C语言程序设计
一、单项选择题
若以下各题所有库函数都可以合法使用,且变量定义如下:
int m=5, i=3,j=2,*p, a=8,b=0;
int arr[10]={0,1,2,3,4,5,6,7,8,9},td[ ][3]={1,2,3,4,5,6};
float x=2.5,y=3.0;
double z=0; long n=1;
char c=’A’,ch[20]={’a’,’b’,’c’,’\0’,’d’,’\0’};
struct student
{ int num;
char name[20];
float score;
struct student *next;
}st1,st2,*ps;
FILE *fp;
1.若将3和10从键盘输入给变量a、x,输入语句为scanf(“a=%d,x=%f”,&a,&x);正确的键盘输入是(↙表回车):
A a=3,x=10↙ B 3,10↙ C 3 10↙ D 3,10.0↙
2. 以下不是死循环的语句是:
A for ( ; ;y+=i++);
B while(a) y+=i++ ;
C do{ y+=i++}while (a>0);
D for (b=0;(c=getchar()!=’\n’);)b++;
3.若p=arr;正确的语句是:
A *p=arr[10]; B *p=arr[2*a];
C p=arr[5]; D p[i]=arr[0];
4.若ps=&st1;则下面描述正确的是:
A ps->num与st1->num等价。 B ps.num与st1.num等价。
C ps->num与num等价。 D ps->num与st1.num等价。
5.语句printf(“%d",a<i>j);的输出结果是:
A 1 B 0 C 8 D都不对
6.表达式 j/i+a%i+x 的值是:
A 6 B 4.5 C 6.0 D 5.5
7.表达式 b||a+i&&i<j 的值是:
A 不确定 B 0.0 C 1 D 0
8.若执行语句 a=b+=3*j+(int)x;则b的值为:
A 1 B 8 C 0 D 8.5
9. 若执行语句 a=b>j ?++i : i++;则a与i的值分别为:
A 4 ,4 B 3 ,4 C 4 ,3 D 3 ,3

编辑切换为居中
添加图片注释,不超过 140 字(可选)
11.将字符串“Wan Ming”输入数组ch中,正确的是:
A、scanf(“%s”,ch) B、scanf(“%s”,&ch)
C、ch=“Wan Ming” D、gets(ch)
12. 执行语句printf(“%c”,td[1][0]+’A’)的结果是:
A、A B、B
C、D D、E
13.下列关于main()函数说法正确的是
A、 C语言程序总是从main()开始执行
B、 C语言程序可以没有main()函数
C、C语言程序可以包含多个main()函数,但必须在不同的模块中
D、C语言程序中main()函数不能有形式参数
14.下列关于函数说法正确的是
A、 C语言程序的函数内还可定义其他的函数
B、 C语言程序的函数内不可再定义其他的函数
C、 C语言程序的函数不能自己调用自己
D、 C语言程序中只有同一源文件中的函数才能有调用与被调用关系
15.若#define squ(x) x*x 执行语句printf(“result=%d”,squ(i+j));结果为:
A、result=36 B、36 C、result=11 D、11
16. 若#define squ(x) (x)*(x) 执行语句printf(“result=%d”,squ(i+j));结果为:
A、result=36 B、result=17 C、result=11 D、result=25
17.C语言对宏命令叙述正确的是
A、 宏替换占用运行时间
B、 编译程序对宏命令的处理是在对源程序中其它成分编译之前进行的
C、 宏命令的处理是在程序执行时进行的
D、 宏命令的处理是在程序连接时进行的
18. 若执行语句a- =a+=a*=10;a的值为:
A、0 B、-10 C、-100 D、100
19.若执行语句p=arr; printf(“%d”,*(p+i));输出结果为
A、0 B、2 C、3 D、1
20.若执行printf(“%s”,ch);结果为:
A、’abc’ B、abc C、abcd D、abc\0d
21.若对数组进行初始化:char carr[ ]={’s’,’t’,’u’,’d’,’e’,’n’,’t’},barr[ ]=”student”;则正确的是
A、carr与barr长度相同 B、carr比barr长
C、carr与barr相同 D、carr比barr短
22.若有说明语句int (*p)[N];则p是
A、N个指向整型变量的指针 B、可指向有N个整型元素的一维数组的指针
C、指向N个整型变量的函数指针 D、有N个指针元素的一维指针数组
23.若有说明语句int *f( );则函数f是
A、f是一个指向整型变量的数组指针 B、f返回一个整型数据
