
赵爽弦图
一来就给大家说一说上面这个图,这个图有点历史,是我国三国时期吴国的数学家赵爽创制的一副“勾股圆方图”,用来干嘛的了?来证明我国最早的一部数学著作《周髀算经》的开篇的第一个问题,《周髀算经》的开篇就记载着一段周公向商高请教数学知识的对话,原话是这样的:
昔者周公问于商高曰:“窃闻乎大夫善数也,请问古者包牺立周天历度。夫天不可阶而升,地不可得尺寸而度。请问数安从出?”
商高曰:“数之法,出于圆方。圆出于方,方出于矩。矩出于九九八十一。故折矩,以为句广三,股修四,径隅五。既方之外,半其一矩。环而共盘,得成三、四、五。两矩共长二十有五,是谓积矩。故禹之所以治天下者,此数之所生也。”
把上面这段话翻译过来就是:
周公问:“我听说您对数学非常精通,我想请教一下:天没有梯子可以上去,地也没法用尺子去一段一段丈量,那么怎样才能得到关于天地的数据呢?”
商高回答说:“数的产生来源于对方和圆这些形体的认识。其中有一条原理:当直角三角形的一条直角边‘勾’等于3,另一条直角边‘股’等于4的时候,那么它的斜边‘弦’就必定是5。这是大禹治水时候流传下来的。
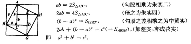
那么赵爽他怎么利用这个图来进行验证这个对话的呢?来看看赵爽怎么做的哈,上原文:
案弦图,又可以勾股相乘为朱实二,倍之为朱实四,以勾股之差自相乘,为中黄实,加差实亦成弦实。
要理解这段话(语文老师附体),首先要了解这里面一些“黑话”,哦,不,说错了,应该是概念。第一,古人称直角三角形的较短的直角边为勾,称直角三角形较长的直角边为股,斜边就称为弦;第二,运算的解释,相乘就相当于现在的乘法,倍之相当于乘以2,自相乘相当于现在的平方;第三,实的解释不怎么好理解,就理解为面积吧。那么这段话翻译过来是啥意思了,来看一看哈!
按照最上面的弦图,直角三角形的两条直角边相乘,那就是单个直角三角形的面积了吧,将这个勾股相乘“倍之”,那么就是最外面的四个直角三角形的总面积了。然后用两条直角边的差值相减再平方,那么就是中间那个小正方形的面积了,所有的这些面积相加就是等于斜边所形成正方形的面积。应该要晕了,比较费脑子,别急,数学家华罗庚提出数形不分家,现在翻译称为代数的形式给大家看一看:

代数版的赵爽弦图证法
赵爽的证明方式肯定没有用到我们现在中学所学的代数方法,那他到底是怎么来做这个事情的了?大胆想一想,再没有代数运算的基础上来进行证明,相信大家都玩过七巧板吧,对,就是利用七巧板里面差不多的原理,将弦图进行调整,这就导致了我国数学的一个重要的方法“出入相补法”,就是将一个图形进行分割,然后又拼成一个新的图形,这个做法是不是很像七巧板的做法,具体怎么来的了?看下面的说法吧:

赵爽的割补方式
以上就是勾股定理里面赵爽弦图的一些知识了,最后说一句,这个赵爽弦图是作为2002年在北京召开的国际数学家大会的会标,以后看到这个标志可别说不认识它哈,它可是代表了我国数学辉煌的一个“图腾”,当然希望我国数学能够靠大家一起来添砖加瓦。