金刚石型结构
金刚石结构是一种由相同原子构成的复式晶体,它是由两个面心立方晶胞沿立方体的空间对角线彼此位移四分之一空间对角线长度套构而成。每个原子周围都有4个最近邻的原子,组成一个正四面体结构。
闪锌矿型结构
闪锌矿型结构的晶胞,它是由两类原子各自组成的面心立方晶格,沿空间对角线彼此位移四分之一空间对角线长度套构而成。
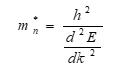
有效质量
粒子在晶体中运动时具有的等效质量,它概括了半导体内部势场的作用。有效质量表达式为:

费米能级
费米能级是T=0 K时电子系统中电子占据态和未占据态的分界线,是T=0 K时系统中电子所能具有的最高能量。
准费米能级
统一的费米能级是热平衡状态的标志。当外界的影响破坏了热平衡,使半导体处于非平衡状态时,就不再存在统一的费米能级。但是可以认为,分别就导带和价带中的电子讲,他们各自基本上处于平衡状态,导带与价带之间处于不平衡状态。因为费米能级和统计分布函数对导带和价带各自仍是适用的,可以引入导带费米能级和价带费米能级,它们都是局部的费米能级。称为“准费米能级”
费米面
将自由电子的能量E等于费米能级Ef的等能面称为费米面。
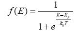
费米分布
大量电子在不同能量量子态上的统计分布。费米分布函数为:

施主能级
通过施主掺杂在半导体的禁带中形成缺陷能级,被子施主杂质束缚的电子能量状态称为施主能级。
受主能级
通过受主掺杂在半导体的禁带中形成缺陷能级,被受主杂质束缚的空穴的能量状态称为受主能级。
禁带
能带结构中能态密度为零的能量区间。
价带
半导体或绝缘体中,在绝对零度下能被电子沾满的最高能带。
导带
导带是自由电子形成的能量空间,即固体结构内自由运动的电子所具有的能量范围。
N型半导体
在纯净的硅晶体中掺入五价元素(如磷),使之取代晶格中硅原子的位置,就形成了N型半导体。
P型半导体
在纯净的硅晶体中掺入三价元素(如硼),使之取代晶格中硅原子的位置,形成P型半导体。
简并半导体
对于重掺杂半导体,费米能级接近或进入导带或价带,导带/价带中的载流子浓度很高,泡利不相容原理起作用,电子和空穴分布不再满足玻耳兹曼分布,需要采用费米分布函数描述。称此类半导体为简并半导体。
非简并半导体
掺杂浓度较低,其费米能级EF在禁带中的半导体 ; 半导体中载流子分布可由经典的玻尔兹曼分布代替费米分布描述时,称之为非简并半导体
施主杂质
V族杂质在硅、锗中电离时,能够施放电子而产生导电电子并形成正电中心,称它们为施主杂质或n型杂质。
受主杂质
Ⅲ族杂质在硅、锗中能够接受电子而产生导电空穴,并形成负点中心,所以称它们为受主杂质或p型杂质。
替位式杂质
杂质原子取代晶格原子而位于晶格点处。
间隙式杂质
杂质原子位于晶格原子的间隙位置。
等电子杂质
当杂质的价电子数等于其所替代的主晶格原子的价电子数时,这种杂质称为等电子杂质
空穴
定义价带中空着的状态看成是带正电荷的粒子,称为空穴
意义 a 把价带中大量电子对电流的贡献仅用少量的空穴表达出来 b金属中仅有电子一种载流子,而半导体中有电子和空穴两种载流子,正是这两种载流子的相互作用,使得半导体表现出许多奇异的特性,可用来制造形形色色的器件
理想半导体(理想与非理想的区别)
a 原子并不是静止在具有严格周期性的晶格的格点位置上,而是在其平衡位置附近振动
b 半导体材料并不是纯净的,而是含有各种杂质 即在晶格格点位置上存在着与组成半导体材料的元素不同其他化学元素的原子
c 实际的半导体晶格结构并不是完整无缺的,而存在着各种形式的缺陷
杂质补偿
在半导体中,施主和受主杂质之间有相互抵消的作用通常称为杂质的补偿作用
深能级杂质
非Ⅲ、Ⅴ族杂质在硅、锗的禁带中产生的施主能级距离导带较远,他们产生的受主能级距离价带也较远,通常称这种能级为深能级,相应的杂质为深能级杂质
浅能级杂质