C、f是一个指向整型变量的函数指针 D、f 返回一个整型指针,指向函数本身
24.若函数f定义如下:void f(char *d, char *s)
{ while ( * d++= *s++);
}
函数f的功能是:
A、串比较 B、串复制 C、求串长 D、串反向
25.表达式100+a+’a’+x*z的值的数据类型为
A、int B、float C、double D、char
26.若要动态申请一个double型内存单元,正确的语句是
A、pd=double malloc(sizeof(double)) B、pd=( * double)malloc(sizeof(double))
C、pd=double * malloc(sizeof(double)) D、pd=(double *)malloc(sizeof(double))
27.若要从键盘上输入67892到变量n中,正确的语句是
A、scanf(“%lf”,&n); B、scanf(“%ld ”,&n);
C、scanf(“%lf ”,n); D、scanf(“%d ”,&n);
28.判断字符变量c是否不为小写英文字母的正确表达式是
A、’a’<=c <=’z’ B、c>= ‘a’ && c<=’z’
C、’a’≤c ≤’z’ D、c<’a’ || c>’z’
29.下列每组表达式被执行后,结果完全等价的是
A、 !(b= =0)与 !(!b ) B、b=(a=4,4*5) 与 b=a=4,4*5
C、float(i/j) 与 float i/j D、0<x<100 与 x>0 && x<100
30.表达式(m&1)==(m%2)的值是
A、 0 B、无法确定
C、 1 D、以上都不对
31.数学式ln2x+asin(60°)的C语言表达式是
A、log(2*x)+a*sin(60) B、ln(2*x) +a*sin(60/180*3.14)
C、ln(2*x) +a*sin(60) D、log(2*x)+a*sin(3.14*60/180)
32. 要打开一个已经存在的非空文件file用于修改,则正确的语句是
A、fopen(“file”,”r+”) B、fopen(“file”,”w”)
C、fopen(“file”,”a+”) D、fopen(“file”,”r”)
33. 若打开文件时发生错误,则fopen()函数的返回值是
A、1 B、0 C、不确定 D、没有返回值
34. 调用函数fseek(fp,-25L,2),其操作结果是
A、 文件位置指针从文件开始处前移25字节
B、文件位置指针从文件结尾处后移25字节
C、文件位置指针从文件当前位置处前移25字节
D、文件位置指针从文件当前位置处后移25字节
35. 能正确表示a和b同时为正或同时为负的逻辑表达式是
A、 (a>=0||b>=0)&&(a<0||b<0)
B、 (a>=0&&b>=0)&&(a<0&&b<0)
C、 (a*b>0&&(a*b<=0)
D、 a*b>0
36. 若x=y=z=1;表达式(x--||++y)&&(z++)执行后,x,y,z的值分别为:
A. 0,1,1 B. 0,1,2 C. 0,2,1 D. 0,2,2
37.下列变量的初始化,不正确的是:
A. int x,y=5; B. float x=y=3.5;
C. char s[]=”a”; D. int a[][3]={{1},{},{0,9}};
38. 可以代替while(x!=0)中的条件x!=0的是:
A. x B. !x C. x==1 D. x!=1
39.有关函数参数,下列说法不正确的是:
A. 实参和形参是不同的变量; B. 实参可以将数据传给形参;
C. 形参可以将数据传给实参; D. 实参和形参必须个数相等,类型一致。
40.为避免嵌套的条件语句if-else的二义性,C语言规定else与if的配对原则是:
A. 同一行上的未配对if B. 缩排位置相同的未配对if
C. 它之前最近的未配对的if D. 它之后最近的未配对if
41.对于一个二维数组,以下几种方法中,不能正确表示i行j列元素的是:
A.td[i][j] B. *(td[i]+j) C. *(*(td+i)+j) D.*(td+i+j)
42.下面语句段不是死循环的是:
A. for(i=1;;i++) B. k=0;
s=s+i; do{ k++;
}while(k>0);
C. i=0; D. a=1;
while(1) while(a<10)
{ i++; { if(a>5) continue;
if(i==20) break; } a++; }
43.下列字符串中,可以用作变量名的是:
A. _out2 B. 12abc C. while D. stu&3
44. 表达式0<a<5和0<a&&a<5的值分别为:
A. 0和0 B. 0和1 C. 1和0 D. 1和1
45.下列常数中,符合C语法规则的是:
A. ‘\’ B. .5e2 C. 018 D. e3
46.以下为合法的整型常量的是:
A. 027a B. 0.0 C. 0x4e3 D. 3×102
47.以下为合法的整型常量的是:
A. ‘3’ B. 281 C. 5af D. ‘\101’
48.以下为合法的实型常量的是:
A. 1.5 × 102 B. 1e-5 C. 1e1.5 D. E+5
49.以下为合法的实型常量的是:
A. π B. .5 C. 025.3 D. 0
50.以下为合法的字符型常量的是:
A. "A" B. 64 C. '啊 ' D. '\n'
51. 以下为非法的字符型常量的是:
A. ‘ok’ B. ‘*’ C. ‘A’ D.‘\111’
52. 以下为合法的变量定义的是:
A. #define N 10 B. int a=12,b,c; float x,y,a=1.5;
int a[3*N];
C. int m,f(x); D. char c,*pc=&c,n;
53.以下为非法的变量定义的是:
A. char 21cn; B. int k=0,*p=&k;
C. int a=b=c=21; D. static char[4]=”Good”;
54.以下是合法的表达式的是:
A. y=mn B. (x+y)++ C. x+y=8 D. putchar('A ')
55. 以下是非法的表达式的是:
A. a+=b*c B. i=0,k=k++ C. k==0 D. !a||m≤n &&7
56.下是非法赋值语句的是:
A.a+b=0 B. pc=&x
C. ps->name=”Tan Jing” D. static char[4]=’G’,’o’,’o’,’d’
二、程序理解题(指出程序执行的结果)
1. #include <stdio.h>
main( )
{ int i,j,x=0;
for (i=0;i<2;i++)
{ x++;
for (j=0;j<3;j++) { if (j%2 ) continue;
x++;
}
x++;
}
printf(“x=%d\n”,x);
}
2. #include <stdio.h>
main( )
{ int k=0,j,x=0;
while (k<2)
{ ++x;
for (j=0;j<3;j++)
{ if (j%2 ) break;
x++;
}
k++; ++x;
}
printf(“x=%d\n”,x);
}
3. #include <stdio.h>
main()
{int a=2,b=7,c=5;
switch (a>0)
{case 1:switch (b<0)
{ case 1: printf(“$”);break;
case 2: printf(“!”); break;
}
case 0: switch (c= =5)
{ case 0: printf(“*”);break;
case 1:printf(“#”);break;
default: printf(“%”);
}
default: printf(“&”);
} printf(“\n”);
}
4. main()
{ int i,sum=0;
for (i=1;i<=50;i++)
{ sum+=i;
if (sum>10) break;
printf(“sum=%-5d\n”,sum);
}
}
5. 若输入字符串program时,下列程序输出为:
#include <stdio.h>
main()
{ char str[80];
void prochar(char *str,char ch);
scanf(“%s”,str);
prochar(str,’r’);
puts(str);
}
void prochar(char *str,char ch)
{ char *p;
for (p=str;*p!='\0';p++)
if (*p==ch){*str=*p;(*str)++;str++;}
*str='\0';
}
6. #include <stdio.h> #include <string.h>
main()
{ int i,j,temp, d[4][4]={{1,2,3,4},{5,6,7,8},{4,3,2,1},{1,2,3,4}};
for (i=0;i<4;i++)
for (j=0;j<i;j++)
if (d[i][j]>d[j][i]) d[j][i]=d[i][j];
for (i=0;i<4;i++)
{ printf("\n");
for (j=0;j<4;j++)
if (j>=i) printf("%6d",d[i][j] ) ;
else printf("%6c",' ') ;
}
}
7. #include<stdio.h>
main()
{ int k;
printf("\n");
for (k=1;k<10;k++)
switch(k%2)
{case 0: printf("#");break;
case 1: k+=2;printf("*");
defalt: printf("\n");
}
}
8. int d=1;
