一、励磁磁场

对于一个多极直流电机的磁场,可以借助通量公式安培环路定律还有磁化公式等,但是更加精细的分析学的方法来计算场会遇到几何构形上的困难和铁芯非线性的表现(磁饱和)。使用有限差分法,有限元分析 ,边界元法可以实现更加精确的建模分析。同样地,精度不高的场合,做一些简化的近似方程也是十分有效的。
1.铁芯磁导率

,也就是说,励磁在电机钢铁部分是可以忽略不计的,

;
2.气隙 δ 在极靴下保持大小不变;
3.在气隙处的漏磁是可以忽略的。
通过近似可以得到理想磁感强度曲线,它在气隙中表现为近乎一个恒定磁感强度的纯辐散场,并且在极缺口处没有磁场。然而极的几何形状也会有影响,因为定子极形状变化,它与电枢转子之间气隙宽度也随之变化,因而会有偏离理想的长方形的部分。

为便于计算,可通过取原有函数的平均值乘以新的极宽,得到一个新的等效方形函数。这样就需要引入一个极覆盖率

,一般极覆盖率

极覆盖率高,那么磁场会更多从极到极走,而非气隙和转子内部

电枢的导体线圈回路会在一极上有一个磁通的积分,它是一个关于位置角 β 的函数,在 β=0 有最大磁通

,这个角度即所谓的电刷的中性区,中心区虽然穿越线圈的磁通最大,但是磁通变化率为零,也就是导体正落在极缺口处。


为沿电机轴向的长度,这就是每一极上的最大磁通。
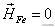
二、感应电压和转矩
当导体在励磁磁场中旋转运动时会有感应电压

2a为并联支路数,则串联的每电枢支路的线圈数为

K为换向片数,亦为线圈数S/2,在叠绕绕组中2a=2p,在波形绕组中 2a=2,乘上极覆盖率,则在励磁磁场中气隙上有磁感强度

,那么整个电枢支路总感应电压为

可得直流电机电压和磁通和转速的关系。若考察整个电枢电路的电压,使用欧姆定律得到电枢端电压方程


为电枢端电压,

为电枢总电阻,

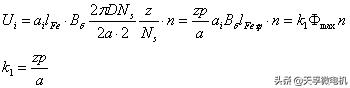
为电枢总电流而在电枢导体(电枢线圈在槽内通过磁场线的部分)上会流过支路电流

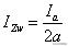
那么每根导体在气隙磁场中会受到力

在磁极下,气隙场*共中**有有效导体数量

,那么所有导体受到的总的作用力和内生转矩为

可得直流电机内生转矩

和磁通和电枢总电流的关系。我们也可以把磁通公式改写为由外部励磁电流表示的形式

如果使用感应公式来计算直径上线圈磁通变化,也可以用来成功计算嵌入槽里的导体的感应电压和转矩

就仿佛直接对在气隙磁场中的导体计算。这样说虽然也会有正确的最终结果,但是整个物理建模过程却是完全基于错误的想象。到目前为止都假设电枢导体全位于气隙磁场中,电枢绕组都是放在电枢叠片铁芯的槽里,这样一来,导体实际上都处在近乎无场的空间里,甚至还会被一个实际更小的槽漏磁场主导。

空载磁场(左),电枢磁场(中),合成磁场(右)
由图可知,当空载运行的时候,因为铁磁导率更大,磁场线绕开铜芯从两侧铁芯部分走。而当只通电流给导线的时候,生成环形磁场,而部分磁场线会直接穿透线圈导体,而不从铁芯里走,即漏磁。最后在合成磁场中,导体上只会有这部分漏磁通过。
如果想要更加准确的建模,那么应该根据上图显示的,实际作用力会主要应该作用在槽壁和槽齿上,即所谓的边界表面力。一般正确的感应电压计算方法是通过计算全部磁链变化,而力和转矩的计算则通过磁场能量的变化,这往往会很复杂。
三、主要公式和等效电路图
现在总结直流电动机的主要公式
感应电压公式:

内生转矩公式:

励磁磁通公式:

电枢电压公式:

机械参数:

直流电机工作中,机械参数并不总是恒定,还会有其他扰动和建模误差成分致使根据几个公式所绘制的图像并非很高重合度,特别是一定区间以外,函数图像往往会失去线性,更加弯曲和偏离,这是我当时自己做的直流电机实验时经常会发生的现象!根据电路公式,我们可以获得对应的直流电机等效电路图。

当气隙磁通

由于定子铁芯部分磁化到了磁饱和,它就会失去和励磁电流

的线性关系。通过测量技术可获得了在零电流电枢和额定转数下的空载特性曲线,即通入电流和反向的感应电流叠加对消,表现为无电流,也就是空载状态。


红线是出现了磁饱和现象的曲线,而蓝色虚线是未磁饱和的曲线。
四、功率和损耗
现在计算一下所需电枢功率



是电阻的热损耗功率,如果再考虑其他定子上的损耗起因,如电刷损耗,则有

电阻热效应作用在铜导线上就有了损耗热功率,即所谓铜损


电刷换向的时候也有一定的压降,所以也有功率损耗


为气隙功率是通过气隙从定子传导到转子上的功率

转子在轴承上还有和空气的机械摩擦,也会带来损耗

其中实际有效输出的机械功率为

,这致使输出转矩



为气隙功率中在电枢铁芯上的损耗,也叫铁损 ,它包括磁化过程中的磁滞损耗

,它和交变频率

成正比;还有不断交变的电磁场在铁芯上感应出来的涡流损耗

,它和交变频率的平方

成正比。

则为转子摩擦阻力的功率。

在换向的过程中,电枢电流突变的频率为

总的效率为输出有效机械功率和输入全部电功率之比,总的电功率

,除了输入电枢的功率

,外部励磁电流的功率也要算输入功率。因为所有励磁功率最后全部转化为电阻上的热损耗功率,有

直流电机工作的基本公式,可以通过他们计算相应的转矩,电流电压和工作转速,功率的计算。直流电机换向带来的压降和损耗,机械换向结构对于传统意义上的有刷直流电机十分重要。