在半导体中、其价电子受到束缚较弱的那些杂质原子,往往就是能够提供载流子(电子或空穴)的施主、受主杂质,它们在半导体中形成的能级都比较靠近价带顶或导带底,因此称其为浅能级杂质。
迁移率
单位电场作用下,载流子获得的平均定向运动速度,反映了载流子在电场作用下的输运能力,是半导体物理中重要的概念和参数之一。迁移率的表达式为:μ=qτ/m* 。可见,有效质量和弛豫时间(散射)是影响迁移率的因素。
空穴的牵引长度
表征空穴漂移运动的有效范围的参量就是空穴的牵引长度
点缺陷
是最简单的晶体缺陷,它是在 结点上 或 邻近的微观区域内 偏离晶体结构的正常排列 的一种缺陷。包括:间隙原子和空位是成对出现的弗仓克耳缺陷 和只在晶体内形成空位而无间隙原子的肖特基缺陷。
弗仑克耳缺陷
间隙原子和空穴成对出现导致的缺陷。
肖特基缺陷
只在晶体内形成空位而无间隙原子时的缺陷。
空穴
在电子挣脱价键的束缚成为自由电子,其价键中所留下来的空位。
空位
在一定条件下,晶格原子不仅在其平衡位置附近振动,而且有一部分原子会获得足够的能量,脱离周围原子对他的束缚,挤入晶格原子间隙间成为间隙原子,原来的位置便成为空位
本征载流子
就是本征半导体中的载流子(电子和空穴),即不是由掺杂所产生出来的。
非平衡载流子
半导体处于非平衡态时,比平衡态时多出来的那一部分载流子称为非平衡载流子。Δp=Δn
热载流子
热载流子:在强电场情况下,载流子从电场中获得的能量很多,载流子的平均能量比热平衡状态时的大,因而载流子与晶格系统不再处于热平衡状态。温度是平均动能的量度,既然载流子的能量大于晶格系统的能量,人们便引入载流子的有效温度Te来描写这种与晶格系统不处于热平衡状态时的载流子,并称这种状态载流子为热载流子
束缚激子
等电子陷阱俘获载流子后成为带电中心,这一中心由于库仑作用又能俘获另一种带电符号相反的载流子从而成为定域激子,称为束缚激子。
漂移运动
在外加电压时,导体或半导体内的载流子受电场力的作用,做定向运动。
扩散运动
当半导体内部的载流子存在浓度梯度时,引起载流子由浓度高的地方向浓度低的地方扩散,扩散运动是载流子的有规则运动。
状态密度
就是在能带中能量E附近每单位能量间隔内的量子态数。
直接复合
导带中的电子越过禁带直接跃迁到价带,与价带中的空穴复合,这样的复合过程称为直接复合
间接复合
导带中的电子通过禁带的复合中心能级与价带中的空穴复合,这样的复合过程称为间接复合。
俄歇复合
载流子从高能级向低能级跃迁发生电子-空穴复合时,把多余的能量传给另一个载流子,使这个载流子被激发到能量更高的能级上去,当它重新跃迁回到低能级时,多余的能量常以声子的形式放出,这种复合称为俄歇复合,显然这是一种非辐射复合。
陷阱中心
半导体中的杂质和缺陷在禁带中形成一定的能级,这些能级具有收容部分非平衡载流子的作用,杂质能级的这种积累非平衡载流子的作用称为陷阱效应。把产生显著陷阱效应的杂质和缺陷称为陷阱中心。
复合中心
半导体中的杂质和缺陷可以在禁带中形成一定的能级,对非平衡载流子的寿命有很大影响。杂质和缺陷越多,寿命越短,杂质和缺陷有促进复合的作用,把促进复合的杂质和缺陷称为复合中心。
等电子复合中心
在Ⅲ-Ⅴ族化合物半导体中掺入一定量的与主原子等价的某种杂质原子,取代格点上的原子。由于杂质原子和主原子之间电负性的差别,中性杂质原子可以束缚电子或空穴而成为带电中心,带电中心会吸引和被束缚载流子符号相反的载流子,形成一个激子束缚态。
爱因斯坦关系
对电子Dn/μn =k0T/q 对空穴Dp/μp =k0T/q它表明非简并情况*载下**流子的迁移率和扩散系数之间的关系。
陷阱效应
杂质能级积累非平衡载流子的作用就称为陷阱效应。
回旋共振
一些物质如半导体中的载流子在一定的恒定磁场和高频磁场同时作用下会发生抗磁共振。
砷化镓负阻效应
当电场达到一定値时,能谷1中的电子可从电场中获得足够的能量而开始转移到能谷2,发生能谷间的散射,电子的动量有较大的改变,伴随吸收或发射一个声子。但是,这两个能谷不是完全相同的,进入能谷2的电子,有效质量大为增加,迁移率大大降低,平均漂移速度减小,电导率下降,产生负阻效应
