短路电流计算书
一、计算依据
依据《电力工程电气设计手册1电气一次部分》第四章短路电流计算,详见下图:








二、计算方案
1.本工程原始数据
1)110kV并网对侧电站本电压等级最大短路电流(即三相短路电流)= kA取自接入系统报告
外线类型:***电缆?****架空线?
外线长度:***km
本站110kV主变参数:容量50000kVA,短路阻抗10.5% 参照技术规范或GB/T6451-2015《油浸式电力变压器技术参数和要求》表15<110kV级6300kVA~6300kVA三相双绕组低压为35kV无励磁调压电力变压器>
2.数据计算(35kV并网,;外线架空线:9km)
1)根据断流电流计算基本原则,除计算短路电流的衰减时间常数和低压网络的短路电流外,元件的电阻都略去不计。因此本计算不考虑各元件电阻。
2)系统35kV侧参数

Ik1:35kV三相短路电流; X*1:35kV系统阻抗标幺值;
Sj:基准容量; :35kV系统阻抗标幺值;U j:35kV基准电压;
3)35kV外线电抗

XL:35kV外线电抗; X*2:35kV外线电抗抗标幺值;
4)光伏电站35kV侧计算
总电抗标幺值

X*:35kV总电抗标幺值; XL:35kV外线电抗;X*2:35kV外线电抗抗标幺值;
短路电流周期分量的有效值

IK3:短路电流周期分量的有效值;Ij:35kV基准电流;X*:35kV总电抗标幺值
短路冲击电流

ich:短路冲击电流;kch:冲击系数;IK3:短路电流周期分量的有效值
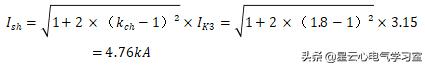
短路遮断电流

Ish:短路遮断电流;kch:冲击系数;IK3:短路电流周期分量的有效值
3.数据计算(110kV并网,;外线架空线:7km;变压器容量50000kVA)
1)根据短路电流计算基本原则,除计算短路电流的衰减时间常数和低压网络的短路电流外,元件的电阻都略去不计。因此本计算不考虑各元件电阻。
2)系统110kV侧参数

Ik1:110kV三相短路电流; X*1:110kV系统阻抗标幺值;
Sj:基准容量; :110kV系统阻抗标幺值;U j:110kV基准电压;
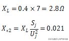
3)110kV外线电抗

XL:110kV外线电抗; X*2:110kV外线电抗抗标幺值;
4)光伏电站110kV变压器电抗

X*d:光伏电站110kV变压器电抗; Sj:110kV基准容量;Se:变压器额定容量;
5)光伏电站110kV侧计算
总电抗标幺值

X*:110kV总电抗标幺值; X*1:110kV系统阻抗标幺值;X*2:110kV外线电抗抗标幺值;
短路电流周期分量的有效值

IK2:110kV侧短路电流周期分量的有效值;Ij:110kV基准电流;X*:110kV总电抗标幺值
短路冲击电流

ich:110kV短路冲击电流;kch:冲击系数;IK2:110kV短路电流周期分量的有效值
短路遮断电流

Ish:110kV短路遮断电流;kch:冲击系数;IK2:110kV短路电流周期分量的有效值
6)光伏电站35kV侧计算
总电抗标幺值

X*:总电抗标幺值;X*1:110kV系统阻抗标幺值;X*2:110kV外线电抗抗标幺值;X*d:光伏电站110kV变压器电抗;
短路电流周期分量的有效值

(用于开关分断能力选择及热稳定校验)
IK3:35kV短路电流周期分量的有效值;Ij:35kV基准电流;X*:总电抗标幺值
短路冲击电流

(用于导体的动稳定校验)
ich:35kV短路冲击电流;kch:冲击系数;IK3:35kV短路电流周期分量的有效值