济南千佛寺
上联:笑到几时方合口;
下联:坐来无日不开怀。
枣庄龙泉寺
上联:大千世界,弥勒笑来闲放眼。
下联:不二法门,济颠醉去猛回头。
杭州灵隐寺
上联:峰峦或再有飞来,坐山门老等;
下联:泉水已渐生暖意,放笑脸相迎。

望江楼
上联:望江楼、望江流、望江楼上望江流,江流千古、江楼千古;
下联:印月井、印月影、印月井中印月影,月影万年、月井万年。
乐山凌云寺
上联:笑古笑今,笑东笑西笑南笑北,笑来笑去,笑自己原来无知无识。
下联:观事观物,观天观地观日观月,观上观下,观他人总是有高有低。
宁夏同心清真大寺
上联:尔来礼拜乎?须摩着心头,干过多少罪行,向此处鞠躬叩首。
下联:谁是讲经者?必破出情面,说些警赫话语,好叫人入耳悚神。
应县净土寺
上联:念念不离心,要念而无念,无念而念,始算得打成一片。
下联:佛佛原同道,知佛亦非佛,非佛亦佛,即此是坐断十方。
大雄宝殿
上联:净土莲花,一花一佛一世界。
下联:牟尼珠献,三摩三藐三菩提。

观音阁
上联:音可观乎?
下联:士何大焉。
滕王阁
上联:有才人一序在上头,恨不将鹦鹉洲踢翻,黄鹤楼捶碎;
下联:叹沧海横流无底止, 慨然思班定远投笔, 终子云请缨。
日照天后祠联
上联:问观音为何倒坐?
下联:恨众生不肯回头。
(祠中观音面北,人称倒坐观音)
潮州开元寺观音阁联
上联:大慈大悲,到处寻声救苦。
下联:若隐若显,随时念彼消愆。
北京潭柘寺弥勒殿
上联:大肚能容天下难容之事。
下联:开颜便笑世间可笑之人。

济南千佛寺
上联:笑到几时方合口。
下联:坐来无日不开怀。
陈宝琛撰大同华严寺观音阁联
上联:人世大难开口笑。
下联:肚皮终不合时宜。
广东南华寺
上联:日日携空布袋,少米无钱,却剩得大肚空肠,不知众檀越,信心时将何物供奉。
下联:年年坐冷山门,接张待李,总见他欢天喜地,试问这头陀,得意处有什么来由。

天王殿
上联:多闻正法,以广目光。
下联:增长善根,而持国土。
(此联分别将东方持国天王、南方增长天王、西方广目天王、北方多闻天王嵌入联中。)
城隍庙
上联:莫怪和尚们这般大样。
下联:请看护法者岂是小人。
台南城隍庙
上联:问你平生所干何事?图人财,害人命,奸淫人妇女,败坏人伦常,摸摸心头惊不惊?想从前千百诡计奸谋,那一条孰非自作。
下联:来我这里有冤必报!减尔算,荡尔产,殄灭尔子孙,降罚尔祸灾,睁睁眼睛怕不怕?看今日多少凶锋恶焰,有几个到此能逃!
贵阳城隍庙
上联:站着!你背地做些什么?好大胆还来瞒我!
下联:想下!俺这里轻饶哪个?快回头莫去害人。
安徽宿松城隍庙
上联:只是骂个道打个僧,这这般这般,若毁圣谤贤,那还了得。
下联:不过吃口肉喝口酒,便如此如此,倘坏心毒胆,怎么样儿。

土地庙
上联:男女平权,公说公有理,婆说婆有理。
下联:阴阳合历,你过你的年,我过我的年。
神仙庙
上联: 善报恶报循环果报,早报晚报如何不报。
下联: 名场利场无非戏场,上场下场都在当场。
财神庙
上联:只有几文钱,你也求,他也求,给谁是好?
下联:不做半点事,朝也拜,夕也拜,教我为难。
郭天民题湖南长沙真武庙
上联:中国有圣人,是祖、是师,咄咄西来东土。
下联:名山藏帝子,亦仙、亦佛,元元北镇南来。
李汇川题四川叙永灶神庙
上联:五转汞、七转铅、九转丹,万象皆清,洪炉中有真人诀。
下联:一分屋、二分竹、三分水,纤尘不染,蜀国南来小洞天。

斋堂联
上联:一粒米中藏世界。
下联:半边锅内煮乾坤。
河南少林寺面壁洞
上联:一苇渡江,达源溯六祖。
下联:九年面壁,妙理悟三乘。
安徽九华山华严洞
上联:清华真佛地
下联:庄严古洞天
福建安溪龙门镇金沙岩
上联:金山挂月窥禅径
下联:沙鸟听经恋法门
彰化修水岩
上联:修德种因法身圆妙
下联:水清月现玉盖尊严