耿氏效应
在半导体本体内产生高频电流的现象称为耿氏效应
扩散长度
扩散长度是表征载流子扩散有效范围的一个物理量,它等于扩散系数乘以寿命的平方根。
势垒电容
在外加正向偏压增加时,将有一部分电子和空穴“存入”势垒区,反之,当正向偏压减小时,势垒区的电场增强,势垒区宽度增加,空间电荷数量增多,这就是有一部分电子和空穴从势垒区“取出”。对于加反向偏压的情况类似。总之,pn结上外加电压的变化,引起了电子和空穴在势垒区的“存入”和“取出”作用,导致势垒区的空间电荷数量随外加电压而变化,这和一个电容器的充放电作用相似,这种pn结的电容效应称为势垒电容
扩散电容
正向偏压时,有空穴从p区注入n区,于是在势垒区与n区边界n区一侧一个扩散长度内,便形成了非平衡空穴和电子的积累,同样在p区也有非平衡电子和空穴的积累。当正向偏压增加时,由p区注入到n区的空穴增加,注入的空穴一部分扩散走了。所以外加电压变化时,n区扩散区内积累的非平衡空穴也增加,与它保持电中性的电子也相应增加。同样,p区扩散区内积累的非平衡电子和与它保持电中性的空穴也要增加。这种由于扩散区的电荷数量随外加电压的变化所产生的电容效应,称为pn结的扩散电容
pn结隧道效应
在简并化的重掺杂半导体中,n型半导体的费米能级进入了导带,p型半导体的费米能级进入了价带。在重掺杂情况下,杂质浓度大,势垒区很薄,由于量子力学的隧道效应,n区导带的电子可能穿过禁带到p区价带,p区价带电子也可能穿过禁带到n区导带,从而有可能产生隧道电流。
耗尽层近似
当势垒高度远大于koT时,势垒区可近似为一个耗尽层。在耗尽层中,载流子极为稀少,他们对空间电荷的贡献可以忽略;杂质全部电离,空间电荷完全由电离杂质的电荷形成。
肖特基势垒二极管
利用金属-半导体整流接触效应特性制成的二极管称为肖特基势垒二极管,它和pn结二极管具有类似的电流-电压关系,即它们都有单向导电性,但前者又又区别于后者的以下显著特点 a 就载流子的运动形式而言,pn结正向导通时,由p区注入n区的空穴或由n区注入p区的电子,都是少数载流子,他们先形成一定的积累,然后靠扩散运动形成电流。这种注入的非平衡载流子的积累称为电荷贮存效应,它严重地影响了pn结的高频性能。而肖特基势垒二极管的正向电流,主要是由半导体的多数载流子进入金属形成的。它是多数载流子器件。因此,肖特基势垒二极管比pn结二极管有更好的高频特性 b 对于相同的高度,肖特基势垒二极管的Jsd或Jst要比pn结的反向饱和电流Js大得多。
欧姆接触
金属与半导体接触时还可以形成非整流接触,即欧姆接触,它不产生明显的附加阻抗,而且不会使半导体内部的平衡载流子浓度发生显著的改变(半导体重掺杂时,它与金属的接触可以形成接近理想的欧姆接触
理想MIS结构
a 金属与半导体间功函数差为零
b 在绝缘层中没有任何电荷且绝缘层完全不导电
c 绝缘层与半导体界面处不存在任何界面态
深耗尽状态
在金属和半导体之间加一脉冲阶跃或高频正弦波形成的正电压时,由于空间电荷层内的少数载流子的产生速率跟不上电压的变化,反型层来不及建立,只有靠耗尽层延伸向半导体深处而产生大量受主负电荷以满足电中性条件。因此,这种情况时,耗尽层的宽度很大,可远大于强反型的最大耗尽层宽度,且其宽度随电压幅度的增大而增大,这种状态称为深耗尽状态
Si-SiO2系统各种电荷
a 二氧化硅层中的可动离子。主要是带正电的钠离子,还有钾、氢等正离子
b 二氧化硅层中的固定电荷
c 二氧化硅层中的电离陷阱电荷。是由于各种辐射如X射线、γ射线、电子射线等引起
异质结
有两种不同的半导体单晶材料可超过组成的结,则称为异质结
异质结的特点
a 能带发生了弯曲,出现“尖峰”和“凹口”
b 能带在交界面处不连续,有一个突变
异质pn结的超注入现象
指在异质pn结中有宽禁带半导体注入到窄禁带半导体中的少数载流子浓度宽带半导体中多数载流子浓度
间接带隙半导体
