知识导航

正数和负数
- 核心知识点1 正负数的认识

- 核心知识点2 用正负数表示相反意义的量

有理数
- 核心知识点1 有理数的概念

核心知识点2 有理数的分类

数轴
- 核心知识点1 数轴的概念及画法

- 核心知识点2 数轴上的点表示的数

相反数
- 核心知识点1 相反数的意义

- 核心知识点2 化简多重符号

绝对值
- 核心知识点1 绝对值的意义及求法

- 核心知识点2 绝对值性质及应用

- 核心知识点1 运用数轴比较大小

- 核心知识点2 运用法则比较大小

知识点一、正数与负数
像+3、+1.5、+584等大于0的数,叫做正数; 像-3、-1.5、-584等在正数前面加“-”号的数,叫做负数.
要点诠释:
(1)一个数前面的“+”“-”是这个数的性质符号, “+”常省略,但 “-”不能省略.
(2)用正数和负数表示具有相反意义的量时,哪种为正可任意选择,但习惯把“前进、上升”等规定为正,而把“后退、下降”等规定为负.
(3)0既不是正数也不是负数,它是正数和负数的分界线.
知识点二、有理数的分类
(1)按整数、分数的关系分类: (2)按正数、负数与0的关系分类:

要点诠释:
(1)有理数都可以写成分数的形式,整数也可以看作是分母为1的数.
(2)分数与有限小数、无限循环小数可以互化,所以有限小数和无限循环小数可看作分数,但无限不循环小数不是分数,例如.
(3)正数和零统称为非负数;负数和零统称为非正数;正整数、0、负整数统称整数.
知识点三、 数轴
定义:规定了原点、正方向和单位长度的直线叫做数轴.
要点诠释:
(1)定义中的“规定”二字是说原点的选定、正方向的取向、单位长度大小的确定,都是根据需要“规定”的.通常,习惯取向右为正方向.
(2)长度单位与单位长度是不同的,单位长度是根据需要选取的代表“1”的线段,而长度单位是为度量线段的长度而制定的单位.有km、m、dm、cm等.
知识点四 、 数轴的画法
(1)画一条直线(通常画成水平位置);
(2)在这条直线上取一点作为原点,这点表示0;
(3)规定直线上向右为正方向,画上箭头;
(4)再选取适当的长度,从原点向右每隔一个单位长度取一点,依次标上1,2,3,…从原点向左,每隔一个单位长度取一点,依次标上-1,-2,-3,…
要点诠释:
(1)原点的位置、单位长度的大小可根据实际情况适当选取.
(2)确定单位长度时根据实际情况,有时也可以每隔两个(或更多的)单位长度取一点.
知识点五 、 数轴与有理数的关系
任何一个有理数都可以用数轴上的点来表示,但数轴上的点不都表示有理数,还可以表示其他数,比如π.
要点诠释: (1)一般地,数轴上原点右边的点表示正数,左边的点表示负数;反过来也对,即正数用数轴上原点右边的点表示,负数用原点左边的点表示,零用原点表示. (2)一般地,在数轴上表示的两个数,右边的数总比左边的数大.
知识点六、相反数
1.定义: 如果两个数只有符号不同,那么称其中一个数为另一个数的相反数.特别地,0的相反数是0.
要点诠释:
(1)“只”字是说仅仅是符号不同,其它部分完全相同.(2)“0的相反数是0”是相反数定义的一部分,不能漏掉.
(3)相反数是成对出现的,单独一个数不能说是相反数.
(4)求一个数的相反数,只要在它的前面添上“-”号即可.
2.性质:
(1)互为相反数的两数的点分别位于原点的两旁,且与原点的距离相等(这两个点关于原点对称).
(2)互为相反数的两数和为0.
知识点七、多重符号的化简
多重符号的化简,由数字前面“-”号的个数来确定,若有偶数个时,化简结果为正,如-{-[-(-4)]}=4 ;若有奇数个时,化简结果为负,如-{+[-(-4)]}=-4 .
要点诠释: (1)在一个数的前面添上一个“+”,仍然与原数相同,如+5=5,+(-5)=-5. (2)在一个数的前面添上一个“-”,就成为原数的相反数.如-(-3)就是-3的相反数,因此,-(-3)=3.
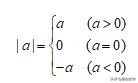
知识点八、绝对值
1.定义: 在数轴上,一个数所对应的点与原点的距离叫做这个数的绝对值,例如+2的绝对值等于2,记作|+2|=2;-3的绝对值等于3,记作|-3|=3.
要点诠释:
(1)绝对值的代数意义:一个正数的绝对值是它本身;一个负数的绝对值是它的相反数;0的绝对值是0.即对于任何有理数a都有:

(2)绝对值的几何意义:一个数的绝对值就是表示这个数的点到原点的距离,离原点的距离越远,绝对值越大;离原点的距离越近,绝对值越小.
(3)一个有理数是由符号和绝对值两个方面来确定的.
2.性质:
(1)0除外,绝对值为一正数的数有两个,它们互为相反数.
(2)互为相反数的两个数(0除外)的绝对值相等.
(3)绝对值具有非负性,即任何一个数的绝对值总是正数或0.
知识点九、有理数的大小比较
1.数轴法: 在数轴上表示出这两个有理数,左边的数总比右边的数小.
2.法则比较法:
两个数比较大小,按数的性质符号分类,情况如下:
|
两数同号 |
同为正号:绝对值大的数大 |
|
同为负号:绝对值大的反而小 |
|
|
两数异号 |
正数大于负数 |
|
-数为0 |
正数与0:正数大于0 |
|
负数与0:负数小于0 |
要点诠释:
利用绝对值比较两个负数的大小的步骤:(1)分别计算两数的绝对值;(2)比较绝对值的大小:
(3)判定两数的大小.
3. 作差法: 设a、b为任意数,若a-b>0,则a>b;若a-b=0,则a=b;若a-b<0,a<b;反之成立.
4. 求商法: 设a、b为任意正数,若,则;若,则;若,则;反之也成立.若a、b为任意负数,则与上述结论相反.
5. 倒数比较法: 如果两个数都大于零,那么倒数大的反而小.
