报告》,截至2021年6月,中国网民数量为10.11亿,拼多多的用户距离中国网购用户规模的天花板已经越来越近,这样让其买家的增速从两年前的40%降至不足20%。
据晚点LatePost报道,在2021年上半年,拼多多“砍一刀”项目在“271”绩效打分中,被评为最低档“1”。换言之,拼多多认为靠“砍一刀”拉新不那么有效了。
此外,让用户去多多果园浇水施肥,下几十单便宜小商品最后换到一箱柚子的运营玩法,也不那么有效了。
拼多多如何留住用户?
国内用户接近枯竭,拼多多也面临新的难题,如何留住重金买来的用户。
有一个会计科目其实很难反映平台用户粘性,就是销售费用。
如果一家平台做得足够好,那么自然会有大量自然流量涌入,用户粘性较高流失率也会较低,公司也就没有必要再花费大量资金去做用户运营。
与之相反,平台体验做的稀碎,没有自然流量,为做给资本方看,花钱做用户数据也就成为必选项。

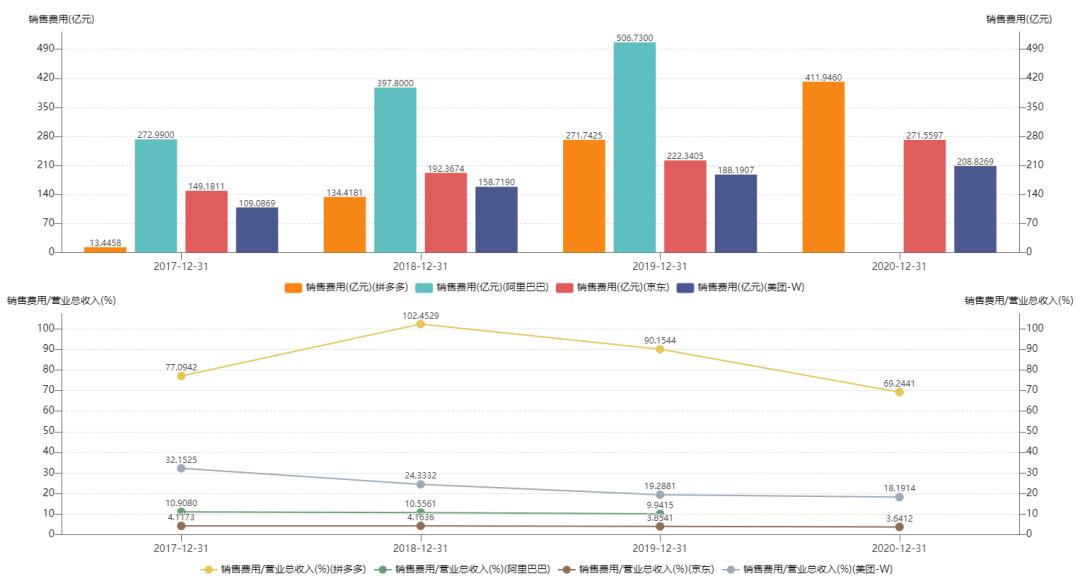
据wind数据显示,目前拼多多已经成为最舍得花钱的一家公司。2017-2020年销售费用分别为13亿元、134亿元、271亿元和411亿元,销售费用占营业收入比分别为77%、102%、90%和69%。而2021年前3季度,拼多多的销售费用为334亿元,销售费用占营业收入比为51%。
反观其他电商平台,绝对值最高的为阿里,但由于营业收入较高,所以销售费用占比在10%左右。
京东销售费用提升相较于其他几家幅度较小,销售费用占比长期低于5%,可以看出其用户粘性相较于其他平台明显高出一个档次。
美团销售费用占比同样较高,它的情况与拼多多也有很多相似之处。
一方面护城河较浅,经常要和竞争对手“火拼”,另一方面在社区团购等新业务上耗费大量“*弹子**”,而社区团购又是一条不归路,滴滴、美团因为这项业务亏损惨重。
说到这里,想到前首富黄光裕在2021年某次会议上的发言,“”友商总是想抓住用户犯错的机会,真正的零售业不是买一大堆流量,而是站在用户的角度帮他选品,流量自然就会起来,慢慢就会获得其他销售的机会,这不是一个花钱买流量的过程,而是通过商品相互认识并建立信任的过程”。
不得不说,尽管国美的“真快乐电商平台”现在发展得并不快乐,但是黄光裕踏踏实实做事的风格还是值得很多互联网创业者学习。
拼多多为了留住用户、刺激用户消费,也祭出了新杀招“百亿补贴”!直接低价补贴大牌商品,包括苹果、戴森、Bose、索尼,以及SKII、LA MER海蓝之谜等市场定价在千元以上的轻奢品牌,不仅可以试图抹掉过去形象,在用户心中建立正品、低价的新形象,另外也可以将自己的用户群体扩展至一线城市。
在“百亿补贴”推出之后,拼多多的各项数据直线上涨,创始人黄峥还一度成为中国第二富豪。
这一回拼多多和用户的心智较量,看似又是拼多多赢了。
但是靠补贴就能留住用户?过去滴滴、美团、OFO等做过无数尝试,它们给出的答案都否定的,因为无法形成平台的核心竞争力。
补贴固然能够维持现有用户的稳定,但这些用户却又都是喜欢薅羊毛的人,谈不上多少忠诚度。
看似你在收割用户,其实你也在被用户收割,最终可能成为资本市场上的一具“骸骨”。
另外,拼多多的补贴活动还招致LA MER海蓝之谜、特斯拉等品牌方的不满,对于价格控制严格的高端品牌来说,它们并不希望电商平台长期通过补贴扰乱它们的价格体系。
现阶段的拼多多早已经是巨头,过了靠数据量和交易量来获得资本认可的时间,如果还是一味沉迷于数字游戏,获客成本只会越来越高,用户维护成本越来越高。
这在过去,这些成本可能会由资本买单,但是现在市场进入寒冬,拼多多只能自己承受。
但是庞大的营销开支拼多多能承受吗?答案也是否定的,拼多多在去年3季度已经开始缩减销售费用,另外还传出裁员传闻,要知道拼多多的员工数量可是互联网企业中最精简的。
拼多多危机四伏
更令人担忧的是,留给拼多多思考的时间已经不多了,财大气粗的阿里、京东相继推出淘特和京喜,试图围剿拼多多,而它们的优势又是拼多多所不具备的。
阿里是中国互联网巨头中唯一能够将商流、消费者和供给端完美融合的公司。据商务部发布的《产业带数字化转型报告》显示,阿里1688平台覆盖了172个一级产业带,约占全国一级产业带数量的70%,这样的能力别说是拼多多,即便是京东也远未达到。
2020年9月,阿里将1688和淘特全面打通,制造工厂得以无缝地把商品铺到淘特上,直接面向广大消费者。消费者甚至可以购买到像ZARA、无印良品、阿玛尼、优衣库等知名品牌代工厂的产品,真正做到的廉价不炼制。
京东的优势同样明显,据此前某媒体的投票结果,京东凭借物流和服务成为用户最喜欢的电商平台。
据了解,从2007年至今,京东用了长达九年的时间,累计投资上百亿,搭建起了自己的电商企业的物流体系。
刘强东曾说:“即便给你1000亿,钱足够多,你想建成一个覆盖全国500个城市的物流体系,也至少需要5年的时间。因为即便你有1万亿,你也得一个一个地招人,然后进行系统的培训,保证你的服务质量,还得建立相应的管理团队。然后不断淘汰、选人,再淘汰、再选人,最终从中留下优秀的员工和管理者。同时你还得搭建信息系统。这个过程也需要非常长的时间,你要研发信息系统,要招聘大量懂电子商务的员工,还需要大量的运营实践。这一切都不是有钱就可以做到的。”
不过后面刘强东有句话说的更好,“世界上真没几个人愿意花上千亿元去做一件不能马上看到结果利润还这么低的事情。”
一向以结果为导向的拼多多,可能就更不愿意了吧?
拼多多打响2022年*力暴**裁员第一枪
2022年,资本退潮互联网进入寒冬,像快手和拼多多这样喜欢“烧钱”的企业过的都不太如意。
继快手传出裁员近30%之后,拼多多也传出裁员消息。