fun(int p)
{ static int d=5;
d+=p;
printf("(f)%-4d",d);
return (d);
}
main()
{int a=3;
printf("\n(m)%d",fun(a*fun(d)));
}
9. #include <stdio.h> main()
{char a[2][6]={"sun","moon"};
int j,i,len[2];
for(i=0;i<2;i++)
{ for (j=0;j<6;j++)
if (a[i][j]=='\0')
{ len[i]=j;
break;
}
printf("%8s:%d\n",a[i],len[i]);
}
10. int x=2,y=4;
f1(int x)
{ x++;y++;
printf(“f1:x=%d,y=%d\n”,x,y);
}
f2(int *y)
{ x++;(*y)++;
printf(“f2:x=%d,y=%d\n”,x,*y);
}
main()
{ int y=6;
f1(x);f2(&y);
printf(“main:x=%d,y=%d”,x,y);
}
三、程序填空题
1.从键盘输入两个整数,按由大到小输出,程序如下:
main( )
{ int a,b;
;
scanf(“%d,%d”,&a,&b);
if ( ) swap( );
printf(“%d,%d”,a,b);
}
void swap(int * x,int * y)
{ ;
t= *x; ; *y=t;
}
2.输入任意多个十进制正整数,将其对应的二进制数的各位反序,形成新的十进制数输出。当输入0时程序结束。例如:输入13,13→1101→1011→11,输出11。
#include <stdio.h>
main()
{ int x,y,m,t;
printf(“Enter a integer:”);
scanf(“%d”,&x);m=x;
while ( )
{ y=0;
do
{ t=x%2;
y=
x=x/2;
} while ( );
printf(“\nOld integer is:%d,New integer is: %d”,m,y);
printf(“Enter a integer:”);
scanf(“%d”,&x);
}
}
3. 以下函数creatlist用来建立一个带头节点的单向链表,新的结点总是插入在链表的末尾。链表的头指针作为函数值返回。读入时字符以#表示输入结束(#不存入链表)。
struct node
{char data;
struct node *next;
};
creatlist()
{struct node *head,*s,*r;char ch;
head=(struct node *)malloc(sizeof(struct node));
r=head;
ch=getchar();
while (ch!=’# ’)
{s=(struct node *)malloc(sizeof(struct node));
s->data= ;
r->next=s;
ch=getchar();
}
r->next= ;
;
}
4. 程序功能:输出10~100之间的全部素数,每行显示5个。
#include <stdio.h>
main()
{ int i, j,
for(i=11; i<=100; i+=2)
{ for(j=2; ; j++)
if(i%j= =0) ;
if( j >= i ) { ;
counter++;
if( ) printf("\n");
}
}
}
5. 求菲波那契数列第n项的值。n由键盘输入。菲波那契数列的第一、二项为1,以后各项为前两项之和。即:f1=f2=1,fn=fn-1+fn-2
#include <stdio.h>
main()
{ int k,n,f1,f2,f;
scanf( ) ;
f1=f2=1;
if ( ) f=1 ;
else for ( ;k<=n;k++)
{ f=f1+f2 ;
f1=f2;
;
}
printf("fibonacci number=%d\n",f);
}
6.从键盘上输入一个数,将其插入到一个升序数组中,保持数组仍然按升序排列。
#include <stdio.h>
main()
{int data,temp,k;
static int a[9]={-10,2,4,8,10,15,25,50};
printf("\nEnter a data:");
scanf("%d",&data);
;
for (k=8; ;k- -)
if (a[k]<a[k-1]) { ;
a[k]=a[k-1];
a[k-1]=temp;
}
else ;
for (k=0; ;k++)
printf("%7d",a[k]);
}
7.求1!+2!+…+9!+20!,程序如下:
#include <stdio.h>
main()
{float sum=0; int k;
for (k=1; ;k++)
sum+=jiecheng(k);