导带极小值和价带极大值没有对应于相同的波矢,例如像锗、硅一类半导体,价带顶位于K空间原点,而导带低则不在k空间原点,这种半导体称为间接带隙半导体
非竖直(直接)跃迁
在非竖直(直接)跃迁中,电子不仅吸收光子,同时还和晶格交换一定的振动能量,即吸收或放出一个声子
光电探测器件工作原理及用途
有光照引起半导体电导率增加的现象称为光电导。大量实验证明,半导体光电导的强弱与照射波长有密切的关系,所谓光电导的光谱分析,就是指对应于不同的波长,光电导响应灵敏度的变化关系。因此,可以通过测量光电导的光谱分布来确定半导体材料光电导特性,根据这一原理可制成光电探测器。用途:PbS、PbSe和PbTe是重要的红外探测器材料,CdS除了对可见光有响应外,还可有效地用于短波方面,知道x光短波
半导体太阳电池的基本原理
当用适当波长的光照射非均匀半导体(pn结等)时,由于内建电场的作用(不加外电场),半导体内部产生电动势(光生电压),如将pn结短路,则出现电流。这种由内建电场引起的光电效应,称为光生伏特效应。根据这一原理可制成太阳能电池,将太阳辐射能直接转变为电能
光电池(光电二极管)的基本原理
当用适当波长的光照射pn结时,由于pn结势垒区内存在较强的内建电场,结两边的光生少数载流子受该场的作用,各自向相反的方向运动,pn结两端产生光生电动势,如将pn结与外电路接通,只要光照不停止,就会有渊源不断的电流过电路,pn结起到了电源的作用
半导体发光器件的基本原理
半导体的电子可以吸收一定能量的光子而被激发。同样,处于激发态的电子也可以向较低的能级跃迁,以光辐射的形式释放出能量,也就是电子从高能级向低能级跃迁,伴随着发射光子,这就是半导体的发光现象。(产生光子发射的主要条件是系统必须处于非平衡状态,即在半导体内需要有某种激发过程存在,通过与非平衡载流子的复合,才能形成发光
半导体激光器件的基本原理
处在激发态E2的原子数大于处在激发态E1的原子数,则在光子流hν12照射下,受激辐射将超过吸收过程。这样由系统发射的能量为hν12将大于进入系统的同样能量的光子数,这钟现象称为光量子放大。通常把处于激发态E2(高能级)的原子数大于处在激发态E1(低能级)的原子数的这种反常情况,称为“分布反转”或“粒子数反转”。激光的发射,必须满足 a 形成分布反转,使受激辐射占优势 b 具有共振腔,以实现光量子放大 c 至少达到阈值电流密度,使增益至少等于损耗
半导体霍尔器件的基本原理
把通有电流的半导体放在均匀磁场中,设电场沿X方向,磁场方向和电场垂直,沿z方向,则在垂直于电场和磁场的+y或-y方向将产生一个横向电场,这个现象称为霍尔效应。利用霍尔效应制成的电子器件称为霍尔器件
二维电子气
MOS反型层中的电子被局限在很窄的势阱中运动,所以反型层中的电子沿垂直于界面的z方向的运动是量子化的,形成一系列分立能级E0,E1,…,Ej…。在xy平面内,即沿着界面方向能量仍是准连续的。称这样的电子系统为二维电子气
半导体压阻器件的基本原理
对半导体施加应力时,半导体的电阻率要发生改变,这种现象称为压阻效应。应用:半导体应变计、压敏二极管、压敏晶体管等
a 利用半导体电阻随应力变化的这一现象可以制成半导体应变计
b pn结伏安特性随压力变化很大,利用他的这一压敏特性可以制成压敏二极管和压敏三极管
非晶态半导体
原子排列不具有周期性,即不具有长程有序的半导体称为非晶态半导体
半导体热电效应应用
温差发电器制冷器原理P373
判断半导体的导电类型
热探针法
当温度增加时,载流子浓度和速度都增加,它们由热端扩散到冷端,如果载流子是空穴,则热端缺少空穴,冷端有过剩空穴,冷端电势较高,形成由冷端指向热端的电场;如果载流子是电子,则热端缺少电子,冷端有过剩电子,热端电势较高,形成由热端指向冷端的电场。所以,由半导体的温差电动势的正负,可以判断半导体的导电类型
霍尔效应法
n型和p型半导体的霍尔系数符号相反,也即霍尔电压Vh的正负相反,所以,从霍尔电压Vh的正负可以判断半导体的导电类型