承德水月庵
上联:山静尘清,水参如是观。
下联:天高云浮,月喻本来心。
天水罗汉堂
上联:处处无非菩提海
下联:山山尽是普陀崖
房县凤凰山观音洞
上联:见见见,非见非见,见非见。
下联:闻闻闻,不闻不闻,闻不闻。
福州西禅寺
上联:翠翠殷殷,处处花花果果。
下联:风风雨雨,年年暮暮朝朝。
河南少林寺西坊
上联:双双玉井,碧澄冷浸千秋月。
下联:六六玄峰,翠耸光连万壑云。

苏轼集卢秉传句自题湖北黄冈寓居雪堂
上联:台榭如富贵,时至则有;
下联:草木似名节,久而后成。
苏轼题江西省吉水龙济寺
上联:天外楼台山外寺;
下联:云边钟鼓月边僧。
苏轼题江苏省镇江北固山甘露寺飘楼
上联:云涌楼台出天上;
下联:风摇钟磬落人间。
苏轼题湖南省汨罗屈子祠
上联:诗笔离骚亦时用;
下联:文章尔雅称吾宗。
苏轼题江苏省无锡惠山景徽堂
上联:雪芽为我求阳羡;
下联:乳君水应饷惠泉。

苏轼题江苏省无锡惠山摩崖
上联:石路萦回九龙脊;
下联:水光翻动五湖天。
苏轼题浙江省杭州孤山苏寒岩
上联:爵比郭令公,历中书二十四考;
下联:寿同广成子,住崆峒万八千年。
苏轼题广东省广州真武庙
上联:逞披发仗剑威风,仙佛焉耳矣;
下联:有降龙伏虎手段,龟蛇云乎哉。
苏轼题江苏省苏州怡园
上联:步翠麓崎岖,乱石穿空、新松暗老;
下联:抱素琴独向,倚窗学弄、旧曲重闻。
苏轼题河南省许昌天宝宫吕祖殿
上联:庙貌与天齐,云来云去风不定,无异空中楼阁;
下联:画工从地起,花开花谢景常新,真乃蓬莱仙境。

余清逸题江苏省南京秦淮河风景带大成殿
上联:大成殿兴兴毁毁,毁毁兴兴,兴乎?毁乎?早期纂诗书、定礼乐周游天下,我行我素;
下联:孔仲尼是是非非,非非是是,是耶?非耶?晚年作春秋、赞周易留传古今,君论君评。
现代行业联

除了各类寺庙对联,还有些饭馆、店铺、公共场所等也有不少诙谐趣作,真可谓是“高手在民间”!
在四川青羊区平安巷内的一小饭馆,大门上的对联还掀起过不小的浪潮。
上联:稀饭干饭茫茫
下联:肥肉瘦肉嘎嘎
横批——太实在
此联一出,甚至有人打趣,不是四川人不要贸然诵读。原来,上联所说的“茫茫”,即是四川话“饭”的意思;“嘎嘎”说的是“肉”,所以这也成了一副有“油盐”味的对联。
曾有抗战时重庆一茶馆联:
空袭无常,盅客茶资先付;
官方有令,国防秘密休谈。
细细读来颇有深意……
另外,一些店肆的对联也很有趣:

服装店:好将妙手夸针巧;漫把春风细剪裁。
旅店:欢迎春夏秋冬客;款待东西南北人。
厕所:小处不可随便;大家都讲卫生。
关于厕所,其实有很多趣对,偶然还读到了一幅非常有趣的对联,其言简意赅,语义双关,亦雅亦俗:
讨小便宜,得大解脱。
书店:欲知千古事;须读五车书。

理发店:虽是毫发生意;却是顶上功夫。
眼镜店:君凭我广开视野;我助君明察秋毫。
杂货店:事与人便人称便;货招客来客自来。
油漆店:此是春华秋实事业;并非东涂西抹文章。

笔店:词源倒流三江水;笔阵独扫千人军。
墨店:玉露磨来浓雾起;银笺染处淡云生。
纸店:银流鹄白三都贵;墨染鸦青五色奇。
砚店:笔架山高虹气现;砚池水满墨花香。
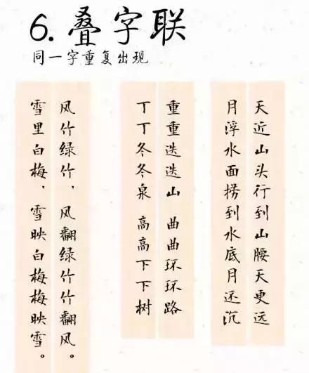
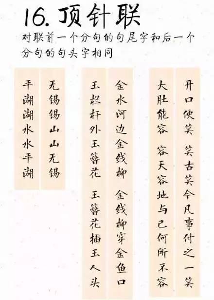
十八式套路
其实不管对联如何变化多端,
都离不开这“十八式”套路,
喜欢对联的你可以收藏,
日后慢慢琢磨、品味。

















对联作为一种习俗,
是中华民族优秀传统文化的重要组成部分。
2005年,中国国务院把这一习俗列为
第一批国家非物质文化遗产名录。
它在华人乃至全球使用汉语的地区
以及与汉语汉字有文化渊源的
民族中广泛的传承、流播,
这种与书法美妙结合的民族文体,
让国人自豪,更令世界惊叹。