printf( ,sum);
}
float jiecheng(int n)
{ int j;
for (j=1; ; j++) t=t*j;
}
8. 从键盘上输入一个整数字符串,将其转换为一个整数,如输入“-1234”转换为-1234。
#include<stdio.h>
#include<string.h>
main()
{char s[6];
int n;
gets(s);
if (*s=='-') n= ;
else n=chnum(s);
printf("%d\n",n);
}
int chnum(char *p)
{ int num=0,k,len,j;
len=strlen(p);
for (; ;p++)
{k= ;
j=(--len);
while (j-->0) ;
num=num+k;
}
;
}
9.以下程序从键盘输入10个不相同的数到数组a中,再输入一个数到x中,在a中查找与x值相同的元素所在的位置,填空完善该程序。
main()
{int a[11],x,i;
printf("Input 10 integers:\n");
for(i=1; ;i++)
scanf("%d", );
printf("Input x:");
scanf("%d",&x);
*a=x;i=10;
while (x!=*(a+i))
if ( ) printf("%6d's position is :%3d\n",x,i);
else printf("%6d Not bee found !\n",x);
}
10. 从键盘上输入一串英文字符(不含空格与其他字符),统计每个字符的数目,并输出字母及相应的数目。 #include <string.h> main()
{int i=0,c[52]={0},m=0;
char str[80];
printf("Input a string:");
scanf( ,str);
while (str[i])
{ if (str[i]>='A' && ) c[str[i]-'A']++;
if (str[i]>='a' && str[i] <='z') ;
i++;
}
for (i=0;i<26;i++)
if (c[i]){ if (m%8==0) putchar('\n');m++;
printf("%c:%-d ",i+'A',c[i]);
}
for (i=0;i<26;i++)
if (c[i+26]){if (m%8==0) putchar('\n');m++;
printf("%c:%-d ", ,c[i+26]);
}
}
四、用波浪线标出错误,并在空白处改正(不要重写程序)
1. 从键盘上输入一个数,判断其是否为素数
#include<stdio.h>
main()
{ int a,flag,k;
scanf(“%d”,a);flag=1;
for (k=2;k<i;k++)
if (a/k=0) {break;flag=0;}
if (flag=0);
printf(“%d” is a prime number”,a);
}

编辑切换为居中
添加图片注释,不超过 140 字(可选)
#include <stdio.h>
main()
{ float x,y;
printf("Input a data:");
scanf("%d",%x);
if (x<0 && x>=10 ) printf("Input error!\n");
else { if (0≤x<1) y=2-x;
else if (x<3) y=1+1/2x;
else if (x<6) y=2-0.5*(x-3.0);
if (x<10) y=x2;
printf("x=%.2f,y=%.1f\n",x,y);
}
}

编辑切换为居中
添加图片注释,不超过 140 字(可选)
4. 将“computer”按逆序显示,程序如下 :
#include <stdio.h>
main()
{char a[]=‘computer’;
void print(char *str)
print(&a);
}
void print(char *str)
{char *str ;
int count ;
if (*str!='\0')
{ while (*str){ str++;count++;}
str - -;
while(count- -){printf("%c", str);str++ ;}
}
}
5.求满足如下条件的最大自然数n.:12+22+32+…+n2≤1000
#include <stdio.h>;
main()
{int n=s=0;
while (s<=1000);
{ n++;
s+=s+n*n;
}
print("n=%d",n );
}_
五、编程题
1.从键盘上输入不超过50个非0数,计算这些数的平均值并输出,输出高于平均值的数。输入0时结束。
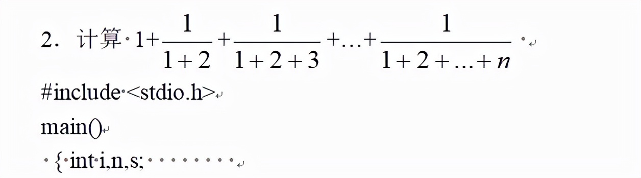
2.计算

编辑