而且拼多多的裁员也很“拼多多”,有员工爆料有大部分人选在试用期最后一个月被辞退并且没有任何的赔偿,甚至在签署离职文件之前连工位都不能回,就连上个厕所也有HR步步紧跟。

接连不断的负面消息,也在影响着拼多多的股价。近1年拼多多股价由212.60亿元跌至了39.37亿元,下跌近80%。
由于负面消息不断,公司的ESG得分也在下滑。在富时罗素的ESG评级系统里查询拼多多的ESG评分,可以看到拼多多的ESG综合得分和单项得分如下图:

从图上的趋势可以看到,拼多多的ESG总分、S维度得分、E维度得分都在逐年下降,其中S维度下的2大指标:劳工标准、社区分数也在逐年下跌。
2021年7月,拼多多的社区得分已经降到了0分,S维度总分降到了0.3分。查询拼多多2020年ESG报告,也可以看到拼多多并未对其进行披露。

路孚特的拼多多ESG评级。其中,ESG综合得分为C-;争议事项得分为D,争议数据覆盖了ESG基础数据不涉及的内容,通过这些数据可以看出拼多多ESG表现不佳。

另外,美国贸易代表办公室(USTR)在2019年和2020年年度将拼多多确定为“臭名昭著的市场”,未来可能会继续维持类似评价。
参考资料:
1、下沉市场第二局淘特不走拼多多“老路”
2、拼多多冠名了3年的晚会,今年被淘特“上位”了
3、“百亿补贴”真的能拯救一切吗?
4、拼多多,打响2022年*力暴**裁员第一枪
5、ESG舆情| 拼多多消费雷区再上热搜 背后ESG评级和股价同步下滑