添加图片注释,不超过 140 字(可选)
3. 回文是从前向后读与从后向前读都是一样的句子。编写一函数判断字符串是否为回文。字符串(少于80字符)从主函数中输入。
4. 公鸡5元一只,母鸡3元一只,小鸡一元3只,100元买100鸡,求有多少中买法并输出所有可能的买法,。
5.求1000以内的完全数。一个整数如果正好等于它的因子之和(自身除外),则称该数是完全数。如6=1+2+3,所以6是完全数。
6.用下面的公式求π的近似值,要求最后一项的绝对值小于10-4为止。
公式为:π/4≈1-1/3+1/5-1/7+1/9-1/11+…
题型题量及分值
一、选择题:在每小题给出的四个选项中,只有一项是符合题目要求的,请把所选项前的字母填在题后的括号内。
二、阅读程序,写出执行结果。
三、程序填空题。
四、程序改错题。 用 波浪线标出错误,在空白处改正(不得重写程序)。
五、编写程序。
参 考 答 案
一、单项选择题
1. A 2. D 3. D 4. D 5. B 6. B 7. D 8. B 9. B 10. A
11.D 12.D 13. A 14.B 15.C 16 .D 17.B 18. A 19.C 20.B
21. D 22. B 23 .C 24 B 25.C 26.D 27.B 28 D 29 A 30.C
31. D 32.A 33 . B 34. B 35. D 36.B 37.B 38.A 39.C 40.C
41.D 42. C 43. A 44.C 45.D 46.C 47.B 48.B 49.B 50.D
51. A 52. A 53.B 54. D 55. D 56.C
二、程序理解题(指出程序执行的结果)
1. x=8
2. 程序输出为:x=6
3. 程序输出为:#&
4. 程序输出为:
sum=1
sum=3
sum=6
sum=10
5.当键盘输入program.时,下列程序的输出: pogam
6. 程序输出为: 1 5 4 4
6 7 8
2 3
4
7. 程序输出为:
*
#*
#*
8. 程序输出为:
(f)6 (f)24
(m)24
9 . sun:3
moon:4
10. f1:x=3 ,y=5
f2:x=3 ,y=7
main:x=3 ,y=7
三、程序填空题
1.void swap(int * x,int * y); a<b; &a,&b; int t; *x= *y;
2.x!=0 、 y+2*t 、 x!=0 、 m=x;
3. 以下函数creatlist用来建立一个带头节点的单向链表,新的结点总是插入在链表的末尾。链表的头指针作为函数值返回。读入时字符以#表示输入结束(#不存入链表)。
struct node
{char data;
struct node *next;
};
struct node creatlist()
{struct node *head,*s,*r;char ch;
head=(struct node *)malloc(sizeof(struct node));
r=head;
ch=getchar();
while (ch!=’# ’)
{s=(struct node *)malloc(sizeof(struct node));
s->data= ch ;
r->next=s;
r=s;
ch=getchar();
}
r->next= NULL ;
return head;
}
4. 输出10~100之间的全部素数,每行显示5个。
#include <stdio.h>
main()
{ int i, j, counter=0;
for(i=11; i<=100; i+=2)
{ for(j=2; j< i; j++)
if(i%j= =0) break;
if( j >= i ) { printf("%8d",i);
counter++;
if(counter%5= =0) printf("\n");
}
}
}
5. 求菲波那契数列第n项的值。n由键盘输入。菲波那契数列的第一、二项为1,以后各项为前两项之和。即:f1=f2=1,fn=fn-1+fn-2
#include <stdio.h>
main()
{ int k,n,f1,f2,f;
scanf("%d",&n) ;
f1=f2=1;
if (n<=2) f=1 ;
else for ( k=3;k<=n;k++)
{ f=f1+f2 ;
f1=f2;
f2=f;
}
printf("fibonacci number=%d\n",f);
}
6.从键盘上输入一个数,将其插入到一个升序数组中,保持数组仍然按升序排列。
#include <stdio.h>
main()
{int data,temp,k;
static int a[9]={-10,2,4,8,10,15,25,50};
printf("\nEnter a data:");
scanf("%d",&data);
a[8]=data;
for (k=8;k>0;k- -)
if (a[k]<a[k-1]) { temp=a[k];
a[k]=a[k-1];
a[k-1]=temp;
}
else break;
for (k=0;k<=8;k++)
printf("%7d",a[k]);
}
7.求1!+2!+…+9!+20!,程序如下:
#include <stdio.h>
main()
{float sum; int k;
float jiecheng(int n);
sum=0;
for (k=1;k<=20;k++) sum+=jiecheng(k);
printf(“sum=%.1f”,sum);
}
float jiecheng(int n)
{ int j; float t=1;
for (j=1;j<=n; j++) t=t*j;
return t;
}
8. 从键盘上输入一个整数字符串,将其转换为一个整数,如输入“-1234”转换为-1234。
#include<stdio.h>
#include<string.h>
main()
{char s[6];
int n;
gets(s);
if (*s=='-') n=-chnum(s+1);
else n=chnum(s);
printf("%d\n",n);
}
int chnum(char *p)
{ int num=0,k,len,j;
len=strlen(p);
for (;*p!='\0';p++)
{k=*p-'0';
j=(--len);
while (j-->0) k=k*10;
num=num+k;
}
return num;
}
9. 以下程序从键盘输入10个不相同的数到数组a中,再输入一个数到x中,在a中查找与x值相同的元素所在的位置,填空完善该程序。
main()
{int a[11],x,i;
printf("Input 10 integers:\n");
for(i=1;i<=10;i++)
scanf("%d",a+i);
printf("Input x:");
scanf("%d",&x);
*a=x; i=10;
while (x!=*(a+i))
i--;
if (i) printf("%6d's position is :%3d\n",x,i);
else printf("%6d Not bee found !\n",x);
}
10. 从键盘上输入一串英文字符(不含空格与其他字符),统计每个字符的数目,并输出字母及相应的数目。
#include <string.h> main()
{int i=0,c[52]={0},m=0;
char str[80];
printf("Input a string:");
scanf("%s",str);
while (str[i])
{ if (str[i]>='A' && str[i] <='Z') c[str[i]-'A']++;
if (str[i]>='a' && str[i] <='z') c[str[i]-'a'+26]++;
i++;
}
for (i=0;i<26;i++)
if (c[i]){ if (m%8==0) putchar('\n');m++;
printf("%c:%-d ",i+'A',c[i]);
}
for (i=0;i<26;i++)
if (c[i+26]){if (m%8==0) putchar('\n');m++;
printf("%c:%-d ",i+'a',c[i+26]);
}
}
四、用波浪线标出错误,并在空白处改正(不要重写程序)
1.从键盘上输入一个数,判断其是否为素数
#include<stdio.h>
main()
{ int a,flag,k; 改为:
scanf(“%d”,a);flag=1; &a
for (k=2;k<i;k++) k<a
if (a/k=0) {break;flag=0;} a%d==0 {flag=0;break;}
if (flag=0); (flag==1) 去掉;
printf(“%d” is a prime number”,a);
}
2.计算分段函数的值
2-x 0≤x<1
1+1/2x 1≤x<3
y= 2-0.5(x-3) 3≤x<6
x2 6≤x<10
#include <stdio.h>
main() 改为:
{ float x,y;
printf("Input a data:");
scanf("%d",%x); “%f”,&x
if (x<0 && x>=10 ) printf("Input error!\n"); ||
else { if (0≤x<1) y=2-x; x>=0 && x<1
else if (x<3) y=1+1/2x; y=1+1.0/2*x;
else if (x<6) y=2-0.5*(x-3.0);
if (x<10) y=x2; else if (x<10)y=x*x;
printf("x=%.2f,y=%.1f\n",x,y);
}
}

编辑切换为居中
添加图片注释,不超过 140 字(可选)
4. 将“computer”按逆序显示,程序如下 :
#include <stdio.h>
main() 改为:
{char a[]=‘computer’; “computer”
void print(char *str);
print(&a); a
}
void print(char *str)
{char *str ; char *str
int count ; count=0;
if (*str!=\0) ‘\0’
{ while (str){ str++;count++;} *str
str - -;
while(count- -)
{printf("%s", *str);str++ ;} %c str--
}
}
5.求满足如下条件的最大自然数n.:12+22+32+…+n2≤1000
#include <stdio.h>; 去掉;
main()
{int n=s=0; n=0,s=0;
while (s<=1000);
{ n++;
s+=s+n*n; s=s+n*n;
}
print("n=%d",n ); printf
}
五、编程题
1. 从键盘上输入不超过50个非0数,计算这些数的平均值并输出,输出高于平均值的数。输入0时结束。
#include <stdio.h>
main()
{ float data[50],ave,sum=0,x;
int i,n=0,count;
printf("Input data:");
scanf("%f",&x);
while (x!=0&&n<=50)
{ sum+=x;
data[n++]=x;
scanf("%f",&x);
}
ave=sum/n;
printf("average= %f\n",ave);
for (count=0,i=0;i<n;i++)
if (data[i]>=ave)
{ printf("%f\n",data[i]);
count++;
if (count%8= =0) printf(“\n”);
}
}

编辑切换为居中
添加图片注释,不超过 140 字(可选)
#include <stdio.h>
main()
{ int i,n,s;
float sum;
scanf("%d",&n);
s=0; sum=0.0;
for (i=1;i<=n;i++)
{ s+= i;
sum+=1.0/s ;
}
printf("sum=%f\n",sum);
}
3. 回文是从前向后读与从后向前读都是一样的句子。编写一函数判断字符串是否为回文。字符串(少于80字符)从主函数中输入。
#include <stdio.h>
#include <string.h>
int huiwen(char str[])
{ int i=0,j, flag=0;
j=strlen(str)-1;
while (i<j&&str[i]= =str[j]) { i++; j--;}
if (i>=j) flag=1;
return flag;
}
main()
{ char str[80];
printf("Enter string:"); gets(str);
if (huiwen(str)) printf("%s is a palindroma\n",str);
else printf("%s is not palindroma\n",str);
}
4. 公鸡5元一只,母鸡3元一只,小鸡一元3只,100元买100鸡,列出所有可能的买法。
main()
{ int i,j,k,m=0;
for (i=1;i<=20;i++)
for (j=1;j<=33;j++)
{k=100-i-j;
if (i*5+j*3+k/3==100) && (k%3==0) /* ((i*15+j*9+k==300)) &&(k%3==0))*/
{printf("i=%5dj=%5dk=%5d\n",i,j,k);m++;}
}
printf("m=%d\n",m);
}_
5.求1000以内的完全数。一个整数如果正好等于它的因子之和(自身除外),则称该数是完全数。如6=1+2+3,所以6是完全数。
#include <stdio.h>
main()
{int k, s=0,a;
for (a=1;a<=1000;a++)
{ for(k=1;k<=a/2;k++)
if (a%k= =0) s+=k;
if (s= =a) printf(“%-5d”,a);
}
}
6.用下面的公式求π的近似值,要求最后一项的绝对值小于10-4为止。
公式为:π/4≈1-1/3+1/5-1/7+1/9-1/11+…
#include <stdio.h>
#include <math.h>
main()
{ float pi,temp,n;
int s=1;
pi=0; n=1; temp=1;
while (fabs(temp) >= 1e-4)
{ temp=s/n;
pi+=temp;
n+=2;
s=-s;
}
pi=pi*4;
printf("pi = %.4f\n",pi);
}